Revista Facultad Nacional de Agronomía, Medellín
0304-2847
Facultad de Ciencias Agrarias - Universidad Nacional de Colombia
https://doi.org/10.15446/rfna.v71n1.62743

Recibido: 17 de febrero de 2017; Aceptado: 13 de septiembre de 2017

Fumigant activity of Schinus terebinthifolius essential oil and its selected constituents against Rhyzopertha dominica

Actividad fumigante de los aceites esenciales de Schinus terebinthifolius y sus componentes seleccionados frente a Rhyzopertha dominica

A. Nascimento, 1 C. Camara, 1 2 M. Moraes, 2

Departamento de Agronomia. Universidade Federal Rural de Pernambuco. R. Manuel de Medeiros, s/n - Dois Irmãos, Recife - PE, 52171-900, Brasil. <claudio_agc@hotmail.com> Universidade Federal Rural de Pernambuco Departamento de Agronomia Universidade Federal Rural de Pernambuco Dois Irmãos Recife Brazil
Departamento de Química. Universidade Federal Rural de Pernambuco. R. Manuel de Medeiros, s/n - Dois Irmãos, Recife - PE, 52171-900, Brasil. Universidade Federal Rural de Pernambuco Departamento de Química Universidade Federal Rural de Pernambuco Dois Irmãos Recife Brazil

ABSTRACT

The aim of the present study was to evaluate the insecticidal potential of the essential oil from ripened and unripened fruit of the plant Schinus terebinthifolius and compare the toxic effects of artificial blends made with selected constituents of these oils [limonene, (E)-nerolidol, α-terpineol, β-terpineol terpinolene, α-pinene and β-pinene] on the lesser grain borer, Rhyzopertha dominica (family -order). No statistically significant difference was found between the oils in the time periods tested (24, 48 and 72 h). Rhyzopertha dominica was more susceptible to limonene, terpinolene, α-pinene and β-pinene. Among the complete artificial blends tested at the proportions identified chemically, only that prepared with the constituents of the ripened fruit oil demonstrated toxicity on the same level as the essential oil. The analysis of the constituents revealed that limonene and α-terpineol contributed most to toxicity of the ripened fruit oil, whereas only limonene contributed to the toxicity of the unripened fruit oil. The present findings demonstrate that the toxicity of the ripened and unripened fruit oils cannot be attributed only to the individual toxicity of the constituents, but also the proportion at which these compounds are found and the types of interactions among the compounds.

Keywords:

Essential oil, Insecticidal activity, Rhyzopertha dominica, Schinus terebinthifolius.

RESUMEN

El objetivo del presente estudio fue evaluar el potencial insecticida de los aceites esenciales de los frutos maduros y no maduros de la planta Schinus terebinthifolius y comparar los efectos tóxicos de mezclas artificiales con los constituyentes seleccionados de estos aceites [limoneno, (E)-nerolidol, α-terpineol, β-terpineol, terpinoleno, α-pineno y β-pineno] en el barrenador de grano pequeño, Rhyzopertha dominica. La susceptibilidad de la plaga a los aceites aumentó con el tiempo. No se encontró diferencia estadísticamente significativa entre los aceites en los períodos de tiempo evaluados (24, 48 y 72 h). Rhyzopertha dominica fue más susceptible al limoneno, terpinoleno, α-pineno y β-pineno. Entre las mezclas artificiales completas, ensayadas en las proporciones caracterizadas químicamente, solamente la preparada con los componentes del aceite de fruta madura demostró toxicidad al mismo nivel que el aceite esencial. El análisis de los constituyentes reveló que el limoneno y el α-terpineol contribuyeron más a la toxicidad del aceite de fruta madura, mientras que unicamente el limoneno contribuyó a la toxicidad del aceite de fruta no madura. Los presentes hallazgos demuestran que la toxicidad de los aceites de frutas maduras y no maduras no puede atribuirse únicamente a la toxicidad individual de los constituyentes, sino también a la proporción en que se encuentran estos compuestos y al tipo de interacción entre estos.

Palabras clave:

Aceite esencial, Actividad insecticida, Rhyzopertha dominica, Schinus terebinthifolius.

