Revista Facultad Nacional de Agronomía, Medellín
0304-2847
Facultad de Ciencias Agrarias - Universidad Nacional de Colombia
https://doi.org/10.15446/rfna.v71n1.65827

Recibido: 21 de junio de 2017; Aceptado: 11 de noviembre de 2017

Repeatability for yield total solids in a segregating population of rubber (Hevea brasiliensis) in Colombia

Repetibilidad del rendimiento de sólidos totales en una población segregante de caucho (Hevea brasiliensis) en Colombia

D. Monsalve García, 1J. Cotes Torres, 2A. Navas Arboleda, 3O. Córdoba Gaona, 1

Corporación Colombiana de Investigación Agropecuaria - Corpoica. C.I. El Nus. Vereda La Ica, San Roque, Colombia. <dmonsalveg@corpoica.org.co> Corporación Colombiana de Investigación Agropecuaria San Roque Colombia
Facultad de Ciencias Agrarias. Universidad Nacional de Colombia. A.A. 1779, Medellín, Colombia. Universidad Nacional de Colombia Facultad de Ciencias Agrarias Universidad Nacional de Colombia Medellín Colombia
Corporación Colombiana de Investigación Agropecuaria - Corpoica. C.l. La Selva. A.A. 100. Rionegro, Colombia. Corporación Colombiana de Investigación Agropecuaria Rionegro Colombia

ABSTRACT

Rubber (Hevea brasiliensis) is a specie of late yield performance. This makes breeding programs long-term and the decisions taken are based in the base population genetic parameters. The aim of this research was to determinate a genetic potential of a rubber segregating population through the use of repeatability as a parameter, in order to make decisions to start a breeding program, with the purpose of increasing the total solids. In addition, to describe the target population and to explore the relation between total solids yield and climate variables. This research was carried out in a segregating population with 3395 trees in 12,000 m2 divided into nine plots located in the research center El Nus of Corpoica. Ten evaluations of total solids were recorded in the period between October 2014 and September 2016. The repeatability of total solids was determined from estimation of individual and temporal environments variance using the Bayesian approach. Descriptive statistics for the total solid mean were used per plot and the correlation between total solids and climate variables were obtained. The repeatability estimate value was among 0.64 and 0.66. The plots had a total solids variation coefficient among 64.76 and 86.51%. Total solids and cumulate photosynthetic active radiation had a direct correlation (0.25) for 15 and 30 days prior period, while mean relative humidity had an inverse correlation of -0.44 and -0.42 with total solid in the same periods. There is a good probability that for this population the total solid can be inherited in a high proportion.

Keywords:

Heritability, Intra-class correlation coefficient, Total solids, Genetic parameters.

RESUMEN

El caucho (Hevea brasiliensis) es una especie de tardío rendimiento. Esto hace que los programas de mejoramiento sean a largo plazo y que los parámetros genéticos de la población base sean importantes para tomar decisiones. El objetivo de esta investigación fue determinar el potencial genético de una población segregante de caucho, mediante la repetibilidad como parámetro para tomar decisiones e iniciar un programa de mejoramiento, que busca el incremento de sólidos totales; además, describir la población de estudio y explorar la relación de la producción de sólidos totales con el clima. Esta investigación fue realizada en una plantación franca de caucho con 3395 árboles en 12.000 m2 y dividida en nueve sublotes, la cual está localizada en el centro de investigación El Nus de Corpoica. Fueron realizadas 10 evaluaciones de sólidos totales en el periodo entre octubre 2014 y septiembre 2016. La repetibilidad de los sólidos totales fue determinada a partir de la estimación de las varianzas de ambiente temporal y permanente usando un enfoque bayesiano. Se usó estadística descriptiva para la media de sólidos totales por sublote y fue explorada su relación con las variables climáticas. La repetibilidad estimada estuvo entre 0,64 y 0,66. Los sublotes presentaron un coeficiente de variación entre 64,76 y 86,51%. Sólidos totales tuvo una correlación con la radiación fotosintéticamente activa de 0,25 para los periodos anteriores a los 15 y 30 días, mientras que tuvo una correlación de - 0,44 y -0,46 para los mismos periodos. Hay una buena probabilidad de que sólidos totales tenga una alta heredabilidad.

