Revista Facultad Nacional de Agronomía, Medellín
0304-2847
Facultad de Ciencias Agrarias - Universidad Nacional de Colombia
https://doi.org/10.15446/rfna.v70n3.61927

Recibido: 13 de enero de 2017; Aceptado: 17 de abril de 2017

Genetic analysis of morpho-physiological traits and yield components in F 2 partial diallel crosses of bread wheat ( Triticum aestivum L.)

Análisis genético de caracteres morfo-fisiológicos y componentes de rendimiento en cruzamientos dialélicos parciales en F 2 de trigo pan ( Triticum aestivum L.)

Z. Fellahi, 12A. Hannachi, 13H. Bouzerzour, 1S. Dreisigacker, 4A. Yahyaoui, 4D. Sehgal, 4

Faculty of Life and Natural Sciences. University of Ferhat Abbas, Setif-1. Campus El Bez Sétif 19000, Algeria. <zinou.agro@gmail.com> Faculty of Life and Natural Sciences University of Ferhat Abbas Algeria
Faculty of Life and Natural Sciences and Earth Sciences and the Universe. University of Mohamed El Bachir El Ibrahimi, Bordj Bou Arreridj, Algeria. Faculty of Life and Natural Sciences and Earth Sciences and the Universe University of Mohamed El Bachir El Ibrahimi Bordj Bou Arreridj Algeria
National Agronomic Research Institute of Algeria (INRAA), Unit of Setif, Algeria. National Agronomic Research Institute of Algeria Algeria
International Maize and Wheat Improvement Center (CIMMYT) km. 45 Carretera Mexico-Veracruz CP 56130. Texcoco, Estado de Mexico. International Maize and Wheat Improvement Center Texcoco Mexico

ABSTRACT

Wheat breeding in the semi-arid region of Algeria aims to develop new cultivars combining high productivity and good abiotic stress tolerance. Therefore, it is essential to understand the genetic control of these characteristics. Nine parents of bread wheat and 20 derived F2 hybrid populations developed in a partial diallel scheme (group 1 composed 5 parents and group 2 contained 4 parents) were evaluated with three replications at the Experimental Station of the National Agronomic Research Institute of Algeria (INRAA), Setif Unit, during the 2012-2013 crop season. Results of the diallel analysis, indicated that the components associated with additive effects were more relevant than those associated with the dominance effects for most of the studied traits. Based on the proportion between dominant and recessive genes in all parents, the dominant alleles were present in greater frequency in group 1. Values of the gene proportion with positive and negative effects in the parents revealed an unequal distribution of dominant genes in the parents for almost all the traits except for chlorophyll content and grain number per spike which showed a symmetric distribution. The average degree of dominance indicated over-dominance for most of traits, suggesting that selection for these traits, in early generations, will be less efficient.

Keywords:

Breeding, Genetic parameters, Inheritance, Selection, Semi-arid.

RESUMEN

El mejoramiento genético del trigo en la región semiárida de Argelia tiene como objetivo desarrollar nuevos cultivares que combinen alta productividad y buena tolerancia al estrés abiótico. Por lo tanto, es esencial la comprensión del control genético de estos caracteres. Nueve padres de trigo panadero y 20 poblaciones híbridas F2 derivadas, desarrolladas en un esquema de dialelo parcial (grupos 1 y 2 compuestos por 5 y 4 padres, respectivamente), se evaluaron usando tres repeticiones en la Estación Experimental del Instituto Nacional de Investigaciones Agronómicas de Argelia (INRAA), Unidad Sétif, durante la temporada de cultivo 2012-2013. Los resultados del análisis dialélico indicaron que los componentes asociados a los efectos aditivos fueron más relevantes que aquellos asociados con los efectos de dominancia para la mayoría de las características estudiadas. Basados en la proporción entre genes dominantes y recesivos de todos los padres, los alelos dominantes estuvieron presentes con mayor frecuencia en el grupo 1. Los valores de la proporción de genes con efectos positivos y negativos en los padres revelaron una distribución desigual de genes dominantes para casi todas las características, excepto el contenido de clorofila y el número de granos por espiga, que mostraron una distribución simétrica. El grado promedio de dominancia indicó sobredominancia para la mayoría de los caracteres estudiados, lo que sugeriría una menor eficiencia de selección en las primeras generaciones.

Palabras clave:

Mejoramiento, Parámetros genéticos, Herencia, Selección, Semiárido.