The lesser grain borer, Rhyzopertha dominica (Fabricius, 1792) (Coleoptera: Bostrichidae), is the main post-harvest wheat insect pest and has broad distribution in Brazil. However, a number of crops are attacked by this insect, such as wheat, barley, triticale, rice and oats. Both the adults and larvae of this beetle bore into the tegument of seeds, producing large amounts of powder and causing direct damage to the kernels (Faroni et al., 2004).

The preventive control of this agricultural pest is performed with inert powders, such as diatomaceous earth (Athanassioua et al., 2014), or conventional insecticides, such as deltametrin. Curative control is performed with fumigant agents, especially phosphine. However, the indiscriminate use of these forms of pest control are the main reason for the emergence of resistant populations, especially the use of deltametrin (Shahid et al., 2014) and phosphine (Pimentel et al., 2010).

Natural products, such as those derived from plants (powders, extracts and essential oils), constitute an alternative to conventional insecticides and have demonstrated repellent, anti-feeding and sterilizing activities as well as causing the death of the immature or adult phases of different arthropods (Cruz et al., 2014).

The broad-leafed pepper tree, Schinus terebinthifolius Raddi (Anarcadiaceae), is a medicinal plant native to Brazil, Paraguay, Uruguay and Argentina. This plant occurs in Brazil between the states of Pernambuco (Northeastern region) and Rio Grande do Sul (Southern region) (Lorenzi and Matos, 2002). In Pernambuco, this plant is widely distributed in fragments of the Atlantic Rainforest, especially forests on the coastal plains. The fruit is rich in essential oil and is used in local culinary practices as a substitute spice for black pepper (Bertoldi, 2006). There are reports in the literature of the broad biological activities of the essential oil from the broad-leafed peppertree, such as antibiotic (Silva et al., 2010), anti-inflammatory (Jain et al., 1995), antioxidant and anti-cancer (Bendaoud et al., 2010) properties. A previous study on the insecticidal potential of this essential oil demonstrated toxicity to mosquitoes that transmit malaria [Anopheles gambiae, A. Arabiensisand and Culex quinquefasciatus (Kweka et al., 2010)], dengue fever [Aedes aegypti (Silva et al., 2010; Santos et al., 2010)] and pests that attack stored grains [Hypothenemus hampei (Santos et al., 2013), Acanthoscelides obtectus, Zabrotes subfasciatus (Santos et al., 2007), Sitophilus oryzae and Tribolium castaneum (Mohamed and Abdelgaleil, 2008)]. Nascimento et al. (2012) report that limonene is the main component of oils from ripened and unripened S. terebinthifolius fruit and found that the unripened fruit oil was more active in fumigation tests than the ripened fruit oil against the two-spotted spider mite (Tetranychus urticae). However, there are no previous reports of the effect of the essential oil from this plant on R. dominica.

Continuing the systematic study on the insecticidal potential of aromatic plants that occur in fragments of the Atlantic Rainforest in the state of Pernambuco, Brazil, the aim of the present investigation was to determine the insecticidal action of essential oils from ripened and unripened S. terebinthifolius fruit against R. dominica. The insecticidal activity of the chemical constituents of these oils [limonene, (E)-nerolidol, α-terpineol, β-terpineol, terpinolene, α-pinene and β-pinene] was tested for each compound individually as well as in the form of blends.

MATERIALS AND METHODS

Collection of Plant Material

Fresh fruits were collected from a fragment of the Atlantic forest at an altitude of around 66.60 m, in the city of Recife state of Pernambuco (7°57’7.494”S - 34°53’39.708”W), Brazil, in June 2010. The plants were identified by Dr. Maria Rita Cabral Sales de Melo of the Biology Department of the Universidade Federal Rural de Pernambuco. A voucher specimen of the species was deposited in the Vasconcelos Sobrinho Herbarium of the Universidade Federal Rural de Pernambuco under number 49.259.

Isolation of the Essential Oil

The essential oils from fresh unripened (UFr; green color) and ripened (RFr; red color) fruits (100 g) were separately isolated using a modified Clevenger-type apparatus and hydrodistillation for 2 h. The oil layers were separated and dried over anhydrous sodium sulfate, stored in hermetically sealed amber glass containers and kept at low temperature (-5 °C) until the insecticide assays and analysis.