Palabras clave:

Heredabilidad, Coeficiente de correlación intraclase, Sólidos totales, Parámetros genéticos.

Natural rubber (Hevea brasiliensis (Will. ex A. Juss.) Müll. Arg.) is a species of late yield. Production starts between 5 to 7 years after planting (Rodrigo, 2007) and reaches its stability yield between 10 and 12 years. This means that the breeding programs are a long term and the decisions taken prior to the beginning of the programs must be based on reliable information. Then, it is necessary to know the characteristics of the breeding base population and the environmental interaction with the target area for production. This population description should give us a global idea of the framework in which their individuals perform, which is fundamental to define and delimit their performances, even before the identification of superior individuals in the population.

For genetic improvement in plants, it is important to estimate attributes of a base population such as its effective size, level of variability (Falconer and Mackay, 1996), the phenotypic values of the majority of individuals and the proportion of better and worst individuals according to the objectives of improvement. In the case of yield as the main objective, it is valuable to have both individuals and population records of this variable.

One of the main genetic parameters to estimate the genetic gain of a character is the heritability (h 2). Its estimation depends if the breeding population has knowledge of both parentals and offspring, whereby to estimate this parameter in the first stages of breeding programs of rubber is not possible. Repeatability or intra-class correlation coefficient (r) is the maximum value that the heritability can reach and it is valuable parameter to approach to broad-sense heritability (h 2) (Falconer and Mackay, 1996; Cruz et al., 2004; Cruz and Regazzi, 2001); hereby r is considered an important tool to know the potential of a character to inherit. The interesting aspect about this genetic parameter is that the equation, which determines it (σ2 g σ2 PE ) / σ2 P ) resembles that of broad-sense heritability equation (σ2 g / σ2 P ), therefore, it is possible to say that if coefficient is high, the heritability in the broad sense is likely to be high too. However, it will not be possible to obtain the h 2 value from r, because the genetic variance of the last parameter will always be linked to the variance of the permanent environmental. In the absence of offspring or ancestry, r is the best information that can be counted (Falconer and Mackay, 1996).

Repeatability is a parameter that allows predicting in a practical way the performance of a population trait in the future, that is, to know if the genotypes of a population are constantly good in the time (Cruz et al., 2004), as long as there are multiple measurements of each individual in time if r is high, it means that the genes that participate in the character of interest (for example total solids), will also do in the future (Falconer and Mackay, 1996). This parameter has been used for this purpose in many permanent crops breeding programs like Coffea arabica L. (Mistro et al., 2008), Theobroma cacao L. (Oliva et al., 2014; Dias dos Santos and Kageyama, 1998), Bactris gasipaes Kunth. (Padilha et al., 2001) and some forestry species, because of the low costs and the valuable information that it gives for making decisions. In H. brasiliensis repeatability of yield has been considered as a useful parameter to approach to the genetic value of the rubber plantation (Verardi et al., 2012; Peres et al., 2014). In this study Total Solids (TS - it means dry rubber plus other molecules, like proteins and ashes) was used like yield variable, this character is of a polygenic nature (Priyadarshan, 2011).

The aim of this research was to determine a genetic potential base population through the use of repeatability of total solids (TS) as a population parameter in a Colombian segregating population, in order to make decisions for start a breeding program, with the purpose of increasing the yield; in addition, to describe the target population and to explore the relation between total solid yield and some climate variables.

MATERIALS AND METHODS

Location

The experimental plantation was a segregating population of natural rubber trees (H. brasiliensis) located at El Nus Agricultural Research Center of Corpoica with flat coordinates 716,523.239 North and 518,820.343 East, an altitude of 842.8 m, which is in Tropical humid forest (Holdridge, 1947), with the following climatic characteristics during the evaluation period (September 2014 to September 2016): average temperature of 24.12 °C, average relative humidity of 86.16%, accumulated precipitation of 3674 mm and an average cumulative radiation of 159,856 watts m-2. This plantation is 17 years old and has 3395 individual, each of which was georeferenced with a Trimble® GeoXT sub-metric GPS. Its seeds came from the Colombian Paraguaicito Experimental Station of the Center for Research in Coffee, where, there are a polyclonal plantation with South American clones FX3864, IAN710 and IAN873 and Asian clones RRIM703, RRIC110, PR228, RRIC102, SMR20, SGR20 (Lopez, 1998).

