Revista Facultad Nacional de Agronomía, Medellín
0304-2847
Facultad de Ciencias Agrarias - Universidad Nacional de Colombia
https://doi.org/10.15446/rfna.v71n1.66210

Recibido: 8 de julio de 2017; Aceptado: 30 de octubre de 2017

Turmeric ( Curcuma longa L.): new application as source of fiber and antioxidants in pasta with whole wheat flour

Cúrcuma ( Curcuma longa L.): nueva aplicación como fuente de fibra y antioxidantes en pasta con trigo de grano entero

A. Wahanik, 1 I. Neri-Numa, 2 G. Pastore, 2 Y. Chang, 1 M. Clerici, 1

Food Technology Department. School of Food Engineering. University of Campinas (UNICAMP). CEP: 13083-862, São Paulo, Brazil. <mclerici@unicamp.br> Universidade Estadual de Campinas Food Technology Department School of Food Engineering University of Campinas São Paulo Brazil
Food Science Department. School of Food Engineering. University of Campinas (UNICAMP). CEP: 13083-862, São Paulo, Brazil. Universidade Estadual de Campinas Food Science Department School of Food Engineering University of Campinas São Paulo Brazil

ABSTRACT

The demand of healthy foods for preventing non-communicable diseases has increased, and developments include ingredients with health effects, such as whole grain wheat and turmeric. Both are added in the present study as source of fiber and antioxidants in pasta. This work aimed to evaluate the effect of the addition of turmeric flour in pasta containing whole grain wheat flour and refined wheat flour on its fiber content, and technological and antioxidant properties. For this, there were made three control pastas with grain wheat flour ranging between 600 and 700 g kg-1. Additionally, seven turmeric pastas were prepared according to a linear experimental design (22), with three central points. Technological analyses included cooking test, color and texture measurement. A Principal Components Analysis was performed for selecting two formulations for further proximate and antioxidant capacities tests. The selected formulations were CP3 (70 WGF: 30 RWF) and TP3 (5 g TF, 60 WGF: 40 RWF), which presented similar technological properties and high average dietary fiber (74.3 g kg-1 ). TP3 presented the highest total phenolics content (534.46 ± 1.93 mg kg-1), DPPH• (5.70 ± 0.10 g kg-1 of Trolox Equivalent (TE), and ABTS (9.02 ± 0.58 g kg-1 of TE), with high retention of antioxidant capacity after cooking. TF promoted the color modification in pastas with WGF, accentuating yellow color, while keeping the cooking properties; it is therefore a natural ingredient that confers color and phenolic compounds in products containing WGF.

Keywords:

Clean-label, Spaghetti, Healthiness, Antioxidant capacity.

RESUMEN

La demanda de alimentos saludables para la prevención de enfermedades no transmisibles ha aumentado, y los desarrollos incluyen ingredientes con efectos en la salud, como harina de trigo de grano entero y cúrcuma. Ambos son adicionados en el presente estudio como fuente de fibra y antioxidantes en pasta. El trabajo tuvo como objetivo evaluar el efecto de la adición de harina de cúrcuma en pasta con harina de trigo de grano entero y harina de trigo refinada, en su contenido de fibra y las propiedades tecnológicas y antioxidantes. Para esto, se realizaron tres pastas control con trigo de grano entero entre 600 y 700 g kg-1. Adicionalmente, siete pastas de cúrcuma se prepararon de acuerdo con un diseño experimental lineal (22), con tres puntos centrales. Los análisis tecnológicos incluyeron test de cocción, color y textura. Un Análisis de Componentes Principales se realizó para seleccionar dos formulaciones para pruebas bromatológica y de capacidad antioxidante. Las pastas seleccionadas fueron CP3 (70 WGF: 30 RWF) y TP3 (5 g TF, 60 WGF: 40 RWF), que presentaron propiedades tecnológicas similares y alto contenido de fibra dietaria (74.3 g kg-1). TP3 presentó el mayor contenido de fenólicos totales (534.46 ± 1.93 mg kg-1), DPPH• (5.70 ± 0.10 g kg-1 Trolox Equivalente (TE)), y ABTS (9.02 ± 0.58 g kg-1 TE), con alta retención de la capacidad antioxidante después de cocción. La harina de cúrcuma promovió el cambio en color de las pastas con WGF, acentuando la tonalidad amarilla y manteniendo las propiedades de cocción; por tanto, es un ingrediente natural que confiere color y compuestos fenólicos en productos con WGF.

Palabras clave:

Rótulo limpio, Spaguetti, Saludable, Capacidad antioxidante.

According to the World Health Organization, each year noncommunicable diseases (NCDs) cause the premature death of 16 million people before the age of 70, being them principally cardiovascular diseases, cancers, respiratory diseases, and diabetes. NCDs have four risk factors in common: tobacco use, physical inactivity, abuse of alcohol, and unhealthy diets (WHO, 2015).