Bread wheat (Triticum aestivum L.) is one of the major food grain crops in the world, as it provides 20% of the total energy and protein in the human diet (FAO, 2016). It occupies an important position among the field crops cultivated in Algeria. Genetic improvement of wheat yield is the most targeted trait by breeders to enhance wheat production and meet the demand of a continuous population growth. This goal can be achieved either directly by selecting for high yield or indirectly by improving yield components and morphological traits, such as plant height, thousand-kernel weight, number of spikes and number of grains per spike (Hannachi et al., 2013). In this context, knowledge of the genetic control of these traits related to wheat grain yield is essential in a breeding program to draw a selection strategy and manage the offspring. Several authors have tried to assess the genetic basis of traits involved in yield determination. The results are often inconsistent and scarce; however, a predominance of additive gene action has been observed with dominance effects for most traits studied (Saad et al., 2010; Rashid et al., 2012; Zare-kohan and Heidari, 2012; Nazir et al., 2014). Several breeding strategies have been proposed and could be planned towards the genetic understanding of important traits of the concerned population (Mumtaz et al., 2015). The best known are the Griffing (1956), Gardner and Eberhart (1966) and Hayman (1954) diallel approaches. These models are the most common designs used in wheat breeding programs, however, the use of diallel crosses is often limited due to the large number of crosses required to evaluate a certain group of parents. Also, there is not always interest to evaluate all possible combinations through a full diallel, mainly due to the difficulty of obtaining sufficient number of hybrid seeds and interest in combining the desirable traits to generate superior inbred lines. The partial diallel approach developed by Hayman (1954) and modified by Viana et al. (1999) is a promising alternative to study the gene effects and inheritance of plant architecture using F1 and/or F2 generations obtained from crosses involving homozygous parents (Cruz et al., 2004). This information helps breeders to define the appropriate breeding strategy and (to) choose the most suitable parents to optimize the selection gain (Falconer and MacKay, 1996). In this method, the genetic analysis allows inferences about the basic mechanism of traits inheritance and assesses the potential of parents used to obtain promising segregating populations. The objective of this study was to estimate the genetic effects involved in the control of chlorophyll content, heading time, plant height and yield related traits in F2 populations of bread wheat (Triticum aestivum L.) by mean of partial diallel scheme outlined by Viana et al. (1999, 2000, 2001).

MATERIALS AND METHODS

Plant Material

The experiment was conducted at the Algerian National Institute of Agronomic Research (INRAA), Setif Unit, Algeria (36°12'N, 05°24'E, 981 m asl). The climate is of a semi-arid type, with a total rainfall from September to June of 427.4 mm for the 2012-2013 cropping season. The soil is a calcisol of fine-grained texture (38.4% clay, 42.7% silt, 18.7% sand) and carbonate bearing (26.6% CaCO3), with a pH of 8.2 and 1.35% organic matter (Kribaa et al., 2001). Plant material utilized was generated from crosses among nine bread wheat varieties (Table 1), chosen on the basis of differences in adaptation and morpho-physiological characteristics (Fellahi et al., 2013). These varieties were divided into two contrasting groups and crossed in 2011 in a partial diallel scheme. Group 1 was composed of five lines: Acsad901, Acsad899, Acsad1135, Acsad1069 and Ain Abid, and group 2 consisted of four lines, Mahon-Demias, Rmada, Hidhab and El-Wifak. The F0 resulting seeds were grown in 2011-2012 crop season to develop the F1 generation. The 20 F2 hybrids, were planted along with their parents in 2012-2013 season in a randomized complete block design with three replications. The plots consisted of two rows of 10 meters with a spacing of 0.2 m between rows and 0.2 m between plants in the row. Thirty competitive plants were tagged before heading and data were recorded in each plant. The following traits were evaluated: number of calendar days from emergence to 50% heading (DHE, days); flag leaf chlorophyll content (Chl, CCI), estimated with a CCM-200 chlorophyll meter (Opti-Sciences, Tyngsboro, MA, USA); plant height (PHT, cm), measured from the ground level to the tip of spike excluding awns; number of spikes per plant (SN, No.), counted at physiological maturity; spike weight (SW, g), obtained by weighting each individual selected plant; number of grains per spike (GN) present in the plant; thousand-kernel weight (TKW, g), recorded by counting four 250 grain subsamples from each plant; above-ground biomass (BIO, g) and grain yield (GY, g), by individually threshing of each plant.

Table 1: Name, pedigree and source of the parental wheat genotypes used in the partial diallel crosses.

Statistical Analyses

The data collected for each trait were tested for the normal distribution of frequency using Kolmogorov-Smirnov test. The statistical procedures adopted for the analysis of variance involved the partitioning of the genotype source of variation into the parents, crosses and the contrast parents vs. crosses according to Viana et al. (2000). The means were grouped by the Scott and Knott (1974) test at a 5% probability level. The traits showing significant differences were further subjected to diallel cross analysis. Analysis of the partial diallel was performed according to the model proposed by Viana et al. (1999, 2000, 2001), adapted from the method of Hayman (1954) using parents and the F2 generation. The following non-genetic and genetic parameters were estimated and their statistical significance was tested via t test.

D 1 = Genetic variation due to additive genetic effects of group 1 D 2 = Genetic variation due to additive genetic effects of group 2 D 3 = Genetic variation due to additive genetic effects in both groups of parents H 1 = Genetic variation due to dominant genetic effects of group 1 H 2 = Genetic variation due to dominant genetic effects of group 2 h 2 = Dominance effects over all loci F = Mean of covariance between additive and dominant genetic effects E = Expected environmental component of variation

From the genetic components estimates, the following genetic parameters were determined, and their interpretations are related exclusively to the parental genotypes used in this study.