Latex measurement and determination of total solids

During the period from September 2014 to September 2016, ten latex evaluation were made to all individuals in the plantation (3395 trees), by harvesting latex. In order to determine the total solids (TS) (rubber molecules with proteins and ash included), a sample of latex with unknown volume was taken. These containers were labeled with the consecutive of tree identification and then these were carried lab and were storaged in aluminum containers (with the previously measured weight in an Ohaus® analytical balance - fresh weight), them the samples were dried in a Mermmet® oven at a temperature of 60 °C for 24 hours, that was the time in which samples reach a constant weight; then the dry weight was registered was the time in Equation 1 was applied to determine total solids content (TSC).

Where, (DW) ij was the dry weight of tree “i” of evaluation “j”, (TW) ij indicates the tare weight of tree “i” of evaluation “j” and (FW) ij was the fresh weight in the same tree and evaluation.

From this, the amount of TS was determined by Equation 2.

where for (1) and (2),

i = { 1,3, ... ,3395}

j = { 1,2, ... ,10}

(L) ij indicates the amount of latex to the tree “i” of the evaluation “j”, while TCS ij corresponds to the proportion of total solids of tree “i” of evaluation “j”. These records were consolidated in a database with both the identification and coordinates.

To study the total solids (TS) variable a random model was used (Equation 3):

i = {1,2, ... , 3395}

j = {1,2, ... ,10}

Where Y ij is the phenotypic expression of total solids (TS), µ is overall mean, τi is the random effect of genotype “i” (genetic effect linked to permanent environmental effect), and e ij is the random error of genotype “i” in the evaluation “j” (temporal environmental effect). To estimate the parameters of tree variance among evaluations ( σ2τ ), and temporal environmental variance ( σ2e ), the bayesian approach was used by Markov chains in Monte Carlo simulation (MCMC). Thus, a chain with 1.005x106 were generated, and one of each ten samples was taken to estimate the parameters. The burn-in period was of 5x103 samples, obtaining an effective length chain of 1x105. The MCMCglmm package (Hadfield, 2016) in R environment was used. Median and mean of each parameter from the join posterior distribution was obtained as Bayes estimate. Repeatability was estimated use (Equation 4).

where, r is the repeatability of total solids, ( σ2τ ) is genetic variance linked to permanent environmental variance ( σ2g + σ2PE ) and ( σ2e ) is the temporal environmental variance (σ2P ) (Cruz et al., 2004).

Description of study population

Descriptive statistic per plot, considering the total solids (TS) variable. The statistics obtain were: a number of plants, the minimum value, quartile one (Q1), median, quartile two (Q2), the maximum value (Max), mean, standard deviation (SD), the coefficient of variation (CV). This information was represented in a boxplot.

Relationship between total solids and climate variables

For the correlation analysis two periods of time were defined. Thus 15 and 30 days before of each evaluation were considered to summarize the climatic variable as follows: a) average between each period of temperature (Tm in °C), relative humidity (RHm in %) and b) cumulate values between each period of rainfall (RNFc in mm), photosynthetic active radiation (PARc in µmoles [photons] m-2s-1) and degree days (DDc). For DDc can be used the Equation 5.

where, Y max and Y min are the maximum and minimum temperature in the interval of time and h is the number of evaluation realized in a day. The base temperature (I i) was 19 °C (Filho et al., 1997). The correlation between TS and climate variables was estimated using a Pearson correlation method (Neyman and Pearson, 1928) and the confidence intervals to the 95% were found.

RESULTS AND DISCUSSION

Repeatability estimation

This research found a repeatability values between 0.64 and 0.66 for the population (Table 1). This information is useful to know in the first instance, whether a population is of interest or not, to rubber breeding program according to the character to be improved.

Table 1: Intraclass correlation coefficient and variance components for total solids yield in a segregating plantation of H. brasiliensis in CI El Nus of Corpoica.