New food developments for avoiding NCDs include the use of ingredients with health effects in highly consumed products, such as pasta, which production accounts more than 14.3 million tons per year, and its consume varies between 8 to 26 kg per capita per year, for the top-ten consuming countries (IPO, 2014). For this purpose, pasta has been proposed as vehicle for the inclusion of fibers and antioxidants, due to its convenience and low price for consumer, but its modification presents several difficulties, as some ingredients may affect pasta color, structure, cooking properties and final product texture (Brennan, 2008). Thus, it can be complementary to put together the benefits of whole wheat, with those from turmeric, to overcome these difficulties.

The use of whole wheat in combination with regional tubers in pastas may bring economic and health benefits. Economic benefits refer to integral use of wheat for human food, given that there are only five big wheat producers in the world (European Union, China, India, Russia and USA) (Statista, 2015). Wheat losses could be reduced by the use of whole wheat, since conventional milling process removes wheat bran and germ, being refined wheat flour approximately 75% of the total grain, depending on the extraction rate. On the other hand, development countries are big producers of tubers, due to climate and soil conditions. One of these tubers, turmeric, has an estimated production of 8 million ton per year (Agropedia, 2014; Faostat, 2013). In order to stimulate the consume of turmeric, its processing and application in highly consumed products may have positive impact in agricultural business, thus increasing their added-value, as well as promoting environmental sustainability due to integral use of wheat and tubers.

Health benefits are related to the effect of bioactive compounds, present in whole wheat and turmeric. Whole wheat is an important source of phytochemicals, present principally in the bran and germ, and less in the starchy endosperm. These phytochemicals include phenolic compounds, carotenoids, vitamin E, lignans, β-glucan, sterols and stanols (Adom et al., 2005; Liu, 2007). Turmeric, the rhizome of the herb Curcuma longa L., with strong flavor and yellow color, contains turmerin, essential oils and curcuminoids (phenolic compounds) (strong antioxidants) (Sharma et al., 2005). According to Liu (2007), phenolic compounds in whole cereals are in conjugated form, which causes a higher effect in the large intestine; this differs from the other vegetables, which have free phenolic compounds that are absorbed earlier in the digestive system. Therefore, the association of whole wheat and turmeric may have the benefits of both free and conjugated phenolic compounds.

The asociation of fiber and different bioactive compounds may bring benefits to a bigger portion of population, improving healthiness of a highly consumed product, such as pasta. Up to the present time and to the best of our knowledge, no study has reported the use of turmeric in fresh pasta with whole wheat flour.

In this study, we aimed to produce and evaluate fresh pasta containing whole wheat and turmeric flours, for obtaining a healthier product with environmental sustainability.

MATERIALS AND METHODS

Whole grain wheat flour (WGF) and refined wheat flour (RWF), both from Triticum aestivum, were obtained from Moinho Anaconda (Sao Paulo, Brazil), and turmeric flour (TF) was purchased from Cooperaçafrão (Mara Rosa, Brazil). Chemical reagents ABTS (2,2-azinobis (3-ethyl-benzothiazoline-6-sulfonic acid)), gallic acid, DPPH radical (2,2-diphenyl-1-picrylhydrazyl), and Trolox solution (6-hydroxy-2,5,7,8-tetramethylchromane-2-carboxylic acid) were purchased from Sigma-Aldrich (St. Louis, USA). Folin Ciocalteu phenol reagent was obtained from Dinâmica (Diadema, Brazil), and methanol and ethanol were purchased from Synth (Diadema, Brazil).

Chemical and technological analysis of raw materials

The American Association of Cereal Chemists International methods (AACCI, 2010) were used for proximate analysis of WGF, RWF, and TF, including moisture (method 44-15.02), protein (method 46-13.01, using factor 5.7 for wheat flours and 6.25 for turmeric), ether extract (method 30-25.01), dietary fiber (method 32-07.01), and ash content (method 08-01.01). Carbohydrates were calculated by difference.

Rheological analysis of the WGF and RWF included extensigraph (method 54-10.01), and farinograph analysis (method 54-21.01), both by AACCI (2010).

Instrumental color of raw materials was measured using a colorimeter Miniscan XE 3500 (Hunterlab, Reston, VI, USA). Results are given in terms of L*, a* and b* values, where L* indicates lightness, a* value indicates (+) redness to (-) greenness, and b* value indicates (+) yellowness to (-) blueness.

Control and Turmeric pastas (TP) processing and evaluation

Control formulations, named as CP1, CP2, and CP3 contained WGF and RWF in proportions of 60 g: 40 g; 65 g: 35 g; and 70 g: 30 g, respectively, and can be seen in Table 3. These proportions were determined by previous tests and established for obtaining a considerable addition of whole grain wheat flour, given that in Brazil pasta is produced with Triticum aestivum flour, and legislation (Brasil, 2000) allows the addition of eggs and tubers, for improving their technological quality. Pasta produced with T. durum semolina has a higher cost, being the raw material imported, and there is no availability of mills for T. durum. In the present work was not possible to have pasta with 100% of WGF, therefore previous studies were done for establishing the WGF and RWF proportions, for obtaining a vegetarian pasta with no eggs, suitable for observing the effect of TF addition on it.