(H 1 /D) 1/2 = Average degree of dominance over all loci H 2 /4H 1 = Proportion of positive and negative alleles K D /K R = Proportion between dominant and recessive genes in all parents (K + - K - ) 2 /K = Direction of dominance h 2 /H 2 = Number of effective factors h 2 ns = Narrow sense heritability

The additive-dominant model validity was performed based on testing the values of the coefficient of regression of offspring parent covariance (Wr) on parental array variance (Vr), against zero and against one for each trait. All statistical analyses were performed using the program Genes, version 2014.6.1 (Cruz, 2013).

RESULTS AND DISCUSSION

Analysis of Variance and Mean Performance

The results of the analysis of variance indicated significant differences between genotypes for nearly all traits, except for GY, which was not significant (Table 2). Partitioning the genotype effect indicated significant differences between all parents, between genotypes within each group of parents, and among groups of genotypes (Table 2). The contrast Parents vs. F2, was highly significant for HD, PHT and SN, while the F2 populations exhibited significant differences for almost all evaluated traits, except for SW, BIO and GY, which were not significant at the 5% probability level.

Table 2: Mean squares of plant traits studied in the partial diallel mating system.

The Scott-Knott means grouping test revealed significant differences between and within the two parental groups (Table 3). Within group 1, Acsad899 had the highest average for Chl (40.38 unit) and for TKW (39.47 g), while Acsad1135 was the tallest parent (73.10 cm) with 6.93 spikes per plant. The parent Ain Abid showed the highest means for HD, PHT, SW, GN, BIO and GY, with mean values of 138.67 days, 76.60 cm, 22.79 g, 63.57 g, 30.79 g and 15.09 g, respectively (Table 3). In group 2, Mahon-Demias had the longest vegetative cycle (142.00 days) and was the tallest (104.81 cm) parent, expressing higher tillering ability (9.23 spikes), heavier grain weight (40.78 g). This parental line also showed the highest SW (19.48 g), BIO (38.93 g) and GY (12.46 g). Hidhab had the highest mean for Chl (38.98 unit) with more grains (52.22 grains) (Table 3). In general, group 2 parents were taller with higher SN and TKW, fewer GN and more BIO. The two groups of parents were similar in Chl, HD, SW and GY. Compared to their parents means, the F2 hybrids varied depending on the cross and the trait; being shorter, late, expressing lower tillering capacity and more grains.

Table 3: Summary of the Scott-Knott cluster analysis of the partial diallel cross parents at 5% probability.

Adequacy of Additive-Dominance Model

The data collected on the traits were subjected to two adequacy tests to check the validity of the additive-dominance model. The first test was carried out by joint regression analysis of Vr and Wr. According to Mather and Jinks (2013), the data will be only valid for genetic interpretation if the value of regression coefficient b must deviate from zero but not from unity. The second test was the test which is an F after rotation by 45°. The results of two scaling tests indicated that the hypotheses of the genetic analysis were partially satisfied for all traits under study considering both parental groups (Table 4). ANOVA of grain yield did not show significant difference among genotypes (Table 2), this result does not justify the further genetic analysis of the considered trait. Partial failure of the assumptions described by Hayman (1954) indicates a more complex genetic system implicated in the inheritance of the said traits. However, it is possible to make estimates of the population parameters and genetic components of these traits, even though such estimates will be less reliable than they would have been if all the assumptions were satisfied. Results of genetic analysis studies showing partially adequate model were reported in wheat (Farooq et al., 2011), rice (Mahmood et al., 2004), sorghum (Wilson et al., 1978), cotton (Ali and Awan, 2009) and Soybean (Fronza et al., 2004).

Table 4: Scaling test for adequacy of additive-dominance model based on regression analysis for the different plant traits studied in the partial diallel mating system.

Genetic Parameters Estimation

The estimates of the genetic and non-genetic parameters for the traits under study are shown in Tables 5 and 6. Chl genetic components of variation (D 1, D 2 and D 3) showed positive and significant values at 5% probability, indicating the presence of additive effects in the inheritance of this trait (Table 5). The estimate (D 1 - D 2) was less than zero (-1.4), suggesting greater variability in group 2. Genetic components due to the dominance effects (H 1 and H 2) were positives but only H 1 parameter was significant, suggesting the presence of dominance effect in the group 1. These results were confirmed by the significance of F estimates for the parents Acsad901 and Acsad1135 (Table 5). However, the positive and significant estimate of F value in group 2 for Mahon-Demias suggested the predominance of dominant alleles for this parent. The average degree of dominance (H 1 /D) 1/2, was greater than unity, suggesting over-dominance in both parent groups (Table 6). The proportion of dominant genes with positive or negative effects in the parents H 2 /4H 1 was lower than 0.25 in both groups of parents, assuming unequal distribution of dominant genes with positive or negative effects (Table 6). This result was confirmed by the dominance-recessive ratio K D /K R which estimated the proportion between dominant and recessive genes, indicating the prevalence of dominant alleles in both parental groups. The direction of dominance (K + - K - ) 2 /K had a value close to zero, revealing the occurrence of bidirectional dominance (Table 6). According to Viana et al. (1999), (K + - K - ) 2 /K value would it be close to zero when the frequencies of the dominant genes with positive and negative effects were similar.