Besides, total solids yield should be considered a character with low heritability because is a quantitative character controlled by polygenes, since, several physiological processes are involved in it (sucrose partition, uptake of sucrose by lacticifers cells, ethylene metabolism regulation), and influenced by enviroment (Priyadarshan, 2011). The target population presented a high repeatability which makes likely a high heritability for this character. The first development clones (with high yields) were empirically crossed, under the assumption that the best clones in production were also good parents and with these were reached a breakthrough in breeding programs (Priyadarshan et al., 2009; Saha and Priyadarshan, 2012). Simmonds (1979) and Tan (1977) reported that the vigor and yield variables are highly additive. For example, Furlani et al. (2005) found that the girth trait and plant height had high values of heritability (0.48 and 0.51) and Costa et al. (2000) have found heritability values for bark thickness between 0.30 and 0.51, girth between 0.32 and 0.36 and rubber production between 0.11 to 0.61 in different Brazilian rubber populations.

A few authors have found high repeatability values for the mean of total solids in rubber populations. Peres et al. (2014), found a mean value of h2 of 0.31 and Verardi et al. (2012) estimated a mean value of 0.41 for total solids, and for this studies these authors found high repeatability values, 0.84 (Peres et al., 2014) and 0.64 (Verardi et al., 2012). This information is useful for breeding programs that do not the necessary antiqueness to estimate h 2 as the main parameter. It is the case of Aguiar et al. (2006) who found for the South American clones of the IAC300 series r values for total solids variable between 0.39 and 0.52; these values are consider high according to the authors. It is also the situation for the present investigation, in which similar r values for total solids were found with respect to those reported in the literature (among 0.64 and 0.66).

Finally, it is worth mentioning that although the genetic parameters depend on each population, the r values were high and comparable with those reported in the literature. This means that it is likely that the total solids character in the study population could be inherited to the next generation with a high proportion. That is, individuals who are identified as superior should be a good parents.

Description of study population

The total solids (TS) variable had an asymmetric distribution with a right tail (Figure 1). The minimum value was 2.16 g, while the maximum value was 464.9 g. The majority of the population was near to a value of 47.17 g. Asymmetric distribution was reported by Priyadarshan (2011) for the latex yield in a polyclonal plantation. The Fedecafe’s rubber polyclonal plantation, which is the parental population shows a yield average for South American clones of 3.13 kg year-1 per tree and 5.00 kg year-1 per tree for Asian clones (Lopez, 1998) and the target population got a mean value of 5.78 kg year-1 per tree. Thus, our results are higher than the parent population, can be explain by a phenomenon of heterosis and/or by a likely better environment in the target population.

Histogram of total solids variable in a segregating plantation of H. brasiliensis from Corpoica CI El Nus.

Figure 1: Histogram of total solids variable in a segregating plantation of H. brasiliensis from Corpoica CI El Nus.

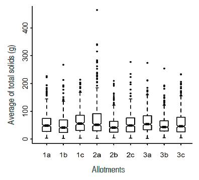
The boxplot representation (Figure 2), describes the variation of total solids per plot. The median and the first quartile of all plots were similar, however, the third quartile and the maximum value were different per plot. The plot with the greatest number of individual with high performance were 2a, 1c, 3a and 3c. The greatest yield tree was found in the allotment 2a. In this place, there was also the greatest variation of total solids because of the atypical point found (464.9 g). In the plots were found many individuals with poor yield and few of these with high performance. This fact caused that the coefficient of variation (CV) of total solids has been high, in this case between 64.76 and 86.51%. This means that there was phenotypic variability for total solids.

Total solids boxplot by allotment in a segregating plantation of H. brasiliensis from Corpoica CI El Nus.

Figure 2: Total solids boxplot by allotment in a segregating plantation of H. brasiliensis from Corpoica CI El Nus.