For evaluating the effect of TF addition, a linear experimental design was done for 7 formulations of Turmeric pasta (TP), with axial points (-1, +1), and three replicates at central point (0, 0); the variables were the flours proportion WGF:RWF (X1) (60 g: 40 g to 70 g: 30 g), and turmeric flour addition TF (X2) (10 to 50 g kg-1 flour mixture).

For all tests, flours where mixed for two minutes in a Pastaia II (Italvisa, Tatuí, Brazil), water was added (440 g kg-1 flour mixture) during two minutes and mixed for additional 13 minutes, left to rest for 5 min, and then pasta was extruded, through a 1.6 mm diameter die, to obtain spaghetti strands. Fresh pasta was hung and partially dried with cold air for 30 minutes, packed, and stored under refrigeration (4 °C) for 24 h before further analysis. This process is partially shown in Figure 1. Chemical and technological properties measurements included cooking test, color and texture analyses. Cooking test of pasta was done for the calculation of the optimal cooking time (OCT), weight gain, and solids loss, according to method 66-50.01 (AACC International, 2010). Cooked pasta for analysis was obtained after determination of the OCT. Instrumental color of raw and cooked pasta was measured using a colorimeter Miniscan XE 3500 (Hunterlab, Reston, VI, USA). An additional term, ΔE*ab, was calculated as:

where each delta corresponds to the difference in the color parameter between two samples (Sharma, 2003).

Processing of control and turmeric fresh pastas, where: A. Raw material; B. Mixture with water; C. Extrusion; D. Pasta partial drying, before packaging.

Figure 1: Processing of control and turmeric fresh pastas, where: A. Raw material; B. Mixture with water; C. Extrusion; D. Pasta partial drying, before packaging.

The chroma (C*) and hue (hab) were calculated through formula:

Texture, measured in cutting force of cooked pasta was evaluated with Texture Analyzer TA.XT2 (Stable Micro Systems, Surrey, England), with probe Light Knife Blade (A/LKB), following method 66-50.01 (AACC International, 2010).

Selection of formulations

With the intention of finding formulations [control pasta (CP) and turmeric pasta (TP)] with similar technological characteristics, a Principal Components Analysis (PCA) was performed for finding the correlations between the components of weight gain, solids loss and pasta cutting force, after cooking test, for all pasta formulations. Data from PCA was plotted in a biplot.

Raw pastas were analyzed in their proximate composition by methods recommended by the American Association of Cereal Chemists International methods (AACCI, 2010): moisture (44-15.02), protein (46-13.01, using factor 5.7), ether extract (30-25.01), dietary fiber (32-07.01), and ash content (08-01.01). Carbohydrates were calculated by difference.

Extraction and determination of total phenolics contents of selected fresh pastas

Total phenolics content (TPC) was determined using the Folin-Ciocalteu method (Roesler et al., 2007). For extraction, each sample of fresh pasta, both raw and cooked, was lyophilized (Liotop LP820, Liobras, São Carlos, Brazil), ground and dissolved in methanol for obtaining a 0.5 mg mL-1 pasta extract solution. A 200 µL aliquot of pasta extract was centrifuged at 4900 rpm during 5 min (Baby I 206-BL, Fanem, São Paulo, Brazil) and mixed with 1000 µL of 10-fold diluted Folin-Ciocalteau reagent and 800 µL of 7.5% sodium carbonate solution. After 5 min reaction at 50 °C, absorbance at 760 nm was read in spectrophotometer (DU-640™, Beckamn-Coulter-Brea, USA). Standard concentrations of gallic acid (0.3125 to 50 µg mL-1) were used to prepare a calibration curve (y = 0.034x + 0.0003; R2=0.9919) and results were expressed as mg kg-1 GAE (gallic acid equivalents) in dry basis.

DPPH• scavenging assay of selected fresh pastas

DPPH free radical scavenging activity was measured using a method adapted by Brand-Williams et al. (1995). The DPPH solution (0.004% w/v) was prepared in methanol and stored under refrigeration. Absorbance was measured and adjusted to 1.0 ± 0.2 at 517 nm using the spectrophotometer. A standard curve was built with Trolox (25 to 200 μM). An aliquot of 100 µL pasta extract (prepared in item 2.5) and 100 μl of methanol were mixed with 1000 μL of DPPH solution. After 30 min of reaction in a dark place, the absorbance of the remaining DPPH was measured at 517 nm against blank. Results were expressed in g kg-1 Trolox Equivalent (TE) in dry basis.

Radical cation ABTS scavenging capacity of selected fresh pastas

The radical cation ABTS scavenging capacity was measured using the method described by Re et al. (1999). Briefly, ABTS was dissolved in distilled water to a 7 mM concentration. ABTS radical cation (ABTS•) was produced by reacting ABTS stock solution with 2.45 mM potassium persulfate (final concentration) and allowing the mixture to stand in the dark at room temperature for 16 h before use. An aliquot of 2 mL was diluted in 100 mL of ethanol, and adjusted to an absorbance of 0.70 ± 0.02 at 734 nm.

