Revista Facultad Nacional de Agronomía, Medellín
0304-2847
Facultad de Ciencias Agrarias - Universidad Nacional de Colombia
https://doi.org/10.15446/rfna.v70n2.64524

Recibido: 8 de abril de 2016; Aceptado: 10 de febrero de 2017

Bioconcentration of chlorpyrifos in roots and foliage of plants of Cenchrus clandestinus (Hochst. ex chiov.) morrone, cultured in green house

Bioconcentración de chlorpyrifos en raíces y follaje del pasto Cenchrus clandestinus (Hochst. ex chiov.) morrone, cultivado en inverdadero

S. Márquez Giron, 1N. Aguirre Ramirez, 2J. Palacio Baena, 2

Facultad de Ciencias Agrarias. Universidad de Antioquia. A.A. 1226, Medellín, Colombia. <saramariamarquezg@gmail.com> Universidad de Antioquia Facultad de Ciencias Agrarias Universidad de Antioquia Medellín Colombia
Facultad de Ingeniería. Universidad de Antioquia. A.A. 1226, Medellín, Colombia. Universidad de Antioquia Facultad de Ingeniería Universidad de Antioquia Medellín Colombia

ABSTRACT

The bio-concentration of the insecticide chlorpyrifos in grass Cenchrus clandestinus cultivated in green house was determined. The pesticide was applied in the culture solution and we carried out the monitoring of the concentration of the pesticide in foliage and root tissues during 72 h of exposure to the nutrient solution with 96, 192 and 288 mg L-1 of chlorpyrifos. Tissue samples were taken at 4, 24, 48 and 72 h. Removal of chlorpyrifos of foliage and grass root used the MI 48640 with a sensitivity of 0.01 ppm and the quantification was carried out by gas chromatography. During the study, it was possible to observe that chlorpyrifos is transported through the vascular system of plants in grass C. clandestinus in hydroponic cultivation, from the root to the foliage. In addition, it showed an increasing bioaccumulation in the tissues of roots and foliage. Bioaccumulation of chlorpyrifos was higher in the root 39.4 µg g-1 than in foliage 1.1 µg g-1. Therefore, the use of this insecticide on livestock systems from high tropical areas represents a risk for cattle and other members of the dairy food chain.

Keywords:

Insecticide, Systemic, Application, Bioaccumulation, Grass.

RESUMEN

Se determinó la bioconcentración del insecticida clorpirifos en plantas de pasto Cenchrus clandestinus cultivadas hidropónicamente, el pesticida fue aplicado en la solución de cultivo, se realizó el seguimiento de la concentración del pesticida en los tejidos del follaje y de la raíz, durante 72 h de exposición a la solución nutritiva con 96, 192 y 288 mg L-1 de clorpirifos. Los muestreos en tejidos se realizaron a las 4, 24, 48 y 72 h. Para la extracción del clorpirifos del follaje y raíz del pasto se empleó el método MI 48640 con una sensibilidad de 0,01 ppm y la cuantificación se realizó por cromatografía de gases. Durante el estudio se evidenció que el clorpirifos se transporta a través del sistema vascular de plantas de C. clandestinus en cultivo hidropónico, desde la raíz hasta el follaje. Además, se evidenció bioacumulación creciente en los tejidos de raíz y follaje. La bioacumulación del clorpirifos fue mayor en la raíz 39,4 µg g-1 que en el follaje 1,1 µg g-1. Por lo anterior, la utilización de este insecticida en los sistemas ganaderos de trópico alto representa un riesgo para los bovinos y para los demás integrantes de la cadena alimenticia láctea.

Palabras clave:

Insecticida, Sistémico, Aplicación, Bioacumulación, Pasto.

The high demand for pesticides in most regions of the world is caused by intensive systems of farming that have been implemented based on the establishment of monocultures, which according to Altieri and Nicholls (2007), have involved the simplification of biodiversity. Therefore, farms have become artificial ecosystems, highly dependent on the contribution of agro-chemicals that unbalance even more the system. Plants grown under these intensive systems do not have enough ecological defense mechanisms to tolerate the impact of pests and diseases. Therefore, excessive use of chemical plant protection products is necessary (Chará and Giraldo, 2011; Cruz et al., 2006).

