Revista Facultad Nacional de Agronomía Medellín
0304-2847
2248-7026
Facultad de Ciencias Agrarias - Universidad Nacional de Colombia
https://doi.org/10.15446/rfnam.v72n2.69897

Recibido: 19 de enero de 2018; Aceptado: 6 de noviembre de 2018

Characterization, performance and level of technology adoption of the plantain agro-systems in Antioquia, Colombia

Caracterización, desempeño y nivel de adopción tecnológica de los agro-sistemas plataneros en Antioquia, Colombia

E. Álvarez Albanés, 1R. González Gordon, 1J. Sánchez Torres, 2D. Castañeda Sánchez, 1

Facultad de Ciencias Agrarias. Universidad Nacional de Colombia. AA 567, Medellín, Colombia. <eyalvareza@unal.edu.co> Universidad Nacional de Colombia Facultad de Ciencias Agrarias Universidad Nacional de Colombia Medellín Colombia
Centro de Investigaciones del Banano de la - Asociación de Bananeros de Urabá, CENIBANANO-AUGURA. Urbanización Los Almendros. km 4, Carepa. Apartadó, Colombia. Centro de Investigaciones del Banano Asociación de Bananeros de Urabá Carepa Apartadó Colombia

ABSTRACT

The aim of this research was to identify and evaluate socioeconomic and agronomic indicators of plantain agro-systems in 14 municipalities located in the Southwest and Urabá subregions of Antioquia. These subregions present high commitment on the plantain crop, but with different levels in its management and trade. In order to address this research 197 socio-agronomic surveys were conducted; the survey was composed by 93 questions covering the following topics: general information, sources of income, plantain crop management, marketing of the fruit and environmental management. It was found that the production of Dominico Harton in the Southwest varies between 3 and 5 t year-1. On the other hand, it was observed that 84% of the plots established with plantain crops are classified as small producers, with areas sown under 5 ha. In addition, it was determined that the farms that sold to traders, in general, presented higher gross income than those who offer to collection centers. The production of Harton in Urabá was between 7 and 23 t year-1. The lands with the highest income were those who sold their products to traders or by direct sales in the modalities fruit in cases or fruit infield, respectively. In both sub-regions, the largest proportion of the area established in plantain corresponds to the premises of peasant economy, small producers that till for the agronomic maintenance of the crops. However, the yields presented in the Southwest subregion suggest the necessity for higher technical intervention in the crop.

Keywords:

Agronomic management, Musa AAB Simmonds, Socioeconomic indicators, Trading.

RESUMEN

El objetivo de este trabajo fue identificar y evaluar indicadores socioeconómicos y agronómicos de agro-sistemas plataneros en 14 municipios localizados en las subregiones del Suroeste y Urabá antioqueño. Subregiones con alta vocación en el cultivo de plátano, pero con diferentes niveles de manejo y comercio. Para abordar esta investigación se realizaron 197 encuestas de carácter socio-agronómico; la encuesta estuvo conformada por 93 preguntas comprendidas en los siguientes temas: información general, fuentes de ingreso, manejo del cultivo, comercialización de la fruta y manejo ambiental. Se encontró que la producción de plátano Dominico Hartón en el Suroeste varía entre 3 y 5 t año-1. Por otra parte, se pudo observar que el 84% de los lotes establecidos con cultivos de plátano se clasifican como pequeños productores, con áreas sembradas menores a 5 ha. Además, se determinó que los predios que venden a comercializadoras presentan, en general, mayor ingreso bruto que aquellos que los ofrecen a centros de acopio. La producción de Hartón en el Urabá estuvo entre 7 y 23 t año-1. Los predios con mayor ingreso bruto fueron aquellos que vendieron su producto a comercializadoras o por ventas directas en las modalidades de fruta en caja o fruta desmanada en campo. En ambas subregiones, la mayor proporción del área establecida al cultivo plátano corresponde a predios de economía campesina, pequeños productores que laboran para el mantenimiento de los cultivos. Sin embargo, los rendimientos presentados en la subregión del Suroeste sugieren la necesidad de una mayor intervención técnica en el cultivo.

Palabras clave:

Manejo agronómico, Musa AAB Simmonds, Indicadores socioeconómicos, Comercialización.