Trolox standard curve was prepared by addition of 1000 μL of diluted ABTS• solution to 200 μL of Trolox standards (final concentration 3.125 to 125 μM) in ethanol; absorbance was read after 6 min. The percentage inhibition of absorbance at 734 nm was calculated and plotted as a function of concentration of Trolox. Similarly, an aliquot of 25 μL pasta extract (prepared as in item 2.5) and 175 μL of ethanol were mixed with 1000 μL of diluted ABTS solution. After 6 min of reaction, the absorbance of the remaining ABTS was measured at 734 nm against blank. Results were expressed in g kg-1 Trolox Equivalent (TE) in dry basis.

Statistical analysis

Differences in control pastas (CP) were evaluated by one-way analysis of variance (ANOVA) followed by Tukey's multiple comparison test (P≤0.05). Values for CP1 to CP3 are expressed as mean ± standard deviation. For TP, data from the experimental design was evaluated through Response Surface Methodology (RSM) for regression coefficients and analysis of variance (ANOVA, P≤0.05), with minimal determination coefficient (R2) of 0.80 (Neto et al., 2010). One-way ANOVA and t-test were used for evaluation of proximate composition and antioxidant capacity of selected pastas (P≤0.05). All analyses were performed in triplicate, except for cutting force analysis which was done in quintuplicate. RSM analyses were done using the software Statistica 7.0 (StatSoft, Tulsa, USA). ANOVA, t-test and PCA analysis were done using SAS software version 9.02 (SAS Institute, North Carolina, USA).

RESULTS AND DISCUSSION

Chemical and technological analysis of raw materials

Table 1 presents proximate composition of raw materials. WGF presented a higher protein, fat, ash and fiber content than RWF; Betschart (1988) explained this fact by the presence of the bran and germ of the grain, not removed during the milling process. Both WGF and RWF fit the exigencies of the Codex Standard for wheat flour, as well as the requirements from Posner and Hibbs (2005), that establish protein content of wheat flour for pasta processing variating between 125 and 150 g kg-1.

Table 1: Proximate composition of whole grain wheat flour (WGF), refined wheat flour (RWF), and turmeric flour (TF).

TF presented higher fiber content (202.7 ± 10.9 g kg-1 of fiber, dry basis) than the other raw materials. This shows that the addition of TF can contribute with additional fiber to fresh pasta. In this way, both WGF and TF may increase fiber and minerals content, as well as reduce the digestible carbohydrates content of pastas, making them healthier.

For evaluating the gluten strength in wheat flour, methods of empiric rheology were employed, such as farinograph and extensigraph analyses, since pasta requires strong flour. These methods were initially developed for refined flours, thus the values for WGF are only informative, since according to Manthey (2002), the fibers present in it affect water absorption and gluten network development. In the case of TF, these analyses were not done, given that this flour has no gluten producing proteins.

In Table 2, the results show that the farinographic stability from RWF was superior to 23 min, which classifies it as an Improver flour, according to Brazilian legislation (Brasil, 2010). As expected, WGF presented a higher water absorption than RWF and less mixing stability, indicating that fibers affected the gluten network development.

Table 2: Rheological characterization of whole grain wheat flour (WGF) and refined wheat flour (RWF).

RWF had results in extensigraph analysis that showed that it is a strong flour and that can be used for pasta. However, values for WGF indicated the negative effect that high fiber content has on these rheological parameters. The farinograph and extensigraph analyses showed that the mixture of WGF and RWF is important for producing pastas of spaghetti type, since they require a strong gluten network.

It is important to highlight that in countries where T. durum is produced, the use of semolina is the most appropriate for pasta production; in Brazil the production of pasta with T. aestivum is common, including the addition of eggs for improving the technological characteristics and the color of the pastas, given their tendency to be soft and have higher solids loss when compared to pastas with T. durum (Wiseman, 2001).

Evaluation of technological characteristics from pastas

Table 3 presents the technological parameters obtained for CP1, CP2 and CP3. All raw control pastas were brownish and had no significant differences in color parameters. When cooked, pastas presented a brighter brown color, with decrease in redness and yellowness (indicated by a* and b* parameters), as well a decrease in the Chroma value compared to raw pasta, indicating the reduction in color intensity. In the other technological parameters (cooking loss, weight gain, and cutting force), CP2 and CP3 presented similar quality, and CP1 had the biggest difference with them, presenting a significant lower solids loss. These results show the importance of gluten-forming proteins, given that in samples containing less RWF, there was a higher solids loss and less cutting force, indicating the weakening of the network because of the dilution of these proteins. On the other hand, the increase in weight gain with the increase in WGF content can be correlated to pentosans present in WGF. This is confirmed by data from Table 2 that show that WGF absorbed almost 7% more water than RWF at room temperature; this process is even more facilitated at higher temperatures, including cooking temperatures.

Tabla 3: Technological properties of control pastas (CP) containing whole grain wheat flour (WGF) and refined wheat flour (RWF)i.

When calculated, CP3 is the only formulation that fits FDA whole grain content recommendation, with a final 53.8% of whole grain, in wet basis; a food to be defined as "whole grain product" must contain minimum 51% of whole grain (FDA, 1999).