In the area dedicated to the breeding milk located in the municipality of San Pedro de Los Milagros predominates an intensive production system with herds grazing and intensive cultivation of pastures, mostly C. clandestinus, which has been based on monoculture with high loads of organic fertilizer called porquinaza and chemical fertilization, with rest periods of 45 to 60 days (Quirós et al., 1997).

In these production systems Marquez (2001) detected the presence of chlorpyrifos in the foliage of C. clandestinus, even in the day 63 after applying the product, whose withdrawal time is 20 - 30 days, ICA sale registration 787.

The processes of sampling pesticides by plants may correspond to an active transport in the absorption by the roots or a passive process as a result of direct contact between the biota and pesticides. Depending on the properties of pesticides and the characteristics of the biota, absorbed pesticide can be degraded, accumulated on the inside of the biota, or transferred to other agencies within the food chain. The pesticides sampling from plants is the first step in the process of bio-magnification, which can be made from contaminated soil or from the air. Tree leaves are particularly exposed to air pollution (Trapp and Matthies, 1998).

The accumulation of pesticides remains within the body of any organism is highly influenced by the body lipid content and the lipid affinity of the pesticide. Although, actually, the content of lipids in the tissues of the plants is not very significant, some plant species have shown high bioaccumulation factors (Zacharia et al., 2010). The anatomy and the physiology of vascular tissues define routes of pesticides to plants inside. The compounds enter by the root and move the stem through the xylem apoplastic system, but must also have the ability to enter to the symplast (Trapp and Mc Farlane, 1995).

Chlorpyrifos, O, O-diethyl O-3, 5, 6 trichloro-2-pyridyl phosphorothioate (Royal Society of Chemistry, 1987) is an insecticide, acaricide with degree II of toxicity. Figure 1 shows the structural formula and Table 1 presents the main physical and chemical characteristics (European Commission Health and Consumer Protection Directorate-General (2005) and British Crop Production Council (2006). It is a non-systemic compound, widely used for the control of agricultural pests and in veterinary medicine for the control of ticks and lice (Castelli et al., 2007).

Structural formula of chlorpyrifos.

Figure 1: Structural formula of chlorpyrifos.

Table 1: Physical-chemical characteristics of chlorpyrifos.

Iannacone et al. (2000), assessed the duckweed L. minor bioassays semi-static ecotoxicological, with the pesticides, chlorpyrifos and lindane, dissolved in the nutrient solution. The test duration was 48 h. The sub lethal effects were evaluated: formation of new leaves, chlorosis (50% of pigment loss), necrosis (50% of dead tissue) and rupture of colonies. As result, for chlorpyrifos, four sub lethal effects were found in the following sequence, in order of decreasing ecotoxicity: breakdown of colonies, formation of new leaves, chlorosis and necrosis.

While studying the distribution of non-ionized chemicals in barley plants hydroponically cultivated, through the monitoring of sampling by the roots from a solution, Briggs et al. (1983) found that the concentrations of the ortometilcarbamoiloximas and the phenylureas replaced on the basement and central sections of the plant reach steady state between 24 and 48 h and that the concentrations of pesticides in leaves increased from 72 to 96 h.

Hsu et al. (1990) studied the root samples and the transport of Cinmetilina and compounds associated with xylem in soybean plants hydroponically cultivated and cut above the neck, using the technique of the pressure chamber. These authors found a non-linear relationship between partition coefficient octanol-water (KOW) of substances and the concentration factor in the flow of perspiration at the base of the stem (TSCF). The highest values of the TSCF ranged from 0.6 to 0.8 and corresponded to the compounds with values of log KOW between 2.5 and 3.5.

This research was carried out with the purpose of giving answer to the following question: does chlorpyrifos bio-concentrate in the tissues of roots and foliage of C. clandestinus, under hydroponic conditions? Also, it was carried out to refute or endorse the following hypothesis: “If chlorpyrifos can be taken through the roots and transported from there through the vascular system to the foliage of C. clandestinus, then, it is possible to detect the presence of this substance in significant concentrations in the root and the foliage.” The objective of this work was to establish the potential for bioaccumulation in the root and the foliage of C. clandestinus, cultivated hydroponically.