Table 5: Estimates of the component of genetic and environmental variation, their standard deviations for the different plant traits studied in the partial diallel mating system.

Table 6: Estimates of genetic parameters in both groups of parents for the different plant traits studied in the partial diallel mating system.

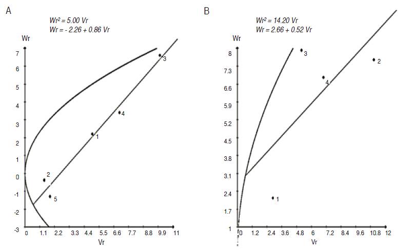
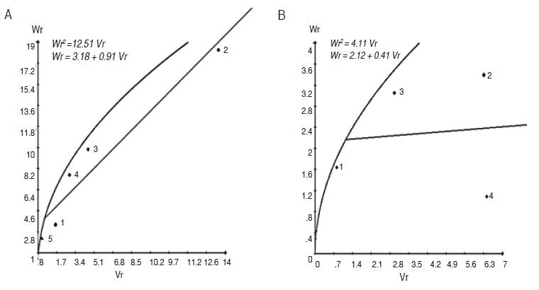
The graphical analysis based on the regression of Wr on Vr (Figures 1, 2, 3, 4, 5, 6, 7 and 8) revealed that the parents Acsad899 and Hidhab, with the highest number of recessive alleles, had also the highest values for chlorophyll content in group 1 and group 2, respectively (Table 3). For HD, the results show that the components associated with additive ef fects (D 2 and D 3) were more relevant than those associated with dominance effects (H 1, H 2 and h 2) at 5% probability (Table 5). Even though D 1 was not significant for group 1, the joint assessment (D 3) proved the occurrence of additive gene effects for this trait. Considering the two parental groups, the covariance of additive and dominance effect F was important in the first group, suggesting the prevalence of dominant alleles in this group.

Regression of Wr on Vr graphs for Chl in G1 (A) and G2 (B) parental groups.

Figure 1: Regression of Wr on Vr graphs for Chl in G1 (A) and G2 (B) parental groups.

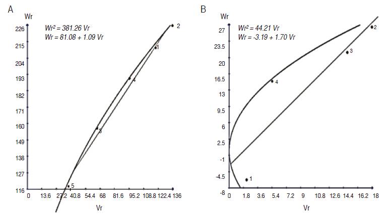
Regression of Wr on Vr graphs for HD in G1 (A) and G2 (B) parental groups.

Figure 2: Regression of Wr on Vr graphs for HD in G1 (A) and G2 (B) parental groups.

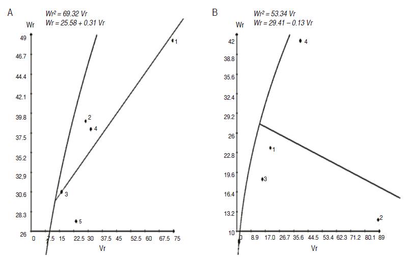
Regression of Wr on Vr graphs for PHT in G1 (A) and G2 (B) parental groups.

Figure 3: Regression of Wr on Vr graphs for PHT in G1 (A) and G2 (B) parental groups.

Regression of Wr on Vr graphs for SN in G1 (A) and G2 (B) parental groups.

Figure 4: Regression of Wr on Vr graphs for SN in G1 (A) and G2 (B) parental groups.

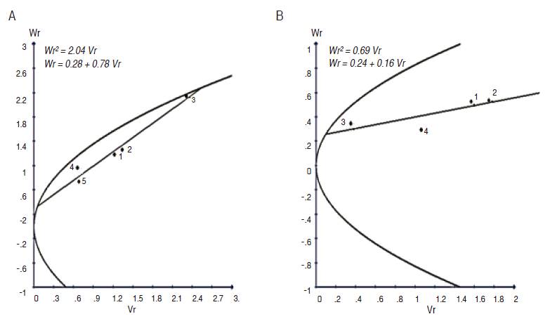
Regression of Wr on Vr graphs for TKW in G1 (A) and G2 (B) parental groups.

Figure 5: Regression of Wr on Vr graphs for TKW in G1 (A) and G2 (B) parental groups.

Regression of Wr on Vr graphs for SW in G1 (A) and G2 (B) parental groups.

Figure 6: Regression of Wr on Vr graphs for SW in G1 (A) and G2 (B) parental groups.