Chemicals

Monoterpenes and sesquiterpene used in the bioassay and to make up artificial blends of Schinus oils are showed in Table 1 and Figure 1. All compounds including eugenol used as positive control were purchased from Sigma-Aldrich (Brazil).

Table 1: Selected constituents selected identified in ripened and unripened fresh S. terenbinthifolius oils of the reported by Nascimento et al. (2012).

Structure of selected constituents identified in S. terenbinthifolius oils reported by Nascimento et al. (2012).

Figure 1: Structure of selected constituents identified in S. terenbinthifolius oils reported by Nascimento et al. (2012).

Comparative toxicity of compounds

In order to evaluate the relationship between chemical structure and insect pest activity, six monoterpenes and one sesquiterpene present in the essential oil of S. terebinthifolius fruits were selected with the objective of evaluating their activities on R. dominica. The monoterpenes were initially divided into two groups of constitutional isomers. The first group consists of four isomers with the molecular formula C10H16, two monocyclic monoterpenes (Limonene and terpinolene) and two bicyclic monoterpenes (α-pinene and β-pinene). The second group of constitutional isomers consisted of α-terpineol and β-terpineol (C10H18O). In addition to these, the sesquiterpene (E)-nerolidol was selected.

Insecticide Assay

The adult specimens of Rhyzopertha dominica were taken from a research colony in continuous culture on wheat grain in the Agronomy Department of the Universidade Federal Rural de Pernambuco without previous exposure to any pesticide. The insects used for all experimental procedures were reared on Triticum monococcum grain at a temperature of 25 ± 5 °C, relative humidity of 65 ± 10% and a 12-h photophase.

Fumigant Assay

The fumigant method was the same used by Pontes et al. (2007). Glass recipients with a capacity of 1 L were used as test chambers, whit three replicates. One replicate consisted of 10 specimens of R. dominica. The oils were applied with an automatic pipette on a piece of filter paper (5 × 3 cm) attached to the underside of the recipient lid. The oil amounted ranged from 5 to 90 µL. Mortality was determined after 24, 48 and 72 h. Following exposure, the insects were then removed from the recipients, and were lightly touched with a brush in order to determine mortality. Those with no sign of movement were considered dead. The mortality data for each of the RFr and UFr oils were also analyzed with the Probit model using the POLO-PC software (LeOra, 1987) for the determination of the lethal concentration average (LC50) values, with 95% confidence levels determined for all experiments.

Fumigation Bioessays of Individual Compounds and Artificial Blends

To investigate the relative toxicity of monoterpenes and sesquiterpenes found in the S. terebinthifolius oils, fumigation bioessay was performed with the compounds described in Table 1. Tests were also performed with artificial blends comprising compounds selected on the bases of the ripened and unripened fruit oils at the same proportions identified through gas chromatography-mass spectrometry (Nascimento et al., 2012). Other blends were then prepared by the removal of one component at a time from the artificial blend to evaluate the role of each component in toxicity to R. dominica (incomplete artificial blend). The concentration used for each of the constituents was that led to ≥ 95% mortality of R. dominica (50 μL L-1 of air) for the oils from the ripened and unripened S. terenbinthifolius fruit after 72 h of exposure. The mortality data were submitted to analysis of variance and mean values were compared using Tukey’s test with 5% probability with the aid of the SAS program (SAS Institute, 2002).

RESULTS AND DISCUSSIONS

The Table 2 displays the estimated LC50 of R. dominica for the vapors of the ripened and unripened S. terenbinthifolius fruit as well as eugenol, which was used as the positive control. The susceptibility of the pest to the ripened and unripened fruit oils increased over time, with no significant differences between oils at each evaluation period (24, 48 and 72 h). Similar behavior was found when the pest was submitted to the vapors of the positive control, the toxicity of which increased over time. The ripened and unripened fruit oils were more effective than the positive control in the shortest evaluation time (24 h). This finding suggests that the greater activity of S. terenbinthifolius can be attributed to the chemical diversity of the oils, which may act through different active sites in the pest at the same time, leading to a faster, more effective response in comparison to the action of only one compound (eugenol) (Isman et al., 2011; Araújo et al., 2012). A possible explanation for the greater toxicity of the positive control against R. dominica beginning at 48 h resides in the polar nature of eugenol, which has slower evaporation, in comparison to the nonpolar nature of the oils, which are comprised mainly of monoterpene hydrocarbons. The findings suggest that the same toxicity found for the oils in each evaluation period (24, 48 and 72 h) can be attributed to the similarity in the chemical profile of the different oils (Nascimento et al., 2012).