MATERIALS AND METHODS

Study area

The municipality of San Pedro de Los Milagros, with an area of 229 km2, located in the Sub-region of North Highlands, 6°27'19'' North latitude and 75°37'40'' of Western length in the Department of Antioquia (Colombia), has an average height above the sea of 2475 m and an average temperature of 14 °C (Gobernación de Antioquia, 2002).

The cespedones of grass C. clandestinus for experimentation were taken from La Montaña farm, property of the University of Antioquia and located in the municipality of San Pedro de Los Milagros, sidewalk Monte Redondo. In this farm, a specialized dairy operates. They work with Holstein cattle, pure and Blanco Orejinegro x Holstein. The annual average rainfall is 2500 mm, the altitude is 2360 m, the average temperature is 16 °C, in an area of low life mountainous rain forest (Bhmp). It has an area of 33 ha, of which 28 ha are established with Kikuyu grass pastures (C. clandestinus), on a flat relief or topography slightly undulating with loose natural drainage. These cespedones were obtained from a pasture in which pesticide has not been applied for 12 years for the control of scenic collaria and regularly treated with organic fertilizer.

Test for bio-concentration

In order to establish the kinetics of the process of absorption - bio-concentration of chlorpyrifos in the C. clandestinus- the monitoring of the concentration of chlorpyrifos in foliage and root tissues was carried out during 72 h of exposure to the nutrient solution with 96, 192 and 288 mg L-1 of chlorpyrifos. Tissue samples were made at 4, 24, 48 and 72 h.

Experimental design

In this study, a split-plot design was used. This design was applicable to experimental conditions where the assignment of treatments of a factor to main plots arranged in a completely randomized design is involved. In addition, the company introduced the time as an additional factor. The main plots correspond to a group of plastic trays with hydroponic cultivation of Kikuyu (C. clandestinus). The Lorsban was applied to each nutrient solution culture only once. This substance is a broad-spectrum organophosphorus insecticide with a chlorpyrifos concentration of 44.50%. From each group of trays, one was retired at 4, 24, 48 and 72 h (Figure 2). For each of the treatments, 3 vessels were available with 20 groups of plants developed from cespedones.

Experimental test design of chlorpyrifos accumulation in plants of the Kikuyo (C. clandestinus).

Figure 2: Experimental test design of chlorpyrifos accumulation in plants of the Kikuyo (C. clandestinus).

Field work

The cespedones of grass C. clandestinus, of similar size and weight, were planted in plastic containers of 0.60 m long, a 0.40 m wide and 0.15 m deep, covered up, internally, with aluminum foil. In vessels, substrate quartz grit, previously washed, was used. The nutrients were applied periodically in a specific nutrient solution for hydroponics. The environmental conditions in the greenhouse (Figure 3), during the 60 days of cultivation, were similar to the characteristic temperature of the North zone of the Department of Antioquia (16 ± 2 °C) and a photoperiod of 12 h.

The hydroponic greenhouse.

Figure 3: The hydroponic greenhouse.

The application of the pesticide was calculated from the dosage recommended by the house producer (400 cm3 ha-1). The treatments were defined with Lorsban, corresponding to concentrations of nutrient solutions of cultivation of 200, 400 and 600 cm3 ha-1 and a non-pesticide control. In this way, it was possible to work with the recommended dose (400 cm3 ha-1), a lower dose (200 cm3 ha-1) and upper one (600 cm3 ha-1). Treatment number 1 (Lorsban 4 EC 200 cm3 ha-1) corresponded to a concentration of the nutrient solution of 96 mg L-1 of chlorpyrifos, the number 2 to a concentration of the nutrient solution of 192 mg L-1 and the number 3 to a concentration of the nutrient solution of 288 mg L-1 of chlorpyrifos.

Sampling

Samples for the assessment of concentrations of chlorpyrifos in the foliage were taken under the abduction unit system (tray with hydroponic cultivation of grass) sampling without replacement of the solution. For the analysis of chlorpyrifos in foliage samples were extracted at 4, 24, 48 and 72 h after the application of chlorpyrifos to the nutrient solution, with three replicates per treatment and per sampling frequency. The cespedones, in each deck, received the following procedure:

Cutting the foliage and storage in glass containers previously washed with soap and chromo solution.

Separation of the cespedon and the grit attached to the roots.