For turmeric pasta (TP) data from Tables 4 and 5, and Figure 2 showed that there were no significant variations in the raw pastas parameters of L*, a* and hue, and when cooked, texture (cutting force) and cooking test results were similar too for the seven formulations. In Table 5 average values for these parameters can be seen, as well as statistic evaluation, indicating that it would be possible to formulate a product containing TF with desired color parameters, and with unchangeable characteristics of cutting force, weight gain and solids loss.

Table 4: Technological properties of pastas containing whole grain wheat flour (WGF), refined wheat flour (RWF), and turmeric flour (TF).

Table 5: Mathematical models and averages obtained from experimental design for turmeric pastas (TP).

Response surfaces from experimental design for turmeric pastas (TP). A. Color b* for raw TP; B. Color L* for cooked TP; C. Color a* for cooked TP; D. Chroma for raw TP; E.Chroma for cooked TP; F. Hue for cooked TP. WGF: Whole grain wheat flour; RWF: Refined wheat flour.

Figure 2: Response surfaces from experimental design for turmeric pastas (TP). A. Color b* for raw TP; B. Color L* for cooked TP; C. Color a* for cooked TP; D. Chroma for raw TP; E.Chroma for cooked TP; F. Hue for cooked TP. WGF: Whole grain wheat flour; RWF: Refined wheat flour.

In Table 5 and Figure 2 can be verified that color was most affected, being that an increase in TF addition caused an increase in the yellowness of raw pasta (b*) (Figure 2a), a decrease in the brightness of cooked pasta (L*) (Figure 2b), and an increase in the redness of cooked pasta (a*) (Figure 2c). This behavior could be explained by the strong yellow color of TF (L*=55.86 ± 0.67, a*=28.49 ± 0.23, b*=68.84 ± 0.58). The Chroma results (Figure 2) also confirmed the strong yellow color saturation in the raw pastas, and the decrease in this term after cooking, however keeping the great influence of TF in these results. The decrease in color intensity was expected, due to the higher hydration and weight gain of pastas, as well as the loss of hydrosoluble pigments in TF in cooking water (data not shown).

In our work, the produced pasta presented already different characteristics to those from pasta made with semolina, due to the fact that gluten, in addition to its precedence from T. aestivum, was diluted with whole wheat flour. However, contrary to what was expected, the use of turmeric allowed to maintain the cutting force and the weight gain (Table 4), similar to the results obtained for pasta containing only RWF and WGF (Table 3).

All pastas in this study presented cooking losses bellow 80 g kg-1, which is the limit for acceptable quality described by Dick and Youngs (1988), cited by Foschia et al. (2015).

Selection of fresh pasta formulations

PCA was used for selection of pastas with similar technological parameters, which would behave homogenously when cooked. The PCA of the data (Figure 3) revealed that 95.76% of the variation sources could be described by two PCs: PC1 (67.74%) and PC2 (28.02%), indicating that it was reliable for pastas selection. Two formulations, CP3 and TP3 were located near each other, meaning they have similar technological properties (cutting force, weight gain and solids loss); therefore, these pastas were selected.

Principal components analysis of the pastas. Formulations encircled correspond to: CP3: Control pasta (70 g: 30 g WGF:RWF); and TP3: Turmeric pasta (60 g: 40 g WGF:RWF, 5 g TF).

Figure 3: Principal components analysis of the pastas. Formulations encircled correspond to: CP3: Control pasta (70 g: 30 g WGF:RWF); and TP3: Turmeric pasta (60 g: 40 g WGF:RWF, 5 g TF).

Sharma (2003) determined values of ΔE*ab>2.3 as the minimum at which the human eye detects color differences between two samples. Thus, ΔE*ab values for selected raw pastas were calculated, obtaining ΔE*ab of 24.7 between CP3 and TP3. After cooking, the value for ΔE*ab increased between CP3 and TP3 to 31.4. It is important that selected pastas may present different color parameters that assure a clear differentiation between them. These results indicate the obtention of two colored pastas that consumers may clearly identify, and that this color difference will continue after cooking. Even though there was a decrease in the yellowish color in TP3 after cooking, where its Chroma passed from 49.72 to 44.85, they continued to have different colors, showing that TF was able to reduce the brownish color of pastas containing WGF, in comparison to CP3, whose Chroma went from 26.04 to 16.25 after cooking.

Proximate composition and antioxidant capacity of selected pastas

In Table 6 is presented the proximate composition of Pastas CP3 and TP3. Both pastas did not present significant differences in their protein and fat contents. However, TP3 presented a higher ash content than CP3, which could have been directly affected by ash content in TF (Table 1). As can be seen, our fresh pastas fit the guideline which, according to Codex Alimentarius legislation, a food containing more than 60 g kg-1 sample of dietary fiber can exhibit the claim "High in dietary fiber" (Codex Alimentarius, 1997).

Table 6: Proximate composition of selected pastas: CP3 (Control pasta) and TP3 (Turmeric pasta).