Toxicity due to fumigation of the constituents selected from the S. terebinthifolius and artificial blends

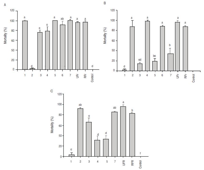
A large portion of studies on the insecticidal activity of essential oils report only the action of the oil without establishing a relationship between toxicity and the chemical composition or attributing the activity of the oil only to the relative toxicity of its isolated constituents (Araújo et al., 2012; Born et al., 2012; Santos et al., 2013; Furtado et al., 2005). The scarcity of information on interactions among the chemical constituents and the proportions at which these compounds are found in essential oil has motivated our research group to investigate the degree of interaction among the chemical constituents individually at the same proportion at which the compounds are found in the S. terebinthifolius oil against R. dominica (Moraes et al., 2012). Figure 2 A displays the toxicity to R. dominica of the individual compounds selected from the ripened and unripened fruit oils of S. terebinthifolius at a concentration of 50 μL/L of air after 72 h of exposure.

A. Mean toxicity caused by the oil and constituents of S. terebinthifolius ripened (RFr) and unripened (UFr) fruits to R. dominica. B. Mean toxicity caused by the RFr oil, Full Artificial Mixture (FAM) and selected blends of constituents. C. Mean toxicity caused by the UFr oil, FAM and selected blends. Concentrations were applied at levels equivalent to the fruit oils that showed mortality ≥ 95% (72h).

Figure 2: A. Mean toxicity caused by the oil and constituents of S. terebinthifolius ripened (RFr) and unripened (UFr) fruits to R. dominica. B. Mean toxicity caused by the RFr oil, Full Artificial Mixture (FAM) and selected blends of constituents. C. Mean toxicity caused by the UFr oil, FAM and selected blends. Concentrations were applied at levels equivalent to the fruit oils that showed mortality ≥ 95% (72h).

The numbers indicate full mixture missing the constituent noted: (1) limonene, (2) (E)-nerolidol, (3) α-terpineol, (4) β-terpineol, (5) terpinolene, (6) α-pinene, (7) β-pinene. Means corresponding to each treatment with different letters are significantly different from each other by the Tukey’s test (P≤0.05).

All compounds tested were toxic, except the sesquiterpene (E)-nerolidol, which did not differ significantly from the negative control. The non-oxygenated monoterpenes limonene, terpinolene, α-pinene and β-pinene were the most toxic, followed by the oxygenated monoterpenes α-terpineol and β-terpineol. Based on the relative toxicity of these terpenes, the presence of the hydroxyl group in the aliphatic ring for monocyclic monoterpenes resulted in a reduction in insecticidal activity in comparison to the other monoterpenes. This finding may be related to the greater volatility of non-oxygenated monoterpenes due to the lower molecular weight and weaker inter-molecular interactions in comparison to oxygenated monoterpenes (Moraes et al., 2012). Moreover, the lipophilic nature of the cuticular outer layer of the insect is more selective regarding substances with polar groups, such as the hydroxyl group found in α-terpineol and β-terpineol (López et al., 2005). The influence of hydroxyl in monoterpenes on the reduction of insecticidal activity has been reported for other groups of insects. Investigating the insecticidal effects of different oxygenated and non-oxygenated monoterpenes on larvae from the mosquito Aedes aegypt, Santos et al. (2010) found that the presence of hydroxyl was related to less activity.

The presence of dual bonds in monoterpenes seems to have considerable importance for certain groups of insects, such as dipterans (Santos et al., 2010). The toxicity of four monoterpenes with three insaturations (terpinolene, limonene, α-pinene and β-pinene) against R. dominica did not differ significantly. These findings suggest that the position of the exocyclic dual bond in the terpinolene and limonene isomers did not affect insecticidal activity against R. dominica. The same was found for the α-pinene and β-pinene isomers, as the activity of these compounds was independent of the position of the dual bond (endocyclic or exocyclic).