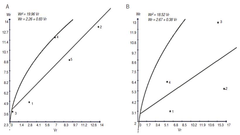
Regression of Wr on Vr graphs for GN in G1 (A) and G2 (B) parental groups.

Figure 7: Regression of Wr on Vr graphs for GN in G1 (A) and G2 (B) parental groups.

Regression of Wr on Vr graphs for BIO in G1 (A) and G2 (B) parental groups.

Figure 8: Regression of Wr on Vr graphs for BIO in G1 (A) and G2 (B) parental groups.

There was asymmetric distribution of favourable and unfavourable alleles in the par ents under study. This result was confirmed by the K D /K R ratio (Table 6). (H 1 /D) 1/2 estimates were 3.22 and 1.36, respectively for group 1 and group 2. This result shows the existence of over dominance among the alleles in the control of this trait (Table 6). The (K + - K - ) 2 /K values showed evidence of unidirectional dominance (Table 6).

For PHT, the components associated with the additive effects were predominant in relation to those associated with the dominance effects (Table 5). The estimate of (D 1 - D 2) was lower than zero, proving greater variabil ity in group 2. Over-dominance was evidenced in the expression of plant height in group 1, while partial dominance was present in group 2 (Table 6). Average value of the allelic frequency products H 2 /4H 1 was lower than 0.25 in both groups of parents, suggesting unequal distribution of dominant and recessive alleles (Table 6). The ratio K D /K R indicated that both groups of parents carry more dominant alleles. Dominance acted in the direction of increasing value plant height. Additionally, the individual estimates (Table 3) in rela tion to the graphical analysis (Figure 3), suggested that the parents Acsad1135, Acsad1069, Ain Abid and Mahon-Demias had the highest number of dominant alleles.

The components (D 2 and D 3) for SN were significant at 5% probability, indicating a greater importance of additive gene effects in the determination of this trait. Over-dominance was involved in the genetic control of this trait in the first group, whereas partial dominance controlled this trait in group 2. The ratio K D /K R, estimating the proportion between dominant and recessive genes, indicated that more recessive alleles were present in both parental groups (Table 6). Group 1 showed symmetric distribution of the alleles with favourable and unfavourable effects in the parents (Table 6), but the H 2 /4H 1 estimate was probably biased, since the maximum parametric value expected was 0.25. However, group 2 illustrated the occurrence of asymmetry distribution, its estimate was 0.07. Mean values analysis indicated that Acsad1135 had the highest average among the parents of group 1, while Mahon-Demias, in group 2, recorded the highest value. These two parents carried also the highest number of recessive alleles (Table 5). This result indicates that high SN values are determined by recessive genetic factors.

TKW additive genetic components (D 1, D 2 and D 3) were positive and significant at 5% probability, D 2 was greater than D 1 (D 1 < D 2), indicating more genetic variability in group 2 (Table 5). Nevertheless, only H 1, from the parameters related to dominance effects, was significant, suggesting the presence of both additive and dominance effects in the determination of this trait in group 1. These results were supported by the positive and significant values of F component (Table 5). The average degree of dominance took a value greater than one, suggesting over-dominance in both parental groups (Table 6). Mean value of the allelic frequency products H 2 /4H 1 was close to zero in both groups, suggesting unbalanced distribution of dominant genes with positive or negative effects in the parents under study (Table 6). This was confirmed by the K D /K R ratio, which showed the preponderance of dominant alleles in both parental groups. Dominance was unidirectional for this trait and acted in the direction of increased value (Table 6).

The diallel analysis revealed significant role of additive and dominant genetic effect in the inheritance of SW (Table 5). Relative magnitude of dominant components (H 1 and H 2) were higher than additive component (D 1, D 2 and D 3), suggesting the preponderance of dominant gene effects controlling the inheritance of this trait. In addition, unequal H 1 and H 2 genetic component (H 1 < H 2), indicated that positive alleles are not proportional to negative alleles at all loci, among parents (Table 5). Positive and significance H 2 component estimates were determined for Acsad1135 and Hidhab, showing evidence of dominance for spikes weight in these parents. F parameter exhibited positive and significant estimates for Acsad899, Ain Abid and Mahon-Demias revealing the predominance of dominant alleles. These three parents recorded the highest values for SW. Therefore, selection of dominant alleles will improve this trait. The genetic factors that determine SW trait exhibited over-dominance for both groups of parents, as indicated by (H 1 /D) 1/2 estimates (Table 6). The gene frequency seemed to be unequal as the range of the H 2 /4H 1 component were less than 0.25 in both groups of parents. The estimates of the consistency of expression of the degree of dominance across all segregating loci K D /K R indicated over-dominance level over all loci.