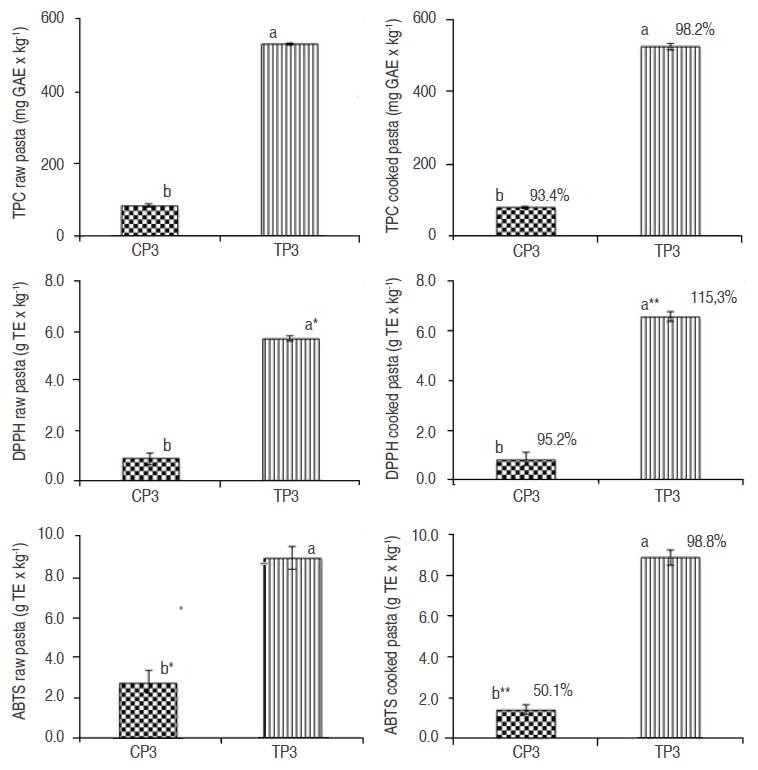
Figure 4 shows the antioxidant capacity of both raw and cooked selected pastas, as well as the retention of this capacity after cooking. The evaluation of the retention of the antioxidant capacity gives us clues to determine the type of consumption the pasta is appropriate for, e.g., when there is a big loss of antioxidants into the cooking water, the pasta may be ideal for soups; when the pasta maintains its antioxidant capacity, it can be consumed as spaghetti with sauce.

Antioxidant analysis of fresh raw and cooked pastas: Total phenolics content (TPC), DPPH and ABTS antioxidant capacities. CP3: Control pasta (70:30 g WGF:RWF). TP3: Turmeric pasta (60:40 g WGF:RWF, 5 g TF).

Figure 4: Antioxidant analysis of fresh raw and cooked pastas: Total phenolics content (TPC), DPPH and ABTS antioxidant capacities. CP3: Control pasta (70:30 g WGF:RWF). TP3: Turmeric pasta (60:40 g WGF:RWF, 5 g TF).

According to Adom and Liu (2002) and Adom et al. (2003), in wheat grains, contrary to fruits and vegetables, phytochemicals are found in the insoluble conjugated form, linked to the cell wall materials, which enables them to resist gastrointestinal digestion and arrive intact to large intestine, where they can be metabolized by bacteria, with release of most part of the conjugated phytochemicals, including diferulic acid and flavonoids. For determining these conjugated compounds, the authors proposed new methodologies and observed values between 16 and 28% from free phenolic compounds, while the conjugated phenolics content ranged from 72 to 84%, depending on the analyzed whole grain variety. Therefore, with the methodology used in our study we observed that turmeric contributed with more free phenolics in pasta (Figure 4).

The analysis of total phenolics content (TPC) showed that raw TP3 presents the highest value of TPC (534.46 ± 1.93 mg kg-1 TPC, db), being it more than six times the value present in CP3. TPC retention after cooking was superior to 93% in all pastas.

The decreases in TPC found in this study were lower than the ones observed by Fares et al. (2010), who enriched durum wheat pasta with different wheat bran fractions; after pasta cooking, they obtained a reduction in free phenolic acids ranging between 9.3 and 39%. The authors related the degradation of phenolic compounds to oxidation caused by oxygen, water and heat. Similarly, Hirawan et al. (2010) obtained an average 40% reduction in TPC after cooking of regular and whole wheat commercial pastas.

DPPH scavenging capacity of pastas presented a similar trend as the one seen with TPC analysis, with TP3 showing the highest value (5.70 ± 0.10 g kg-1 TE, db), being it almost eight times the value for CP3. TP3 presented an increase in DPPH value of 115.34% after cooking. A similar observation was explained by Fares et al. (2010), who affirmed that an increase in this capacity could be due to a higher extraction of bound phenolics from the food matrix, due to the cooking process.

Raw TP3 presented the highest ABTS scavenging capacity (9.02 ± 0.58 g kg-1 TE, db), being it more than six times the capacity from CP3, with a similar tendency observed after cooking.