The results suggest that the insecticidal properties of the S. terenbinthifolius fruit oils against R. dominica may be attributed to the toxicity of the individual compounds. However, in a previous investigation, Moraes et al. (2012) found that the activity of an essential oil is not necessarily attributable to only the relative toxicity of each constituent, as it is also necessary to take into account possible interactions among the constituents and the proportions at which such constituents are found in essential oils. Thus, the fumigation bioassays were repeated with artificial blends prepared with the selected components at the proportions found in the ripened and unripened S. terenbinthifolius fruit oils (Nascimento et al., 2012).

Figure 2B displays the insecticidal activity of the complete artificial blends with all constituents of the ripened fruit oil (complete blend) as well as with the removal of one constituent at a time (incomplete oils). The toxicity differed between the complete and incomplete artificial blends. Considering the individual activity of the constituents used in the complete artificial blend, the same degree of insecticidal activity as that found for the ripened fruit oil may be explained by the synergic interaction among constituents with lower activity [(E)-nerolidol, α-terpineol and β-terpineol] and those with greater activity (limonene, terpinolene, α-pinene and β-pinene). Miresmailli and Isman (2006), report similar findings regarding the acaricidal activity of an artificial blend prepared with selected constituents of Rosmarinus officinalis oil. Figure 2 also shows that the absence of limonene and α-terpineol, followed by terpinolene and β-pinene, in the incomplete artificial blends led to a considerable reduction in the mortality rate of the agricultural pest, thereby suggesting that these constituents contribute significantly to the toxicity of the essential oil from the ripened fruit. Moreover, the individual role of these constituents in the activity of the ripened fruit oil did not depend on either the proportion of these compounds in the oil or individual activity. For instance, limonene, which is a major component of the ripened fruit oil (31.8%), and α-terpineol, which is a minor component of this oil (0.6%), exerted the same degree of insecticidal activity in the essential oil. Regarding the individual activity of the selected constituents, α-pinene, limonene, terpinolene and β-pinene demonstrated the greatest insecticidal activity against R. dominica, but the individual removal of these compounds did not alter the degree of activity of the incomplete artificial blend.

Figure 2C displays the toxicity of the complete and incomplete artificial blends prepared with the chemical constituents selected from the unripened fruit oil. Unlike what was found with the ripened fruit oil and its artificial blends, which had the same degree of toxicity against R. dominica, the complete artificial blend of the unripened oil did not reach the same degree of toxicity as the essential oil. This finding may be attributed to the different proportions of the compounds found in the ripened and unripened fruit oils as well as the absence of α-pinene in the complete artificial blend of the unripened fruit oil (Table 2). As found for the complete artificial blend of the ripened fruit oil, the absence of some constituents led to a considerable reduction in the mortality of the pest. The absence of limonene, followed by β-terpineol and terpinolene, suggests that these constituents contribute significantly to the toxicity of the unripened fruit oil. In contrast, the absence of (E)-nerolidol enhanced the degree of toxicity of the incomplete artificial blend in comparison to the unripened fruit oil, which suggests an antagonistic interaction between this component and other constituents of the complete artificial blend, as the absence of (E)-nerolidol led to the same toxicity found in the essential oil.

Table 2: Toxicity by fumigation (LC50 in μL/L air) of UFr and RFr fruits of S. terebinthifolius essential oil against R. dominica in different times of evaluation.

CONCLUSIONS

Independently of the qualitative and quantitative differences in the chemical constituents of the ripened and unripened fruits oils from the plant S. terenbinthifolius tested, no significant differences were found between the two oils regarding the insecticidal activity against the lesser grain borer (R. dominica). The results of the bioassays employed to evaluate the insecticidal activity of these oils suggest that such oils affect the respiratory system of this agricultural pest. However, the fumigant properties of the pure oils and artificial blends suggest that the action of these oils cannot be attributed only to the individual toxicity of each constituent, but rather that proportion and possible interactions (synergistic and antagonist) among the constituents. The present study demonstrates that it is possible to create a blend with different chemical constituents of essential oils for use in the control of agricultural pests.

ACKNOWLEDGMENTS

Our thanks to Conselho Nacional de Desenvolvimento Científico e Tecnológico and Fundação de Amparo à Ciência e Tecnologia do Estado de Pernambuco for scholarship and financial support (FACEPE; APQ-0476-1.06/14 and APQ- 10081.06/15, CNPq - universal 477778/2013-5, CNPq - PQ-2 302860/2016-9, APQ - 0860-1.06/16) and Dr Irenaeus Lorini and Dr. Paulo Roberto Valle da Silva Pereira, Embrapa, for giving insects sample to the start of the insect colony.