It is estimated that 87% of the cultivated area in Colombia correspond to traditional crop management associated with coffee, cocoa, cassava, and fruit trees; the remaining 13% correspond to modernized monocultures. The cultivation of plantains in Colombia has been a traditional sector of peasant economy, subsistence for small producers, high geographical dispersion and high socioeconomic importance for the food safety and employment generation. Close to 4% of the national production of plantains is intended to be part of the export market, the remaining fruit is intended for fresh domestic consumption, and less than 1% is used as a source of raw material for the national agroindustry (Espinal et al., 2005). The agricultural sector is composed of small producers that work on the available lands of Colombia which are a fixed resource. However, the problem in productivity is associated with additional factors, such as technology, good agricultural practices, inputs, the educational level of the producer, technical assistance, among other factors, which allow greater production per unit area.

In order of importance, the departments that are producing the largest volumes of fruits in Colombia are Quindío, Meta, Antioquia, and Tolima. Among the varieties that are sold the most in plantain regions of Colombia are Harton, Dominico Harton, and Dominico, which are usually eaten fresh, either green or ripe; it is also possible to obtain from them alcohol, flour, wine, starch, snacks or nutritional supplements for animals. Currently, the plantain cultivation has grown dramatically in the department of Antioquia. According to Agronet (2016), the area raised with plantain in Antioquia was 62,686 ha, from which 57,019 were harvested, presenting a production of 457,363 t and a yield of 8.02 t ha-1. The commercial plantations of high and low density of planting are classified, according to the amount of hectares that composed them, in business (>30 ha), large (15.1-30 ha), medium (5.1-15 ha) and small (0.1-5 ha) (Meek and Aldana, 2001; Roldán et al., 2004). Additionally, in the department of Caldas, it was identified that most of the plantain producers are smallholders (between 1 and 10 ha) (León-Agatón et al., 2015).

In Antioquia, the plantains are produced mainly in the subregions of Southwest (as an associated crop to coffee) and Urabá (as a clean crop - monoculture). In 2007, the Southwest presented a total area in plantain of 11,491 ha, a production volume of 52.13 t, and a performance average of 4,536 kg ha-1. Urabá for its part, had a total area of 36,845 ha, a production volume of 394 t, and an average yield of 10,673 kg ha-1 (SIC, 2012). After the coffee crops, the plantain is the agricultural line of major economic importance in the Southwest. It has traditionally been used as a shade tree for shade-grown coffee, and its production is intended for internal consumption in farms, especially in times of coffee harvest when the migrant population increases. Plantain crop also represents in Southwest surplus, especially in times of plenty harvest (Castro et al., 2009). Following the above, the plantain crop is not the main product in the economy of the Southwest subregion, being the Jericó municipality the one with the highest yield (8 t ha-1) (Agronet, 2016). On the other hand, the subregion of Urabá excels by the degree of specialization that it has reached in the production and export of banana and plantain. Its highest yields are due to the high levels of productivity, the integration of producers and traders, the comparative advantages of location, and the quality of its soils in comparison with other producing areas in the world (Espinal et al., 2005); according to Agronet (2016), Turbo is the municipality with the highest yield in the Urabá subregion with a yield of 10.7 t ha-1.

According to SIC (2012), there are different actors involved in the productive plantain chain affecting their quote, such as the producers that perform the agronomic management during the production cycle until his harvest. The distributors and suppliers are responsible for the grading and packing, taking the appearance, size, and quality of the fruit into account. The conveyor of fruit has an important role in its transportation. Finally, the wholesaler addresses the distribution to the various channels, where the price is determined in the destination. With that being said, the objective of this work was to characterize, according to the yields and the level of technology adoption of the producers, the first actors of the plantain product chain of the Southwest and Urabá subregions in Antioquia, Colombia.

MATERIALS AND METHODS

Area of study

This project was carried out in the Southwest and Urabá subregions of Antioquia, Colombia. The Southwest subregion lies between 800 and 1800 m of altitude (Castro et al., 2009). This region presents a moderately high rainfall that exceeds the potential evapotranspiration. It presents average temperatures without seasonal variation and absence of frost, with a multi-year average value of 20 °C and approximate limits between 17 and 24 °C, showing conditions of a lower montane wet forest. On the other hand, the Urabá subregion is dominated by a gradient of humidity, which increases from the driest municipalities of Arboletes and San Juan de Urabá, located to the north of the Department, to the municipality of Mutatá in the south of the region. This gradient has established several life zones considered in the studied area of the following municipalities Arboletes and San Juan de Urabá (tropical dry forest), San Pedro de Uraba and Turbo (tropical moist forest), Necoclí (premontane moist Forest), and Mutatá (tropical wet forests) (García et al., 2007).