TPC of fiber-containing pastas presented high values in the study made by Sun-Waterhouse et al. (2013) due to the addition of elderberry juice concentrate (EJC); the highest TPC was found in raw pasta containing EJC and low methoxyl pectin (2.110 ± 0.012 mg g-1 Catechin Equivalent, db). Biney and Beta (2014) also observed an increase in TPC values in pasta formulations with buckwheat bran addition, with respect to control pasta. Boroski et al. (2011) showed that addition of 10% of oregano and carrot leafs caused the highest TPC (2832.2 mg kg-1 GAE) in cooked pasta, as well as high DPPH scavenging capacity. These results agree with the findings in our work, where turmeric contributed to increase the antioxidant capacity of fresh pasta.

From the three antioxidants tests is possible to see that TP3 possesses the highest antioxidant capacity of all samples, both in raw as in cooked pastas, which shows, in this study, that it is possible to use regional tubers for color modification of fresh pasta, while making them more attractive to consumers, and with no alterations on their technological properties. An additional benefit is the increase in variety of compounds with antioxidant capacity, given the differences between the ingredients (whole wheat and turmeric). Our study also showed it is feasible to obtain fresh pasta, rich in antioxidants, whose properties are maintained even after cooking.

The developed fresh pasta has no artificial colorants, is rich in antioxidants and fiber, and is produced with integral use of agricultural products, thus possessing a big potential for the food market as a clean-label, functional and sustainable food.

CONCLUSIONS

It was possible to produce pastas from mixtures of 30 to 40% of refined wheat flour and 60 to 70% of whole grain wheat flour, from T. aestivum, which presented brownish color, high fiber and antioxidant compounds contents. The use of turmeric, ranging between 1 and 5%, made it possible to modify pastas color and increase fiber and antioxidant compounds contents, while keeping technological characteristics.

Fresh pastas containing whole wheat and turmeric were developed, with benefits such as clean-label due to the absence of artificial additives, which is highly valued by market and consumers, who want to return to natural products and traditional food processing.

The developed pastas also showed to be rich in antioxidants and fiber, not only because of the use of whole grain wheat flour, but also turmeric, which showed its high antioxidant capacity, with potential uses in other food applications and great health benefits.

Due to the whole use of agricultural products, our developed pastas are part of a sustainable market that can benefit small producers by helping them to enter new markets and reduce waste while increasing profits in their production.

ACKNOWLEDGEMENTS

The authors thank the Conselho Nacional de Desenvolvimento Científico e Tecnológico (CNPq), Brazil, for the scholarship of Adriana Lucia Wahanik, and Fundação de apoio ao ensino, pesquisa e extensão (FAEPEX) from UNICAMP. Authors are grateful to Nathanny Alves, Nayara Castro and Igor Borges for their valuable help at experimental stage.