REFERENCES

  1. Araújo MJC, da Camara CAG, Born FS, Moraes MM and Badji CA. 2012. Acaricidal activity and repellency of essential oil from Piper aduncum and its components against Tetranychus urticae. Experimental and Applied Acarology 57(2): 139-155. doi: 10.1007/s10493-012-9545-x [DOI] 🠔
  2. Athanassioua CG, Kavallieratos BNG and Lazzaric FA. 2014. Insecticidal effect of Keepdry® for the control of Sitophilus oryzae (L.) (Coleoptera: Curculionidae) and Rhyzopertha dominica (F.) (Coleoptera: Bostrychidae) on wheat under laboratory conditions. Journal of Stored Products Research 59(3): 133-139. doi: 10.1016/j.jspr.2014.06.011 [DOI] 🠔
  3. Bertoldi MC. 2006. Atividade antioxidante in vitro da fração fenólica, das oleorresinas e do óleo essencial de pimenta rosa (Schinus terebinthifolius Raddi). Tesis Magister en ciencia y tecnología de los alimentos. Universidade Federal de Viçosa, Minas Gerais, Brazil. 96 p. 🠔
  4. Bendaoud H, Romdhane M, Souchard JP, Cazaux S, Bouajila J. 2010. Chemical composition and anticancer and antioxidant activities of Schinus molle L. and Schinus terebinthifolius Raddi berries essential oils. Journal of Food Science 75: 466-472. doi: 10.1111/j.1750-3841.2010.01711.x [DOI] 🠔
  5. Born FS, Bianco EM, da Camara CAG. 2012. Acaricidal and repellent activity of terpenoids from seaweeds collected in Pernambuco, Brazil. Natural Product Communications 7(4): 463-466. 🠔
  6. Cruz GS, Wanderley JVT, Oliveira AA, Correia MO, Breda TJS, Alves FM, Cunha AAC, Teixeira KA, Dutra KA, Navarro DMAF. 2014. Bioactivity of Piper hispidinervum (Piperales: Piperaceae) and Syzygium aromaticum (Myrtales: Myrtaceae) oils, with or without formulated Bta on the biology and immunology of Spodoptera frugiperda (Lepidoptera: Noctuidae). Journal of Economic Entomology 107: 144-153. doi.org/10.1603/EC13351 [DOI] 🠔
  7. Faroni LRDA, Oliveira CRF, Gonçalves JR and Pimentel MAG. 2004. Influência da alimentação na biologia de Rhyzopherta dominica (Fabrícius) (Coleoptera: Bostrichidae). Revista Brasileira de Armazenamento 29(1): 13-18. 🠔
  8. Furtado RF, Lima MGA, Neto MA, Bezerra JNS and Silva MGV. 2005. Atividade larvicida de óleos essenciais contra Aedes aegypti L. (Diptera: Culicidae). Neotropical Entomology 34(5): 843-847. doi: 10.1590/S1519-566X2005000500018 [DOI] 🠔
  9. Isman MB, Miresmailli S and Machial C. 2011. Commercial opportunities for pesticides based on plant essential oils in agriculture, industry and consumer products. Phytochemistry Reviews, 10(2): 197-204. doi: 10.1007/s11101-010-9170-4 [DOI] 🠔
  10. Jain MK, Yu BZ, Rogers JM, Smith AE, Boger ET, Ostrander RL and Rheingold AL. 1995. Specific competitive inhibitor of secreted phospholipase A2 from berries of Schinus terebinthifolius. Phytochemistry 39(3): 537-47. doi: 10.1016/0031-9422(94)00960-2 [DOI] 🠔
  11. Kweka EJ, Lyatuu EE, Mboya MA, Mwang’onde BJ and Mahande AM. 2010. Oviposition Deterrence Induced by Ocimum kilimandscharicum and Ocimum suave Extracts to Gravid Anopheles gambiae s.s (Diptera: Culicidae) in Laboratory. Journal of Global Infectious Diseases 2(3): 242-245. doi: 10.4103/0974-777X.68524 [DOI] 🠔
  12. LeOra Software. 1987. POLO-PC: a user’s guide to Probit Logit analysis. Berkely, CA. 🠔