The components of additive effects (D 1 and D 2) predominated the dominance effects for the GN trait, suggesting that genes controlling this trait acted additively. The difference (D 1 - D 2) was negative, attesting greater variabil ity in group 2 (Table 5). Absence of dominance in the genetic control of GN is also suggested by the non-significant estimates of the component F, at 5% probability (Table 5). Value of H 2 /4H 1 ratio was close to 0.25 in group 1, denoting equality of distribution of increasing and decreasing alleles. However, unequal gene frequency was observed in group 2 (Table 6). The K D /K R ratio indicated predominance of recessive genes in group 1 and dominant alleles in group 2 (Table 6). Over-dominance effect was apparent in the control of GN, the dominance was bidirectional and acted toward increased values of this trait, as shown by the (K + - K - ) 2 /K estimate (Table 6).

Estimation of genetic components of variation for BIO trait revealed significant additive gene effects (Table 5). Distribution of array points (Figure 8) depicted that the genotypes Ain Abid (group 1) and Mahon-Demias (group2) contained maximum dominant alleles while Acsad1135 and El-Wifak being farthest from the origin hold the least dominant genes. Average degree of dominance in both parental groups (2.72 and 1.39, respectively) depicted over-dominance for this trait (Table 6). As the H 2 /4H 1 deviated from its expected value of 0.25, therefore, the gene distribution was asymmetrical. The K D /K R ratio estimates suggested that more dominant alleles were present in the parents and dominance acted in the direction of increasing value of this trait (Table 6).

The environmental component E was not significant for all the traits under study (Table 5), indicating that these characters were not affected by environmental variations. The lack of significance of the statistic h 2 was found for all the traits (Table 5), suggesting that pedigree selection could be rewarding for these traits (Ali et al., 2008). The h 2 /H 2 measuring the number of groups of genes which control the traits suggested that there were one, two or more pairs of genes affecting the inheritance of these (Table 6). These results indicated that there has been at least one genetic group involved in the genetic control of the traits under study. Heritability is an important genetic parameter in crop breeding. It provides information about traits transmissibility from parents to their progeny, and how this is affected by genetic and environmental factors.

High narrow sense heritability h 2 ns was observed for PHT and intermediate values were recorded for HD, TKW and BIO, indicating that selection to improve these traits would be effective. Narrow sense heritability for Chl, SN, SW and GN was low due to the dominance gene effects involved in the genetic control of these traits. These results suggested that delaying selection to improve these traits would be more effective.

Genetic components of variations for HD, PHT, SN, GN and BIO revealed that only additive gene effects were significant in both groups of parents. Thus, improvement of these traits by selection could be done in early generations. Genetic components of variation for Chl, TKW and SW showed that both additive and dominance variations were significant. However, dominant components were preponderant to additive components for these traits. Similar findings were reported by Farooq et al. (2011). H 2 /4H 1 ratio values, for all traits under study in both groups except for SN and GN in group 1, indicated unequal distribution of positive and negative alleles among the parents. These results were in accordance with those previously reported by Yao et al. (2014) and Afridi et al. (2017). Except for PHT and SN in group 2, average degree of dominance (H 1 /D) 1/2 for all the traits suggested the presence of over-dominance. Shehzad et al. (2015) reported over dominance gene action for most of the investigated traits a 5 x 5 complete diallel. Additive type of gene action with partial dominance for plant height was reported by Ojaghi et al. (2010) and for the number of spikes per plant by Kaukab et al. (2014). Significant and positive K D /K R ratio values signified the important role of dominant genes for most of the traits.

The findings of Akram et al. (2008) are in accordance with the results of the present study. Non-significant and positive value of h 2 indicated un-important role of net dominant effect due to heterozygous loci in the expression of these traits. High to moderate narrow sense heritability estimates were recorded, in this study, for PHT, HD, TKW and BIO indicating large additive proportion in the total genetic variation. High to moderate heritability values were also reported for number of days to 50% flowering, plant height and 1000-kernel weight by Fikre et al. (2015). Low narrow sense heritability estimates were found, in this study, for Chl, SN, SW and GN. Ketata et al. (1976) and Hassan et al. (2013) also reported low heritability due to the presence of dominance effects for yield related traits in wheat. Increased values of HD, PHT, SW and BIO were determined by dominant genetic factors, whereas, Chl and SN traits were governed by recessive genetic factors. Besides, the placement of array points indicated that parental genotypes Ain Abid and Mahon-Demias had the maximum dominant genes, while Acsad899, Acsad1135 and Rmada extreme recessive genes for most of the traits by considering both groups of parents. The h 2 /H 2 ratio showed that PHT and SN might be controlled by two and four groups of dominant genes, respectively; while Chl, HD, TKW, GN and BIO might be controlled by one group of genes. In their study, Yao et al. (2011) reported that wheat traits were controlled by one to four groups of dominant factors.