Sampling of root and storage in containers washed with soap and solutions.

Chemical analysis and chromatographic

The wet weight of the foliage and roots was determined for each sample of plants. From each sample, at least three replicas were analyzed, a rich sample of each array, soil, foliage, root or water of known concentration subject to the same procedure, with calibration curve for each assay. The final result was reported with statistical values using the t Student tabbed for n-1 degrees of freedom and a confidence level of 95.

Removal of chlorpyrifos of foliage and grass root used the MI 48640 method proposed by Dow Chemical (NTIS, 1987) with a sensitivity of 0.01 ppm. Acetonitrile was used for the initial extraction and for the final extraction acetone and hexane were used. The sample was homogenized in a food processor and then, it was extracted with ethyl acetate using ultrasound and a sonic disruptor, filtered or strained through a column of anhydrous sodium sulfate to remove excess water, the removal procedure was performed twice. Subsequently, the sample focused on the rotary evaporator. The concentrated sample is reconstituted quantitatively with ethyl acetate to be read in the gas chromatograph Hewlett Packard model 1800A, with auto sampler and mass detector.

With the information obtained, curves of bioaccumulation of chlorpyrifos for each treatment were developed. In addition, it was possible to search the mathematical model that best represents each treatment, using the Matlab and Stat graphics plus software version 5.1, taking into account the model of a compartment in the case of the root and foliage.

Statistical analysis

The arithmetic mean, median, standard deviation, variance, coefficient of variation and the range were defined according to the results of the concentration of chlorpyrifos in the foliage and the root of grass C. clandestinus.

In order to determine temporal trends of concentration of chlorpyrifos (μg g-1) in foliage and root, graphics were constructed to link these two variables with the time in h. This same procedure was applied to the variable mass per unit area.

An analysis of non-parametric variance corresponding to the Kruskal Wallis test was performed to compare the bio-concentration of chlorpyrifos between arrays. Stat graphics plus, version 5.1 package was used for statistical analyses.

RESULTS AND DISCUSSION

Although, chlorpyrifos is classified as a non-systemic product, it was detected in the tissues of root and foliage (stem and root), being higher for the root. It is possible to observe the results corresponding to the concentration of chlorpyrifos in the two tissues of the grass, the concentrations of chlorpyrifos in the solution of cultivation, the sampling time and each repetition.

According to Marquez (2001), the concentration of chlorpyrifos in the foliage of plants of grass C. clandestinus cultivated in bag increased after a single application of the pesticide until day 35. Putnam et al. (2003) studied the persistence, distribution and degradation of chlorpyrifos in a commercial cultivation of blueberry developed in wetland and it was detected in the fruit harvested (62 d after application), but no metabolites were found.

It was evident that chlorpyrifos is a systemic compound and that is transported through the vascular system of plants in grass C. clandestinus in hydroponic cultivation, from the root to the foliage. Also, it showed bioaccumulation in tissue of the root and foliage grass C. clandestinus in hydroponic cultivation. Bioaccumulation of chlorpyrifos was higher in the root than in the foliage. This behavior was equal to the observed by Sashwati and Osmo (1994) the aquatic macrophyte Eichhornia crassipes, aquatic plant used for wastewater treatment. The accumulation in the roots and the leaves was higher during the first 12 h of exposure and then, it decreased gradually. Also, it was possible to find a higher bio-concentration in roots than in leaves (Bernal, 1991).

In Table 2 are the averages of the results of the bio-concentration of chlorpyrifos in the root of grass C. clandestinus. In all the treatments and the sampling periods, chlorpyrifos in the root was detected. It was possible to register an increase in concentrations over time exposure. In addition, a tendency to increase the concentration of the pesticide in the root is evident to increase the concentration in the nutrient solution.

Table 2: Concentration of chlorpyrifos in root of the hydroponic cultivation of C. clandestinus.

The following results were obtained from the statistical analysis (Table 3): in this case, the value of the standardized coefficient of asymmetry and the standardized coefficient of Kurtosis are within the expected range for the data of a normal distribution, a median of 9337 µg g-1, a variance of 106.885 and a range of 46.237 µg g-1, with a minimum of 1.38. The p-value of the non-parametric estimator of Kruskal-Wallis test (F) was less than 0.055, indicating no statistically significant differences between the concentrations of chlorpyrifos in the root at different doses.