Relation between total solids and climatic variables

Total solids and climatic variables correlation in the periods prior to each evaluation of 15 and 30 days had a similar behavior. Total solids and Tm, RNFc, RHm, DDc correlation were low and not significant. However, total solids had a significant and direct association with the variable PARc and, a significant and inverse correlation with RHm for this population (Figures 3 and 4). The PAR to activate the photosynthetic process is closely linked to the sucrose production (Lambers et al., 2008) which is a precursor to the rubber molecule (Venkatachalam et al., 2007). Besides, the total solids and RH relation should be explained because there are a partial closure of stomata, which reduce the entry of CO2, when the water saturation in the environmental is high (Lambers et al., 2008). If the CO2 fixation is affected the sucrose production decrease and finally the rubber production (Venkatachalam et al., 2007; Dusotoit-Coucaud et al., 2009). The vapor pressure is directly associated with the lactiferous vessels that control the latex flow (Jacob et al., 1988). Priyadarshan (2003) found that other climatic factors such as wind speed, minimum temperatures, and evaporation had an inverse relationship with the total solids production, which are related to the vapor pressure deficit in Asian clones.

Total solids and relative humidity Pearson correlation in a segregating plantation of H. brasiliensis from Corpoica CI El Nus; A. Period of 15 days prior to each evaluation; B. Period of 30 days prior to each evaluation.

Figure 3: Total solids and relative humidity Pearson correlation in a segregating plantation of H. brasiliensis from Corpoica CI El Nus; A. Period of 15 days prior to each evaluation; B. Period of 30 days prior to each evaluation.

Total solids and relative humidity Pearson correlation in a segregating plantation of H. brasiliensis from Corpoica CI El Nus. A. Period of 15 days prior to each evaluation; B. Period of 30 days prior to each evaluation.

Figure 4: Total solids and relative humidity Pearson correlation in a segregating plantation of H. brasiliensis from Corpoica CI El Nus. A. Period of 15 days prior to each evaluation; B. Period of 30 days prior to each evaluation.

In addition high relative humidity increase in the incidence and severity of South American Leaf Blight (SALB). Long periods of relative humidity enhance the development of the disease as mentioned by Guyot et al. (2010). This causes severe and consecutive defoliation, which entail a reduction in the latex production and eventually the death of the trees (Furtado et al., 2008; Guyot et al., 2010; Jaimes and Rojas, 2011; Rivano et al., 2012).

Both, the vapor pressure deficit and the increase in the incidence and severity of SALB increased with the high relative humidities which were always higher than 78% and reached mean values of 92%, in the present study. These effects could be complementary for the decrease in the total solids yield. Thus, the climatie variables PARc and RHm affect total solids yield over time. This means that there is an effect of temporal variation environment that contributes to the dynamics of the rubber production in the target population.

CONCLUSIONS

The estimate values to r for the study population are promising. There is a probability that for this population the total solid character can be inherited in a high proportion of a next generation.

A low proportion of individuals of segregating H. brasiliensis plantation had the high total solid yield. On the other hand, there is a high variability of total solids variable for the population evaluated.

PAR and RH had a direct and inverse relationship with the total solids yield respectively. This means that there is a temporary environment effect on the yield of trees in the study plantation.

ACKNOWLEDGMENTS

The authors want to express their gratitude to Universidad Nacional de Colombia - Medellín campus and to Corporación Colombiana de Investigación Agropecuaria (Corpoica), for contributing the formation of useful human talent in the development in the current study; and to Government of Antioquia for its financial support through the project “Improvement of productivity for the development and increase in competitiveness in the chain of natural rubber, through an applied research and innovation program in the department of Antioquia” through the cooperation agreement 46000001081 of the SGR Antioquia 2013. In the same way to institutions: Eafit University, SENA, University of Antioquia and ASCABIA and ASCULTICAUCHO producers associations which were part of this project.