Implementation of the social-agronomic survey in the chosen municipalities

A participatory diagnosis was carried out through the socio-agronomic survey. In the Southwest subregion the municipalities that were chosen to be evaluated were Andes, Betania, Hispania, Jardin, Jericó, Pueblo Rico, and Támesis; from the Urabá subregion, the chosen municipalities were Arboletes, Mutatá, Necoclí, San Juan de Urabá, San Pedro de Urabá, and Turbo. The respondents from both subregions were invited to participate in the survey by the Secretary of Agriculture, Farmer’s Associations, and Cooperatives. 62 smallholder producers from Southwest and 135 from Urabá attended to the invitation. The socio-agronomic survey consisted of 93 questions, grouped into the following topics: General information of the respondent, sources of income, agronomic management of the plantain crop (plant-harvest-post-harvest), ways of trade the fruit and environmental management of the crop. The logistical support to perform the survey was carried out by the Secretary of Agriculture and Environment of each municipality, the Cooperativa Sanbartolo (COMSAB), the Banana Association of Colombia (AUGURA), the International Merchants Banacol, Union of Banana Plantations of Urabá (Uniban) and The Association of Plantain Producers of San Juan de Urabá.

Analysis of the information

The data obtained were tabulated and summarized in worksheets and the corresponding descriptive analysis was carried out with the software R-project version 3.2.1 (R Core Team, 2016).

RESULTS AND DISCUSSION

Characterization of the Southwest subregion

Established area for plantain crops. Southwest had a total plantain area of 11,491 ha in 2007 (Castro et al., 2009). Through the survey, it was found that most of the farms established for plantain crops (associated with coffee) had an area between 1 and 2 ha (47%), a few farms (8%) extended an area between 2 and 3 ha. Nearly the same proportion of farms presented less than 1 ha (11%), between 3 and 5 ha and over 5 ha (18%) (Figure 1). In the study conducted by Meek and Aldana (2001) in Colombia, 80% of the sites correspond to smallholder producers a similar situation was found in Southwest (84%); regarding the medium size producers, the proportion yields up to 15-16% for Colombia and in the Southwest subregion. In contrast to what has been reported for a national scope 5% of business producers (Meek and Aldana, 2001), in the Southwest were not found any producer in the business category (Figure 1).

Distribution of the area established for plantain crops in the Southwest of Antioquia.

Figure 1: Distribution of the area established for plantain crops in the Southwest of Antioquia.

Plantain yields. According to the data obtained (Table 1), the production of plantains in the Southwest of Antioquia is between 5.34 and 3.32 t ha-1 year-1. The 5.5% of the farms categorized with a weight of the plantain bunch greater than 25 kg showed a low production (3.3 t ha-1 year-1). On the other hand, 14.5% of the farms were categorized in a cluster of 10 to 15 kg with a production of 3.4 t ha-1 year-1. 47.3% of the farms exhibited the highest yields, 5.3 y 4.9 t ha-1 year-1 with bunches weight of 20 to 25 kg and 15 to 20 kg, respectively. In 2007, this subregion had a production volume of 52.13 t year-1, where the largest producers of plantains on systems associated with coffee were the municipalities of Andes (18.6 t), Abejorral (8.1 t), Támesis (5.8 t), Concordia (3.6 t) and Cocorná (3.1 t), which showed an average yield of 4,669 kg ha-1 (Castro et al., 2009), a similar report to the results of production of the Southwest determined in this study, with 4,722 kg ha-1, varying between 3,689 and 5,754 kg ha-1 (α=0.05).

Table 1: Percentage distribution of farms and agronomic variables according to the weight of the plantain bunch and its relationship with the annual production for the sub-region Southwest.

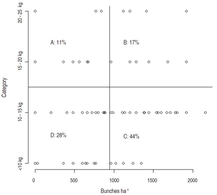
It can be inferred that more than half of the production of the farms studied was low (51%, quadrants A and D) and only 14.5% of the study population presented a high weight of bunches and a high production of plantains per year (quadrant B), with a production above the average of 223.6 clusters ha-1 (Figure 2).

Distribution of producers in the Southwest of Antioquia according to the weight of the bunch of plantains and the number of bunches produced per year. A. Sites with high weight of the bunch and low production; B. Sites with high weight of bunches and high production; C. Sites with low weight and high production; D. Sites with low a weight of the bunch and low production.

Figure 2: Distribution of producers in the Southwest of Antioquia according to the weight of the bunch of plantains and the number of bunches produced per year. A. Sites with high weight of the bunch and low production; B. Sites with high weight of bunches and high production; C. Sites with low weight and high production; D. Sites with low a weight of the bunch and low production.