REFERENCES

  1. AACC International. 2010. Approved Methods of Analysis (11th ed.). St. Paul: AACC International. Retrieved from http://methods.aaccnet.org/default.aspx. [URL] 🠔
  2. Adom KK and Liu RH. 2002. Antioxidant activity of grains. Journal of Agricultural and Food Chemistry 50(21): 6182-6187. doi: 10.1021/jf0205099. [DOI] 🠔
  3. Adom KK, Sorrells ME and Liu R. 2003. Phytochemical profiles and antioxidant activity of wheat varieties. Journal of Agricultural and Food Chemistry 51(26): 7825-34. doi: 10.1021/jf030404l. [DOI] 🠔
  4. Adom KK, Sorrells ME and Liu RH 2005. Phytochemicals and antioxidant activity of milled fractions of different wheat varieties. Journal of Agricultural and Food Chemistry 53(6): 2297-306. doi: 10.1021/jf048456d [DOI] 🠔
  5. Agropedia. 2014. Turmeric price forecast. Retrieved from http://agropedia.iitk.ac.in/content/turmeric-price-forecast-1 [URL] 🠔
  6. Biney K and Beta T. 2014. Phenolic profile and carbohydrate digestibility of durum spaghetti enriched with buckwheat flour and bran. LWT - Food Science and Technology 57(2): 569-579. doi: 10.1016/j.lwt.2014.02.033 [DOI] 🠔
  7. Boroski M, Aguiar A, Boeing J, Rotta E, Wibby C, Bonafé E, Souza N, Visentainer J. 2011. Enhancement of pasta antioxidant activity with oregano and carrot leaf. Food Chemistry 125(2): 696-700. doi: 10.1016/j.foodchem.2010.09.068 [DOI] 🠔
  8. Brand-Williams W, Cuvelier ME and Berset C. 1995. Use of a free radical method to evaluate antioxidant activity. LWT - Food Science and Technology 28(1): 25-30. doi: 10.1016/S0023-6438(95)80008-5. [DOI] 🠔
  9. Brasil. 2000. RDC nº 93 de 31 de outubro de 2000. Available in http://www.anvisa.gov.br/anvisalegis/resol/2000/93_00rdc.htm. [URL] 🠔
  10. Brasil. 2010. Instrução Normativa No. 38 de 30/11/2010 do Ministério da Agricultura. Pecuária e Abastecimento (MAPA). Available in http://www.codapar.pr.gov.br/arquivos/File/pdf/Trigo InstrucaoNormativa3810.pdf. [URL] 🠔
  11. Brennan CS. 2008. High-fibre pasta products. (pp 428-445) In: B. R. Hamaker (Ed.), Technology of functional cereal products. Woodhead Publishing Limited, Cambridge. 548 p. 🠔
  12. Codex Alimentarius. 1997 Guidelines for use of nutrition and health claims, Pub. L. No. CAC/GL 23-1997. 🠔
  13. Dick JW and Youngs VL. 1988. Evaluation of durum wheat, semolina, and pasta in the United States (pp. 237-248). In: Fabriani G, Lintas C, (eds.). Durum wheat: chemistry and technology. American Association of Cereal Chemists, St. Paul, Minnesota, USA. 332 p. 🠔
  14. Faostat. 2013. Sweet potato statistical data. Retrieved from http://faostat3.fao.org/browse/Q/QC/E [URL] 🠔
  15. Fares C, Platani C, Baiano A and Menga V. 2010. Effect of processing and cooking on phenolic acid profile and antioxidant capacity of durum wheat pasta enriched with debranning fractions of wheat. Food Chemistry 119(3): 1023-1029. doi: 10.1016/j.foodchem.2009.08.006 [DOI] 🠔
  16. FDA. 1999. Health claim notification for whole grain foods. FDA. Retrieved from http://www.fda.gov/Food/IngredientsPack agingLabeling/LabelingNutrition/ucm073639.htm [URL] 🠔
  17. Feillet P and Dexter JE. 1996. Quality requirements of durum wheat for semolina milling and pasta production. pp. 95-131. In: Kruger JE, Matsuo RB, and Dick JW. (eds.). Pasta and noodle technology. American Association of Cereal Chemists, St. Paul , Minnesota, USA. 356 p. 🠔
  18. Foschia M, Peressini D, Sensidoni A, Brennan MA and Brennan CS. 2015. How combinations of dietary fibres can affect physicochemical characteristics of pasta. LWT - Food Science and Technology 61(1): 41-46. doi: 10.1016/j.lwt.2014.11.010 [DOI] 🠔
  19. Hirawan R, Ser WY, Arntfield SD andBeta T . 2010. Antioxidant properties of commercial, regular- and whole-wheat spaghetti. Food Chemistry 119(1): 258-264. doi: 10.1016/j.foodchem.2009.06.022 [DOI] 🠔
  20. IPO. 2014. Survey in world pasta industry 2014. Roma: International Pasta Organization. Retrieved from http://www.internationalpasta.org/index.aspx?id=7 [URL] 🠔
  21. Liu RH. 2007. Whole grain phytochemicals and health. Journal of Cereal Science 46(3): 207-219. doi: 10.1016/j.jcs.2007.06.010 [DOI] 🠔
  22. Manthey FA. 2002. Processing and quality of whole-wheat pasta (pp 139-154). In: L. Marquart, J. L. Slavin, and R. G. Fulcher (Eds.), Whole-grain foods in health and disease. AACC, St. Paul Minnesota, USA. 382 p. 🠔
  23. Neto BB, Scarminio IS and Bruns RE. 2010. Como fazer experimentos: Pesquisa e desenvolvimento na Ciência e na Indústria. Porto Alegre: Bookman. 414 p. 🠔
  24. Posner ES and Hibbs AN. 2005. Wheat flour milling. Second edition. AACC International, St. Paul, Minnesota, USA. 489 p. 🠔
  25. Re R, Pellegrini N, Proteggente A, Pannala A, Yang M and Rice-Evans C. 1998. Antioxidant activity applying an improved ABTS radicalcation decolorization assay. Free Radical Biology and Medicine 26(98): 1231-1237. doi: 10.1016/S0891-5849(98)00315-3 [DOI] 🠔
  26. Roesler R, Carrasco LC, Holanda RB, Alves C, Sousa S and Pastore GM. 2007. Atividade antioxidante de frutas do cerrado. Ciência e Tecnologia de Alimentos 27(1): 53-60. doi: 10.1590/S0101-20612007000100010 [DOI] 🠔
  27. Sharma G. (Ed.). 2003. Digital color imaging handbook. CRC Press, Boca Raton, FL, USA. 816 p. 🠔
  28. Sharma RA, Gescher AJ and Steward WP. 2005. Curcumin: the story so far. European Journal of Cancer. 41: 1955-68. doi: 10.1016/j.ejca.2005.05.009 [DOI] 🠔
  29. Statista. 2015. Projected leading 10 wheat producers worldwide in 2014/2015. Retrieved from http://www.statista.com/statistics/237912/global-top-wheat-producing-countries/ [URL] 🠔
  30. Sun-Waterhouse D, Jin D and Waterhouse GIN. 2013. Effect of adding elderberry juice concentrate on the quality attributes, polyphenol contents and antioxidant activity of three fibre-enriched pastas. Food Research International 54(1): 781-789. doi: 10.1016/j.foodres.2013.08.035 [DOI] 🠔
  31. WHO. 2015. Noncommunicable Diseases Progress Monitor 2015. Geneva. 232 p. 🠔
  32. Wiseman G. 2001. Durum wheat (pp 11-42). In: R. C. Kill and K. Turnbull (Eds.), Pasta and semolina technology. Blackwell Science Ltd, Oxford. 242 p. 🠔