CONCLUSIONS

Based on these results, it can be stated that enough genetic variation existed among the studied genotypes for most of the studied traits in both parental groups, with greater variability in group 2. Additive and non-additive gene effects were involved in the expression of all traits. Average value of the allelic frequency products suggested unequal distribution of dominant and recessive alleles for most of traits. This result was confirmed by the significant values of F component. Moreover, the K D /K R ratio indicated that more dominant alleles were present in parents belonging to group 1 than those of group 2. Dominance acted in the direction of increasing value for HD, PHT, SN, TKW, SW and BIO but was bi-directional for Chl and GN as the genetic parameter (K + - K - ) 2 /K that estimates the direction of dominance had a value close to zero for these traits. Additive gene effects with high heritability estimate suggested that PHT could be improved effectively through early generation selection, while the dominance gene effects along with low heritability estimates for the remaining traits favour delayed stage plant selection. Breeders in Algeria are concentrating their efforts to improve the yield potential of wheat to meet the future goals by developing new varieties with desirable genetic background. They are making a lot of attention to generate information of how gene action is important in a wheat breeding program, because knowledge in this field is helpful in deciding breeding procedures to be adopted for the improvement of those characters including yield.

REFERENCES

  1. Afridi K, Khan NU, Mohammad F, Shah SJA, Gul S, Khalil IA, Sajjad M, Ali S, Ali I and Khan SM. 2017. Inheritance pattern of earliness and yield traits in half diallel crosses of spring wheat. Canadian Journal of Plant Science (In press). doi:10.1139/cjps-2016-0309 [DOI] 🠔
  2. Akram Z, Ajmal SU, Munir M and Shabir G. 2008. Genetic determination of yield related attributes in bread wheat. Sarhad Journal of Agriculture 24(3): 431-438. 🠔
  3. Ali MA, Khan IA, Awan SI, Ali S and Niaz S. 2008. Genetics of fibre quality traits in cotton (Gossypium hirsutum L.). Australian Journal of Crop Science 2(1): 10-17. 🠔
  4. Ali MA and Awan SI. 2009. Inheritance pattern of seed and lint traits in cotton (Gossypium hirsutum). International Journal of Agriculture and Biology 11(1): 44-48. 🠔
  5. Cruz CD, Regazzi AJ and Carneiro PCS. 2004. Modelos Biométricos Aplicados ao Melhoramento Genético, Thirth edition. Universidade Federal de Viçosa, Viçosa. 480 p. 🠔
  6. Cruz CD. 2013. Genes: a software package for analysis in experimental statistics. Acta Scientiarum Agronomy 35(3): 271-276. doi: 10.4025/actasciagron.v35i3.21251 [DOI] 🠔
  7. Falconer DS and Mackay TFC. 1996. Introduction to Quantitative Genetics, Fourth edition, Longman, Essex, UK. 464 p. 🠔
  8. Food and Agriculture Organization. 2016. FAOSTAT database. http://faostat.fao.org/beta/en/ [URL] 🠔
  9. Farooq J, Khaliq I, Kashif M, Ali Q and Mahpara S. 2011. Genetic analysis of relative cell injury percentage and some yield contributing traits in wheat under normal and heat stress conditions. Chilean Journal of Agricultural Research 71(4): 511-520. doi: 10.4067/s0718-58392011000400003 [DOI] 🠔
  10. Fellahi Z, Hannachi A, Bouzerzour H and Boutekrabt A. 2013. Line × Tester Mating Design Analysis for Grain Yield and Yield Related Traits in Bread Wheat (Triticum aestivum L.). International Journal of Agronomy, 2013, Article ID 201851, 9 p. doi: 10.1155/2013/201851 [DOI] 🠔
  11. Fikre G, Alamerew S and Tadesse Z. 2015. Genetic Variability Studies in Bread Wheat (Triticum Aestivum L.) Genotypes at Kulumsa Agricultural Research Center, South East Ethiopia. Journal of Biology, Agriculture and Healthcare 5(7): 89-98. 🠔
  12. Fronza V, Vello NA and Camargo LEA. 2004. Genetic analysis of soybean resistance to Fusarium solani f. sp. glycines. Genetics and Molecular Biology 27(3): 400-408. doi: 10.1590/s1415-47572004000300016 [DOI] 🠔
  13. Gardner CO and Eberhart SA. 1966. Analysis and interpretation of the variety cross diallel and related populations. Biometrics 22(3): 439-452. doi: 10.2307/2528181 [DOI] 🠔
  14. Griffing B. 1956. Concept of general and specific combining ability in relation to diallel crossing systems. Australian Journal of Biological Sciences 9(4): 463-493. doi: 10.1071/bi9560463 [DOI] 🠔