Technology adoption. According to the observed data, the adoption of technology for the management of the plantain crops in the subregion is appropriate, except for the bagging. The other agronomic work exceeds 75% of the application. 5.5% of the sites presented a bunch weight greater than 25 kg applied the agronomic work recommended for the crop, 14.5% of the sites obtained a bunch weight between 10-15 kg. The variability appeared due to the application of the agronomic work in terms of bagging fruit and control of black Sigatoka (Mycosphaerella fijiensis) regarding other lands. 80% of producers, with weight of bunches between 15 and 25 kg and higher production, presented a proper application of the agronomic work regarding fertilization, control of black Sigatoka, leaf sheaths removal, thinning, and bagging, represented in greater production (5.14 t ha-1 year-1 in average) (Table 1). The research carried out by Palencia et al. (2006) showed that the most relevant agronomic task for good yields and production of the plantain crops is the control of the weeds, performing fertilizations frequently, thinning, defoliation (control of black Sigatoka), and bagging of the bunch.

Distribution and trading channels. The maximum annual income reported in this research was 2,344,614 COP, corresponding with the sites that obtained weight of bunches of 15 to 20 kg. The fruit that is obtained from these sites was sold mostly to collectors (56.5%) and as a second option to traders (34.8%). In contrast, the lands with the lowest income were those that presented a bunch weight over 25 kg, which counted with an annual income of 1,544,761 COP, whose product was sold in larger quantities to traders (66.7%) and as a second option to collectors (33.3%) (Table 2). The farmers, with bunch weight between 15 and 25 kg, direct sale without intermediaries, representing the lowest percentage of participation (25%).

Table 2: Percentage representation of the channel of distribution and presentation according to the weight of the bunch and its relationship with the gross annual income in the Southwest of Antioquia.

Regarding the way the fruit is traded, most of the farms that obtained higher revenues sold infield. 43.5% in the presentation of bunches and 30.5% hand removal and packed in a box. For the presentation of hand removal and packed in a box; it is important to underline that boxes are packaged by selecting the quality and size of the product. The farms that have the bunch weight above 25 kg do not commercialize the hand removal fruit in bulk infield, bunches infield, or in bunches in the collection center. The 66.7% of sales are carried out infield under the modality of fruit hand removal and packed in boxes and 33.3% through collection centers with the bunch hand removal (Table 2).

According to CCI (2000), there are five distribution channels for bringing the product to the final consumer, among which the most prominent are: Collector - Wholesale - Retailer, Supplier - Wholesale - Supermarket, Producer - Supermarket, Wholesaler - Agroindustry and Producer - Agroindustry; being the first channel the most used. The foregoing is consistent with the observed data, where 54% of the farms sell the product to collectors, 40% to traders (suppliers), and a 6% through direct sales (Producer - Supermarket). In contrast with the income obtained by the sale, the lands that sell their product to supply companies obtain a higher income, compared to the lands that sell to collectors (Table 2, Figure 3).

Totals of gross income at sites under different methods of plantain trade in the Southwest subregion.

Figure 3: Totals of gross income at sites under different methods of plantain trade in the Southwest subregion.

There are different actors involved and affecting the price of the product such as the producers, distributors, and traders (SIC, 2012). At the same time, the price of plantains is directly affected by factors such as production and harvesting of coffee (Ruíz and Urueña, 2009). In the Southwest of Antioquia, the sale of the product to a Trading Company (TC), in any of the presentations of the fruit, represented a higher income compared with the income accruing for the producers with the other means of distribution, considering that the number of farms that are sold to traders (40%) are less than those who sell to collectors (54%). For the Southwest of Antioquia, the direct sale represents the lower income from the trade of plantains in all their presentations (Figure 3).

Characterization of the Urabá subregion

Established area for plantain crops. In general, it was observed that most of the farms evaluated presented an area destined to the plantain crops less than 5 ha (74%) (Figure 4), which grouped according to the small producers (Meek and Aldana, 2001).

Area set in plantains in Urabá.

Figure 4: Area set in plantains in Urabá.

Plantain yields. According to Castro et al. (2009), the production of plantains in the Urabá subregion was 394 t in 2007, with yields of 10,673 kg ha-1. In the present study, the estimated average production in the Urabá of Antioquia was established in 16,091 kg ha-1. On the other hand, it was observed that 59.3% of the evaluated farms had a bunch weight between 10 and 15 kg; while the lowest amount of land (8.9%) presented a bunch weight between 20 and 25 kg (Table 3).