REFERENCES

  1. Aguiar A, Gonçalves P, Junior E, Silva J. 2006. Repeatability of yield and girth growth traits in rubber tree clones series IAC 300. Crop Breeding and Applied Biotechnology 6: 290-294. doi: 10.12702/1984-7033.v06n04a06 [DOI] 🠔
  2. Costa R, Resende M, Araujo A, Gonçalves P, Martins A. 2000. Genotype-environment interaction and the number of test sites for the genetic improvement of rubber tres (Hevea) in São Paulo State, Brazil. Genetics and Molecular Biology 23(1): 179-187. doi: 10.1590/s1415-47572000000100033 [DOI] 🠔
  3. Cruz C, Regazzi A. 2001. Modelos biométricos aplicados ao melhoramiento genético. Universidad Federal de Viçosa (UFV). 390 p. 🠔
  4. Cruz C, Regazzi A, Souza P. 2004. Modelos biométricos aplicados ao melhoramiento genético . Volumen 1. Terceira Edição. Universidad Federal de Viçosa (UFV). 480 p. 🠔
  5. Dias dos Santos L, Kageyama P. 1998. Repetibilidad y periodo de cosecha mínimo de cacao (Theobroma cacao L.) en el sur de Bahia. Euphytica 102: 29. 🠔
  6. Dusotoit-Coucaud A, Brunel N, Kongsawadworakul P, Viboonjun U, Lacointe A, Julien J, Chretin H, Sark S. 2009. Sucrose importation into lacticifers of Hevea brasiliensis, in relation to ethylene simulation of latex production. Annals of Botany 104(4): 635-647. doi: 10.1093/aob/mcp150 [DOI] 🠔
  7. Falconer D, Mackay T. 1996. Introduction to quantitative genetics. Fourth edition. Prentice Hall, London, England. 464 p. 🠔
  8. Filho J, Villa N, Silveira H. 1997. A model including photoperiod in degree days for estimating Hevea bud growth. International Journal Biometeoroly 41(1): 1-4. doi: 10.1007/s004840050045 [DOI] 🠔
  9. Furtani R, Moraes M, Resende M, Furlani E, Gonçalves P, Filho J. 2005. Estimation of variance components and prediction of breeding values in rubber tree breeding using the REML/BLUP procesdure. Genetic and Molecular Biology 28(2): 271-276. doi: 10.1590/s1415-47572005000200017 [DOI] 🠔
  10. Furtado E, Menten J, Passos J. 2008. Intensidade do mal das Folhas em plantas jóvenes e adultas de seis clones de seringueira na regiao do vale do Ribeira. Tropical Plant Pathology 33(2): 130-137. doi: 10.1590/S1982-56762008000200007 [DOI] 🠔
  11. Guyot J, Condina V, Doaré F, Cilas C, Sache I. 2010. Segmentation applied to weather-disease relationships in South American Leaf Blight of the rubber tree. European Journal of Plant Pathology 126(3): 349-362. doi: 10.1007/s10658-009-9540-1 [DOI] 🠔
  12. Hadfield J. 2016. MCMC Generalised Linear Mixed Models. The MCMCglmm R Package. Version 2.24. 13p. 🠔
  13. Holdridge L. 1947. Determination of world plant formations from simple climatic data. Deparment of Botany. University of Michigan, Ann Arbor. In The Laboratory. Science 45(2727): 367-368. 🠔
  14. Jacob J, Prévôt J, Eschbach J, Lacrotte R, Serres E, Clément-Vidal A. 1988 Metabolism of laticiferous cell and yield of Hevea brasiliensis. In: Jacob JL. and Prévôt JC (eds.). Compte-rendu du Colloque Exploitation-Physiologie et Amélioration de l’Hevea: Colloque International IRRDB Hevea 88, 2-7 November 1988, Paris. IRCA-CIRAD, Montpellier, France, p. 217-230. 🠔
  15. Jaimes Y and Rojas J. 2011. Enfermedades foliares del caucho (Hevea brasiliensis Muell. Arg.) establecido en un campo clonal ubicado en el Magdalena Medio Santandereano (Colombia). Corpoica Ciencia y Tecnología Agropecuaria 12(1): 65-76. doi: 10.21930/rcta.vol12_num1_art:216 [DOI] 🠔
  16. Lambers H, Chapin III F, Pons T. 2008. Plant physiological Ecology. Second edition. Springer, New York, United States. 623p. 🠔