  13. Lopez O, Fernandez-Bolanos JG and Gil MV. 2005. New trends in pest control: the search for greener insecticides. Green Chemistry 7(7): 431-442. doi: 10.1039/B500733J [DOI] 🠔
  14. Lorenzi HE and Matos FJA. 2002. Plantas medicinais no Brasil/ Nativas e exóticas. Nova Odessa: Instituto Plantarum 512p. 🠔
  15. Miresmailli S and Isman MB. 2006. Efficacy and persistence of rosemary oil as an acaricide against two spotted Spider mite (Acari: Tetranychidae) on greenhouse tomato. Journal of Economic Entomology 99(6): 2015-2023. doi: 10.1093/jee/99.6.2015 [DOI] 🠔
  16. Mohamed MI and Abdelgaleil SAM. 2008. Chemical composition and insecticidal potential of essential oils from Egyptian plants against Sitophilus oryzae (L.) (Coleoptera: Curculionidae) and Tribolium castaneum (Herbst) (Coleoptera: Tenebrionidae). Journal Applied Entomology and Zoology 43(4): 599-607. doi: 10.1303/aez.2008.599 [DOI] 🠔
  17. Moraes MM, da Camara CAG, Santos ML and Christopher WFAGG. 2012. Essential oil composition of Eugenia langsdorffii O. Berg In: relationships between some terpenoids and toxicity against Tetranychus urticae. Journal of the Brazilian Chemical Society 23(9): 1647-1656. 🠔
  18. Nascimento AF, da Camara CAG, Moraes MM and Ramos CS. 2012. Essential Oil Composition and Acaricidal Activity of Schinus terebinthifolius from Atlantic Forest of Pernambuco, Brazil against Tetranychus urticae. Natural Product Communications 7(1): 129-132. 🠔
  19. Pimentel MAG , Faroni LRDA, Silva FH, Batista MD and Guedes RNC. 2010. Spread of Phosphine Resistance among Brazilian Populations of Three Species of Stored Product Insects. Neotropical Entomology 39(1): 101-107. doi: 10.1590/S1519-566X2010000100014 [DOI] 🠔
  20. Santos MRA, Lima RA, Fernandes CF, Silva AG, Lima DKS, Teixeira CAD and Facundo, V. A. 2007. Atividade Inseticida do óleo essencial de Schinus terebinthifolius Raddi sobre Acanthoscelides obtectus Say e Zabrotes subfasciatus Boheman. Revista Fitos 3(1): 77-84. 🠔
  21. Santos MRA, Lima RA, Silva AG, Lima DKS, Sallet LAP, Teixeira CAD and Facundo VA. 2013. Chemical composition and insecticidal activity of the essential oil of Schinus terebinthifolius Raddi (Anacardiaceae) on coffee berry borer (Hypothenemus hampei). Revista brasileira de plantas medicinais 15(4): 757-762. 🠔
  22. Santos SRL, Silva VB, Melo MA, Barbosa JDF, Santos RLC, Sousa DP and Cavalcanti SCH. 2010. Toxic effects on and structure-toxicity relationships of phenylpropanoids, terpenes, and related compounds in: Aedes aegypti larvae. Vector Borne Zoonotic Diseases 10(10): 1049-1054. doi: 10.1089/vbz.2009.0158 [DOI] 🠔
  23. SAS Institute. 2002. SAS user’s guide: Statistics, version 9.0, 7th ed. SAS Institute, Cary, NC. 🠔
  24. Shahid AN, Shahid AS and Shakoori AR. 2014. Biochemical Response of Malathion-Resistant and-Susceptible Adults of Rhyzopertha dominica to the Sublethal Doses of Deltamethrin. Pakistan Journal of Zoology 46(2): 853-861. 🠔
  25. Silva A B, Silva T, Franco ES, Rabelo SA, Lima ER, Mota RA and da Camara CAG. 2010. Antibacterial activity, chemical composition, and cytotoxicity of leafs essential oil from Brazilian pepper tree (Schinus terebinthifolius, Raddi). Brazilian Journal of Microbiology 41(1): 158-163. doi: 10.1590/S1517-83822010000100023 [DOI] 🠔