Table 3: Distribution of farms and agronomic variables according to the bunch of plantains and its relation with the annual production for the Urabá subregion.

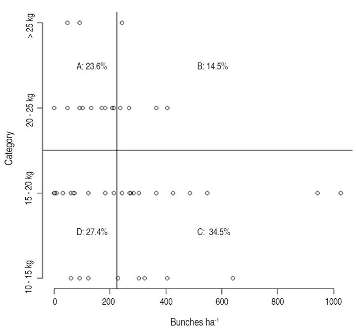
The productivity of the land is distributed in the majority (61%) above the average of the production of the zone (942.6 bunches of plantains ha-1 year-1), which were classified as units of high production of bunches per hectare per year. 11% of the productive units have a high weight of bunches, but a low number of bunches per hectare per year.

17% of the farms obtained greater productivity with high weight of bunches and a high number of bunches per hectare per year while the majority (44%) are efficient in its production, with a low weight of the bunch but with a high number of clusters per hectare per year (Figure 5).

Distribution of producers in the Urabá of Antioquia according to the weight of the bunch of plantains and the number of bunches produced per year. A. Sites with high weight of bunches of plantains and low production; B. Sites with high weight of clusters and high production; C. Sites with low weight and high production; D. Sites with a low weight of the cluster and low production.

Figure 5: Distribution of producers in the Urabá of Antioquia according to the weight of the bunch of plantains and the number of bunches produced per year. A. Sites with high weight of bunches of plantains and low production; B. Sites with high weight of clusters and high production; C. Sites with low weight and high production; D. Sites with a low weight of the cluster and low production.

Technology Adoption. It was observed that most of the farms, in each of the categories of bunch weight, perform all the agronomic work recommended for the crop; including the bagging of the bunch was the practice less implemented with 72.4% on average (Table 3). Possibly those sites that do not perform all the agronomic work adequately are in the quadrant D, with a smaller number of bunches per hectare and lower weight of bunches (Figure 5). In response to the suggested by Belalcazar Carvajal (1992), who points out that the success of a farm depends on the technology used in the establishment phase and by the class, goodness, and time in which the cultural practices are carried out.

Distribution and trading channels.The largest gross income (10,746,991 COP per year) was observed in producers with bunch weights between 15 and 20 kg. Producers with the lowest weight of bunch (>10 kg) were those who presented the lowest gross income (5,072,666 COP per year), compared with other farmers. In general, most of the sales are made with traders, and the direct sale is the second most chosen option. The producers with the lowest bunch weight presented the sale with collectors as the second option. The form of selling used by most of the producers was the modality of fruit packed in a box due to it is how the fruit of this region is normally packed and trade, either for the domestic market or for export (Table 4). In comparison with the Southwest subregion, Urabá does not present the modality of selling bunches in the collection center.

Table 4: Percentage representation of the channel of distribution and presentation according to the weight of the bunch and its relationship with the gross annual income in the Urabá of Antioquia.

The form of trading had a direct impact on income, as well as the type of customer. The higher revenue obtained in the modalities of fruit packed in boxes and bunch hand removal infield, each one of these with different customers, retailers, and direct sales respectively (Figure 6). According to what has been observed CCI (2000), the distribution channels which registered higher income were Supplier - Wholesale - Supermarket (72.1%) and Producer - Supermarket or Producer - Agro-industry (18%).

Totals of gross income at sites under different methods of marketing of plantain in the sub-region of Urabá.

Figure 6: Totals of gross income at sites under different methods of marketing of plantain in the sub-region of Urabá.

CONCLUSIONS

The Southwest of Antioquia has the proper conditions for the agronomic management of the plantain crops, presenting a good production of plantains. 84% of the farms, directed to the plantain crop in the subregion, are classified as smallholder producers, addressing the sale of the plantain to the marketers, instead of to the collector centers. This kind of trade represents a greater gross income for the producers of the subregion. However, it is necessary to implement postharvest methodologies that increase the sale price of the product, such as the break off of the bunch, the packing of the bunch, and the washing of the fruit. The agronomic tasks necessary to carry out the maintenance of the crop are, in general, implemented by the producers in Southwest. The yields obtained in the subregion are linked more to the importance of the crop as the second line in the economy of the subregion. On the other hand, in the Urabá subregion, 74% of the lands intended for the production of plantain compose the peasant economy (<5 ha). The sale to the markets directly represents a higher gross income for Urabá producers, which is in accordance with the sales methodology preferred by them. Plantain production in the subregion is modernized and export-oriented, which is in line with the reported yields and gross income.