  17. López J. 1998. Comportamiento de caucho (Hevea brasiliensis) en la zona cafetera colombiana. Avances Técnicos Cenicafé. N 247. Cenicafé, Chinchiná, Caldas. 9 p. 🠔
  18. Mistro J, Fazuoli L, Filho O, Silvarolla M, Toma-Braghini. 2008. Determination of the number of years in Arabic Coffee progenies selection through repeatability. Crop Breeding and Applied Biotechnology 8(1): 79-84. doi: 10.12702/1984-7033.v08n01a11 [DOI] 🠔
  19. Neyman J, Pearson E. 1928. On the use and interpretation of certain test criteria for purposes of statistical inference, Biometrika 20A: 175 p. 🠔
  20. Oliva C, Benito J, Acuña R, Bocanegra A, Baltazar J. 2014. Estimación de la repetibilidad y selección genética de árboles de cacao aromático con material genético de EE-INIA-San Martín y UC de Lebauf, en Perú. Nota Científica. Scientia Agropecuaria. 5: 59-64. doi: 10.17268/sci.agropecu.2014.01.07 [DOI] 🠔
  21. Padilha N, Padilha M, Da Costa M. 2003. Estimate of repeatability in morphological and heart of palm production characters in peach palm (Bactris gasipaes Kunth). Sociedade de Investigaçõnes Florestais. R. Árvore, Viçosa-MG, 27(4): 435-442. doi: 10.1590/s0100-67622003000400003 [DOI] 🠔
  22. Peres G, Gezan S, Pisaroglo M, Lima L, Khusala C, Bombonato A, Gonçalves P. 2014. Genetic parameters in a rubber tree population: heritabilities, genotype-by-enviroment interactions and multi-trait correlations. Tree Genetics & Genomes. 10(6): 1511-1518. doi: 10.1007/s11295-014-0766-5 [DOI] 🠔
  23. Priyadarshan P, Goncalves P. 2003. Hevea gene pool for breeding. Rubber Research Institute of India. Instituto Agronomico de Campinas. Genetic Resources and Crop Evolution 50(1): 101-114. doi: 10.1023/a:1022972320696 [DOI] 🠔
  24. Priyadarshan P, Goncalves P, Omokhafe K. 2009. Breeding Hevea Rubber. Parte de: Breeding Plantation Trees Crops. Springer. 469-524. doi: 10.1007/978-0-387-71201-7_13 [DOI] 🠔
  25. Priyadarshan P. 2011. Biology of Hevea Rubber. Rubber Research Institute of India. CAB International. Kottayam, India. 234 p. doi: 10.1079/9781845936662.0000 [DOI] 🠔
  26. Rivano F, Mattos C, Cardoso S, Martinez M, Cevallos V, Le Guen V, Garcia D. 2012. Breeding Hevea brasiliensis for yield, growth and SALB resistance for high disease environments. CIRAD. Plantacoes Michelin da Bahia. Universidad Tecnica Estatal de Quevedo. INIAP. Industrial Crops and Products. 44: 659-670. doi: 10.1016/j.indcrop.2012.09.005 [DOI] 🠔
  27. Rodrigo V. 2007. Ecophysiological factors underpinning productivity of Hevea brasiliensis. Brazilian Journal of Plant Physiology 19(4): 245-255. doi: 10.1590/s1677-04202007000400002 [DOI] 🠔
  28. Saha T, Priyadarshan, P. 2012. Chapter 9. Genomics of Hevea Rubber. Parte de: Genomics of Tree Crops. Springer. 261-298. doi: 10.1007/978-1-4614-0920-5_9 [DOI] 🠔
  29. Simmonds N. 1979 Principles of Crop Improvement. Longman, Harlow, Essex. 🠔
  30. Tan H. 1977 Estimates of general combining abilities in Hevea breeding at the Rubber Research Institute of Malaysia 1. Theoretical and Applied Genetics 50: 29-34. 🠔
  31. Verardi C, Resende M, Costa R, Gonçalves P. 2012. Estimation of genetic parameters in rubber progenies. Crop Breeding and Applied Biotechnology . 12(3): 185-190. doi: 10.1590/s1984-70332012000300004 [DOI] 🠔
  32. Venkatachalam P, Jayasree P, Sushmakumari S, Jayasree R, Rekha K, Sobha S, Priya P, Kala G, Thulaseedharan A. 2007. Current perspectives on application of biotechnology to assist the genetic improvement of rubber tree (Hevea brasiliensis Muell. Arg.): An overview. Functional Plant Science and Biotechnology 1(1): 1-17. 🠔