Table 3: Statistical values of central tendency and variation for the concentration of chlorpyrifos in root.

Within the analysis of variance components, it was possible to find that the factor that contributes to the maximum variance is the exposure time, its contribution represents 63.848 of the total variation in the concentration of chlorpyrifos in the tissue root and the application rate represents the 36.15.

Model of the absorption of chlorpyrifos in root

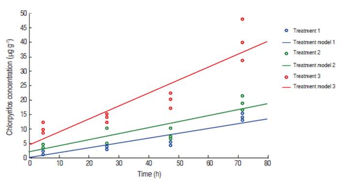
Mathematical models obtained for the absorption of chlorpyrifos in the tissue root taking into account as factors, the concentration of chlorpyrifos in the nutrient solution, sampling time subsequent to the application of pesticide and its respective replays and statistical validation are as follows (Figure 4).

Mathematical models of the absorption of chlorpyrifos in root.

Figure 4: Mathematical models of the absorption of chlorpyrifos in root.

The regression analysis shows the results of the adjustment to the linear model (Table 4), to describe the relationship between the concentration of chlorpyrifos in soil (Cs) of the crop in the bag and time (t) in days after the application, to different doses applied, as well as the confidence level obtained from the value of the p from the ANOVA which was 99 for all doses. The R2 that indicates the percentage in which the model explain the variability of Cs fluctuated between 79.67 and 86.05, the correlation coefficient between variables that was in the range of 0.8525 to 0.9391 standard error which was less than 0.4287 in all cases.

Table 4: Mathematical models of bio-concentration of chlorpyrifos in root.

In Eichhornia crassipes, Sashwati and Osmo (1994) found that the chemical compound was transported to the leaves through the conductive tissues and that the xenobiotic is accumulated, but at a lower rate in the roots. In order to study the transport of not ionized chemicals from the root to the leaves in a hydroponic growing of barley, Briggs et al. (1983) found that the concentrations of several pesticides in the basal and central sections of plants become constant from the 24 to the 48 h and concentrations in leaves increased from 72 to 96 h. In this study, the chlorpyrifos showed a trend to stabilize in the foliage of the C. clandestinus 48 h after the pesticide was applied.

Table 5 shows the results chlorpyrifos averages in foliage grass C. clandestinus hydroponically cultivated under greenhouse. In all treatments and periods of exposure, the presence of chlorpyrifos in the foliage of the grass was detected. During the treatments, an increase in concentrations of the insecticide over time exposure was registered . In addition, it was possible to observe a tendency to increase the concentration of the pesticide in the foliage by increasing the concentration of the same in the nutrient solution. The following results were obtained from statistical analysis (Table 6).

Table 5: Bio-concentration of chlorpyrifos in foliage of the hydroponic cultivation of C. clandestinus.

Table 6: Statistical values of central tendency and variation for the concentration of chlorpyrifos in foliage.

In this case, the value of the standardized coefficient of asymmetry and the standardized coefficient of Kurtosis are within the expected range for the data of a normal distribution, a median of 0.387 µg g-1, a variance of 0.099 and a range of 1.18 µg g-1, with a minimum of 0.97.

The p-value of the estimator non-parametric Kruskal-Wallis test (F) was less than 0.05, indicating no statistically significant differences between the concentrations of chlorpyrifos in the foliage at different doses.

Within the analysis of the components of variance, it was possible to find that the factor that contributes to the maximum variance is the exposure time. Its contribution represents 85.74 of total variation in the concentration of chlorpyrifos in the foliage and the application rate represents the 14.26.

Model of the absorption of chlorpyrifos in foliage

The mathematical models obtained for the absorption of chlorpyrifos in the tissues that make up the foliage taking into account, as factors, the concentration of chlorpyrifos in the nutrient solution, sampling time subsequent to the application of pesticide and its respective replays and statistical validation, are as follows (Figure 5).

Mathematical models of the absorption of chlorpyrifos in foliage of C. clandestinus.

Figure 5: Mathematical models of the absorption of chlorpyrifos in foliage of C. clandestinus.