Acknowledgements

ACKNOWLEDGEMENTS

The authors thank AUGURA, the trading companies Banacol and Uniban, the Cooperative San Bartolo (COMSAB), and the SAMAS of each of the municipalities in the study area for their collaboration in logistics with farmers in both subregions. There is a special gratefulness with the farmers, for the great care given and for facilitating entry into the production units, as well as providing the information required for the investigation. The support of Phytotecnia Tropical Group is acknowledged by their time, dedication and cooperation during the execution of the investigation.

This research was conducted as part of the project “Evaluation and diagnosis of nutritional constraints in the production of Plantain (Musa AAB Simmonds) in the department of Antioquia” funded by the National Royalties Fund as a special cooperative agreement number 4600001064.

REFERENCES

  1. Agronet. 2016. Antioquia: Principales cultivos por área sembrada. In: Agronet, In: Agronet, https://www.agronet.gov.co/Documents/ANTIOQUIA2016.pdf 3 p.; accessed: November 2018. [URL] 🠔
  2. Belalcazar Carvajal SL. 1991. El cultivo del plátano (Musa AAB Simmonds) en el trópico. Manual de Asistencia Técnica No 50. First Edition. Instituto Colombiano Agropecuario, Armenia. 376 p. 🠔
  3. Castro C, Arcila L, Gomez M and Marín L. 2009. Perfil de la Subregión del Suroeste. Preliminar Version. Gobernación de Antioquia, Dirección de planeación estratégica integral, Medellín. 152 p. 🠔
  4. CCI - Corporación Colombiana Internacional. 2000. Plátano. Perfil de producto No. 7. In: Biblioteca Digital Agronet, http://bibliotecadigital.agronet.gov.co/handle/11348/5137?mode=simple 12 p.; accessed: March 2015. [URL] 🠔
  5. Espinal CF, Martinez HJ and Peña Y. 2005. La cadena del plátano en Colombia, Una mirada global de su estructura y dinámica 1991-2005. Documento de Trabajo No. 61. Ministerio de Agricultura y Desarrollo Rural, Bogotá, Colombia. 40 p. 🠔
  6. García LE, Díaz J, Burgos L, Ortiz L, Martinez R, Siachoque R, Romero J, Gonzalez N, Vera D and Peña G. 2007. Estudio General de Suelos y zonificación de tierras, Departamento de Antioquia, Tomo 2. Instituto Colombiano Agustín Codazzi, Bogotá. 392 p. 🠔
  7. León-Agatón L, Mejía-Gutiérrez LF and Montes-Ramírez LM. 2015. Caracterización socioeconómica y tecnológica de la producción de plátano en el bajo occidente del departamento de Caldas. Revista Luna Azul (41):184-200. doi: 10.17151/luaz.2015.41.11. 🠔
  8. Meek E and Aldana H. 2001. Acuerdo de competitividad de la cadena productiva del plátano en colombia. Serie Competitiva No 18. Corporación Colombia Internacional, Bogotá, Colombia. 76 p. 🠔
  9. Palencia G, Gómez Santos R and Martín J. 2006. Manejo sostenible del cultivo del plátano. Corpoica, Bucaramanga. 28 p. 🠔
  10. Roldán D, Salazar M, Tejada M and Peña Y. 2004. Caracterización de la cadena del plátano en Colombia. Documento de Trabajo No. 10. Ministerio de Agricultura y Desarrollo Rural, Bogotá , Colombia. 20 p. 🠔
  11. Ruíz MP and Urueña MA. 2009. Situación Actual y Perspectivas del Mercado del Plátano. In: Conecta Rural, In: Conecta Rural, https://conectarural.org/sitio/material/situaci%C3%B3n-actual-y-perspectivas-del-mercado-del-pl%C3%A1tano 16 p.; accessed: October 2015 [URL] 🠔
  12. R Core Team. 2016. R: A Language and Environment for Statistical Computing. R Foundation for Statistical Computing, Vienna, Austria. 🠔
  13. SIC - Superintendencia de Industria y Comercio. 2012. Cadena productiva del plátano: diagnóstico de libre competencia. En: Superintendencia de industria y comercio, En: Superintendencia de industria y comercio, http://www.sic.gov.co/recursos_user/documentos/promocion_competencia/Estudios_Economicos/Estudio%20economico%20Plantano%20++.pdf 7 p.; accessed: March 2015. [URL] 🠔