  15. Hannachi A, Fellahi Z, Bouzerzour H and Boutekrabt A. 2013. Diallel-cross analysis of grain yield and stress tolerance-related traits under semi-arid conditions in Durum wheat (Triticum durum Desf.). Electronic Journal of Plant Breeding 4(1): 1027-1033. [URL] 🠔
  16. Hassan MS, El-Said RAR and Abd-El-Haleem SHM. 2013. Estimation of heritability and variance components for some quantitative traits in bread wheat (Triticum aestivum L.). World Applied Sciences Journal 27(8): 944-949. doi: 10.5829/idosi.wasj.2013.27.08.13710 [DOI] 🠔
  17. Hayman BI. 1954. The theory and analysis of diallel crosses. Genetics 39(6): 789-809. 🠔
  18. Kaukab S, Saeed MS and ur Rehman A. 2014. Genetic analysis for yield and some yield traits in spring wheat. Universal Journal of Agricultural Research 2(7): 272-277. doi: 10.13189/ujar.2014.020707 [DOI] 🠔
  19. Ketata H, Edwards LH and Smith EL. 1976. Inheritance of eight agronomic characters in a winter wheat cross. Crop Science 16(1): 19-22. doi: 10.2135/cropsci1976.0011183x001600010005x [DOI] 🠔
  20. Kribaa M, Hallaire V, Curmi P and Lahmar R. 2001. Effect of various cultivation methods on the structure and hydraulic properties of a soil in semi-arid climate. Soil and Tillage Research 60(1-2): 43-53. doi.org/10.1016/s0167-1987(01)00171-4 [DOI] 🠔
  21. Mahmood T, Turner M, Stoddard FL and Javed MA. 2004. Genetic analysis of quantitative traits in rice (Oryza sativa L.) exposed to salinity. Crop and Pasture Science 55(11): 1173-1181. doi: 10.1071/ar03200 [DOI] 🠔
  22. Mather K and Jinks JL. 2013. Introduction to biometrical genetics, Chapman and Hall Ltd., London. doi: 10.1002/bimj.4710260111 [DOI] 🠔
  23. Mumtaz A, Zafar F, Saifulmalook and Shehzad A. 2015. A Review on Mating Designs. Nature and Science 13(2): 98-105. doi: 10.7537/marsnsj130215.15 [DOI] 🠔
  24. Nazir A, khaliq I, Farooq J, Mahmood K, Mahmood A, Hussain M and Shahid M. 2014. Pattern of inheritance in some yield related parameters in spring wheat (Triticum aestivum L.). American Journal of Biology and Life Sciences 2(6): 180-186. 🠔
  25. Ojaghi J, Salayeva S and Eshghi R. 2010. Inheritance pattern of important quantitative traits in bread wheat (Triticum aestivum L.). World applied Science Journal 11(6): 711-717. 🠔
  26. Rashid MAR, Khan AS and Iftikhar R. 2012. Genetic studies for yield and yield related parameters in bread wheat. American-Eurasian Journal of Agricultural & Environmental Sciences 12: 1579-1583. 🠔
  27. Saad FF, Abo-Hegazy SRE, EL-Sayed EAM and Suleiman HS. 2010. Heterosis and combining ability for yield and its components in diallel crosses among seven bread wheat genotypes. Egyptian Journal of Plant Breeding 14(3): 7-22. 🠔
  28. Scott AJ and Knott MA. 1974. A cluster analysis method for grouping means in the analysis of variance. Biometric 30(3): 507-512. doi: 10.2307/2529204 [DOI] 🠔
  29. Shehzad M, Hussain SB, Qureshi MK, Akbar M, Javed M, Imran HM and Manzoor SA. 2015. Diallel cross analysis of plesiomorphic traits in Triticum aestivum L. genotypes. Genetics and Molecular Research 14(4): 13485-13495. doi: 10.4238/2015.october.28.9 [DOI] 🠔
  30. Viana JMS, Cruz CD and Cardoso AA. 1999. Theory and analysis of partial diallel crosses. Genetics and Molecular Biology 22(4): 591-599. doi: 10.1590/s1415-47571999000400021 [DOI] 🠔
  31. Viana JMS, Cruz CD, Cardoso AA. and Regazzi AJ. 2000. Analysis of variance of partial diallel tables. Genetics and Molecular Biology 23(1): 229-234. doi: 10.1590/s1415-47572000000100040 [DOI] 🠔
  32. Viana JMS, Cruz CD and Cardoso AA. 2001. Theory and analysis of partial diallel crosses. Parents and F2 generations. Acta Scientiarum 23(2): 627-634. 🠔
  33. Wilson ND, Weibel DE and McNew RW. 1978. Diallel analyses of grain yield, percent protein, and protein yield in grain sorghum. Crop Science 18(3): 491-495. doi: 10.2135/cropsci1978.0011183x001800030035x [DOI] 🠔
  34. Yao JB, Ma HX, Ren LJ, Zhang PP, Yang XM, Yao GC, Zhang P and Zhou MP. 2011. Genetic analysis of plant height and its components in diallel crosses of bread wheat (Triticum aestivum L.). Australian Journal of Crop Science 5(11): 1408-1418. 🠔
  35. Yao J, Yang X, Zhou M, Yang D and Ma H. 2014. Inheritance of grain yield and its correlation with yield components in bread wheat (Triticum aestivum L.). Turkish Journal of Field Crops 19(2): 169-174. doi: 10.17557/tjfc.30098 [DOI] 🠔