The regression analysis shows the results of the adjustment to the linear model (Table 7), to describe the relationship between the concentration of chlorpyrifos in soil (Cs) of the crop in the bag and time (t) in days after the application, to different doses applied, as well as the confidence level obtained from the value of p of the ANOVA which was 99 for all doses. The R2 that indicates the percentage in which the model explain the variability of Cs fluctuated between 81.47 and 91.62. The correlation coefficient between variables was in the range of 0.9026 to 0.95.72 and the standard error was minor than 0.1535 in all cases.

Table 7: Mathematical models of bio-concentration of chlorpyrifos in foliage C. clandestinus.

With the highest application of insecticide, an increase of concentration in plant tissue of grass C. clandestinus with a higher level of exposure was found. Lower chlorpyrifos concentrations were reported in the foliage of grass C. clandestinus. Stabilization in the concentrations at 48 h after application, coincides with what was reported by Sashwati and Osmo (1994) since, during the initial phase of the xenobiotic sampling, the plant is fast and reaches a nearly steady state after 24 to 48 h of exposure to the xenobiotic. However, Briggs et al. (1983) argue that they need between 72 and 96 h for the xenobiotic concentrations increase in the leaves.

Analyzing the trends of the graphs of the concentrations of the product on the foliage, it is possible to demonstrate and prove the issues pointed out by Briggs et al. (1983) when they say that any compound that reaches the stem and moves in the flow of perspiration without losses, will accumulate in sites of increased perspiration. This is normal in mature leaves.

With the purpose of analyzing the behavior of the bio-concentration of chlorpyrifos in the tissues of the root and foliage grass C. clandestinus, a non-parametric Kruskal-Wallis one-way variance analysis was made. Since the p-value of the F test of analysis of variance is less than 0.05, it is concluded that there is statistically significant difference between the concentrations of chlorpyrifos in the two arrays, root and foliage, with a level of confidence of 95 (Figure 6).

Difference in the concentrations of chlorpyrifos in matrices root and foliage of C. clandestinus.

Figure 6: Difference in the concentrations of chlorpyrifos in matrices root and foliage of C. clandestinus.

The percentage of chlorpyrifos accumulation in foliage with respect to accumulation in the root is the 4.23 to the maximum concentration of the pesticide treatment and greater exposure time.

CONCLUSIONS

The chlorpyrifos samples by grass C. clandestinus is the first stage for bioaccumulation in the food chain, but it is important to understand first the effects of mechanisms of metabolism in plant tissue, since these chemicals can produce secondary metabolites which in some cases can be more or less dangerous than the original; and the mechanisms of elimination, having clarity in this aspect, it is possible to program the time of natural degradation of chlorpyrifos in the grass required for these processes and the age for the consumption of the grass by cattle.

As conclusion of this investigation, it is highlighted the fact that the chlorpyrifos is a systemic product, which is transported through the vascular system of the grass C. clandestinus and is bio-concentrated in the tissues of the plant, with greater emphasis on the root. Bio-concentration in C. clandestinus hydroponically cultivated was 39.4 µg g-1 to the root and 1.1 µg g-1 for foliage. Therefore, the use of this insecticide on livestock systems of high tropical represents a risk for the cattle and other members of the dairy food chain and therefore, the development of agro-ecological farming systems in which chemicals are not used for pest control is indispensable, and instead, an agroecological management was developed for them.

REFERENCES

  1. Altieri M y Nicholls C. 2007. Conversión agroecológica de sistemas convencionales de producción: teoría, estrategias y evaluación. Ecosistemas 16(1): 3-12. 🠔
  2. Briggs G, Bromilow R, Evans A and Williams M. 1983. Relationship between lipophilicity and the distribution of non-ionized chemicals in barley shoots. Pesticide Science 14(1): 492-500. doi: 10.1002/ps.2780140506. [DOI] 🠔
  3. Castelli M, Volpogni M, Mangold A, Bertello C y Guglielmone A. 2007. Concentración letal 50 de clorpirifos para poblaciones de Haematobia irritans (Diptera: Muscidae) susceptibles a los insecticidas organofosforados. FAVE - Ciencias Veterinarias 6(1-2): 1-4. 🠔
  4. European Commission Health and Consumer Protection Directorate-General. 2005. Review report for active substance Chlorpyrifos. SANCO/3059/99-rev 1.5. 70 p. 🠔
  5. Gobernación de Antioquia Departamento Administrativo de Planeación. 2002. Informe preliminar perfil subregión norte de Antioquia. Medellín.115 p. 🠔
  6. Hoyos V, Sánchez Z y Chalarca P. 2006. Caracterización predios ganaderos 2006 - municipio de San Pedro de Los Milagros. Universidad de Antioquia, Medellín. 32 p. 🠔
  7. Hsu F, Marxmiller R and Yang A. 1990. Study of root uptake and xylem translocation of Cinmthylin and related compounds in soybean roots. Plant Physiology 93(1): 1573-1578. 🠔
  8. Iannacone J, Alvariño L, Caballero C y Sánchez J. 2000. Cuatro ensayos ecotoxicológicos para evaluar lindano y clorpirifos. Gayana 64(2): 1-13. doi: 10.4067/S0717-65382000000200003 [DOI] 🠔
  9. Márquez S. 2001. Evaluación de algunos efectos de la aplicación de Lorsban (Clorpirifos) en un suelo y un cultivo de kikuyo (Pennisetum clandestinum Hochst ex Chiov.), en el norte antioqueño. Tesis de Maestría en Ingeniería Ambiental. Facultad de Ingeniería. Universidad de Antioquia, Medellín . 144 p. 🠔
  10. Márquez S. 2011. Sistema suelo-planta-pesticida. Documento ascenso profesor titularUniversidad de Antioquia, Medellín , Colombia. 141 p. 🠔
  11. Palacio B. 2007. Ecotoxicología acuática. Universidad de Antioquia, Medellín . 437 p. 🠔
  12. Paraíba L and Kataguiri K. 2008. Model approach for estimating potato pesticide bio-concentration factor. Chemosphere 73(1): 1247-1252. doi: 10.1016/j.chemosphere.2008.07.026. [DOI] 🠔
  13. Putnam R, Judd O and Marshall J. 2003. The persistence and degradation of chlorothalonil and chlorpyrifos in a cranberry bog. Journal of Agricultural and Food Chemistry 51(1): 170-176. doi: 10.1021/jf020744r [DOI] 🠔
  14. Quirós J, Arevalo M, Lopera H, Loaiza A, Suarez L. 1997. Estudio descriptivo de los factores relacionados con el desarrollo del arreglo cerdos - pastos - leche, como sistema de producción en el altiplano norte de Antioquia. Corporación Colombiana de Investigación Agropecuaria. Boletín de Investigación No. 6. Medellín. 96 p. 🠔
  15. Robles G, Ríos L, Galíndez M, Caffarel M, Barrera C, Esparza G y Poggi V. 2006. Comportamiento adsortivo-desortivo del Lindano en un suelo agrícola. Interciencia 31(4): 305-308. 🠔
  16. Royal Society of Chemistry. 1987. Chlorpyrifos, Chemical Fact Sheet. London, United Kingdom. 2 p. 🠔
  17. Sashwati R and Osmo H. 1994. Pentachlorophenol: uptake/elimination kinetics and metabolism in an aquatic plant, Eichhornia crassipes. Environmental Toxicology and Chemistry. 13(5): 763 - 773. doi: 10.1002/etc.5620130511 [DOI] 🠔
  18. Tomlin CDS (ed.). 2006. The pesticide manual : a world compendium. 14th edition. British Crop Protection Council, Alton, Hampshire. 1349 p. 🠔
  19. Trapp S and Mc Farlane J. 1995. Plant contamination, modeling and simulation of organic chemical processes. Lewis Publishers, United States of America 254 p. 🠔
  20. Trapp S and Matthies M. 1998. Chemodynamics and environmental modeling. First edition. Springer, Berlín. 285 p. 🠔
  21. Valencia E, Guerrero de Yunda A y Martínez MJ. 2008. Evalución de la adsorción-desorción de 14C carbofurán y furadán 3SC en tres suelos de Cundinamarca (Colombia). Revista Colombiana de Química 37(1): 79-91. 🠔
  22. Zacharia J, Kishimba M and Masahiko H. 2010. Biota uptake of pesticides by selected plant species; the case study of Kilombero sugarcane plantations in Morogoro Region, Tanzania. Pesticide Biochemistry and Physiology 97(1): 71-75. 🠔