<?xml version="1.0" encoding="utf-8"?>
<!DOCTYPE article
  PUBLIC "-//NLM//DTD JATS (Z39.96) Journal Publishing DTD v1.0 20120330//EN" "http://jats.nlm.nih.gov/publishing/1.0/JATS-journalpublishing1.dtd">
<article article-type="research-article" dtd-version="1.0" specific-use="sps-1.6" xml:lang="en" xmlns:mml="http://www.w3.org/1998/Math/MathML" xmlns:xlink="http://www.w3.org/1999/xlink">
	<front>
		<journal-meta>
			<journal-id journal-id-type="publisher-id">rfnam</journal-id>
			<journal-title-group>
				<journal-title>Revista Facultad Nacional de Agronomía Medellín</journal-title>
				<abbrev-journal-title abbrev-type="publisher">Rev. Fac. Nac. Agron. Medellín</abbrev-journal-title>
			</journal-title-group>
			<issn pub-type="ppub">0304-2847</issn>
			<issn pub-type="epub">2248-7026</issn>
			<publisher>
				<publisher-name>Facultad de Ciencias Agrarias - Universidad Nacional de Colombia</publisher-name>
			</publisher>
		</journal-meta>
		<article-meta>
			<article-id pub-id-type="doi">10.15446/rfnam.v72n3.76558</article-id>
			<article-categories>
				<subj-group subj-group-type="heading">
					<subject>Artículos</subject>
				</subj-group>
			</article-categories>
			<title-group>
				<article-title>Physicochemical, sensory and stability properties of a milk caramel spread sweetened with a glucose-galactose syrup from sweet whey</article-title>
				<trans-title-group xml:lang="es">
					<trans-title>Propiedades fisicoquímicas, sensoriales y de estabilidad de un dulce de leche con adición de sirope glucosa-galactosa de lactosuero dulce</trans-title>
				</trans-title-group>
			</title-group>
			<contrib-group>
				<contrib contrib-type="author">
					<name>
						<surname>Vargas-Díaz</surname>
						<given-names>Sandra</given-names>
					</name>
					<xref ref-type="aff" rid="aff1"><sup>1</sup></xref>
				</contrib>
				<contrib contrib-type="author">
					<name>
						<surname>Sepúlveda-V</surname>
						<given-names>José U.</given-names>
					</name>
					<xref ref-type="aff" rid="aff1"><sup>1</sup></xref>
				</contrib>
				<contrib contrib-type="author">
					<name>
						<surname>Ciro-V</surname>
						<given-names>Héctor J.</given-names>
					</name>
					<xref ref-type="aff" rid="aff1"><sup>1</sup></xref>
				</contrib>
				<contrib contrib-type="author">
					<name>
						<surname>Mosquera</surname>
						<given-names>Ana Juleza</given-names>
					</name>
					<xref ref-type="aff" rid="aff1"><sup>1</sup></xref>
				</contrib>
				<contrib contrib-type="author">
					<name>
						<surname>Bejarano</surname>
						<given-names>Edinson</given-names>
					</name>
					<xref ref-type="aff" rid="aff1"><sup>1</sup></xref>
				</contrib>
				<aff id="aff1">
					<label>1</label>
					<institution content-type="original"> Facultad de Ciencias Agrarias. Universidad Nacional de Colombia. AA 3840, Medellín, Colombia. &lt;salvargasdi@unal.edu.co&gt;</institution>
					<institution content-type="normalized">Universidad Nacional de Colombia</institution>
					<institution content-type="orgdiv1">Facultad de Ciencias Agrarias</institution>
					<institution content-type="orgname">Universidad Nacional de Colombia</institution>
					<addr-line>
						<named-content content-type="city">Medellín</named-content>
					</addr-line>
					<country country="CO">Colombia</country>
					<email>salvargasdi@unal.edu.co</email>
				</aff>
			</contrib-group>
			<pub-date pub-type="epub-ppub">
				<season>Sep-Dec</season>
				<year>2019</year>
			</pub-date>
			<volume>72</volume>
			<issue>3</issue>
			<fpage>8995</fpage>
			<lpage>9005</lpage>
			<history>
				<date date-type="received">
					<day>30</day>
					<month>11</month>
					<year>2018</year>
				</date>
				<date date-type="accepted">
					<day>08</day>
					<month>07</month>
					<year>2019</year>
				</date>
			</history>
			<permissions>
				<license license-type="open-access" xlink:href="http://creativecommons.org/licenses/by-nc-sa/4.0/" xml:lang="en">
					<license-p>This is an open-access article distributed under the terms of the Creative Commons Attribution License</license-p>
				</license>
			</permissions>
			<abstract>
				<title>ABSTRACT</title>
				<p>Whey is a dairy industry by-product with an adverse environmental impact; therefore, obtaining sweeteners from it promote a circular economy and is an alternative to mitigate the environmental problems. The aim of this research was to evaluate the effect of different inclusions (10%, 20%, and 30%) of Glucose-Galactose syrup (GGS), obtained from whey, on the physicochemical, sensory, and stability properties of a milk caramel spread. Results showed that the syrup has a significant effect on the techno-functional properties of the final product since it turns into a darker color when the concentrations of syrup increased. Besides, the yield of the product was higher (41.4%), providing a higher volume. In a replacement of 30% GGS, the milk caramel spread at a lower amount of soluble solids achieved a texture similar to the other inclusions. At a sensory level, consumers accepted all formulations with an acceptance higher than 90%. During the storage time (60 d), different evaluated parameters increased.</p>
			</abstract>
			<trans-abstract xml:lang="es">
				<title>RESUMEN</title>
				<p>El lactosuero es un subproducto de la industria láctea con alto impacto ambiental, por ello, obtener edulcorantes a partir de este promueve una economía circular y es una alternativa para mitigar el problema ambiental. El objetivo de esta investigación fue evaluar el efecto de diferentes inclusiones (10%, 20% y 30%) del sirope glucosa-galactosa (SGG), obtenido a partir de lactosuero, sobre las propiedades fisicoquímicas, sensoriales y de estabilidad en un dulce de leche. Los resultados mostraron que el sirope tiene un efecto significativo en las propiedades tecno-funcionales del producto final, el cual presenta un color más oscuro a medida que se aumenta su concentración. Además, el rendimiento del producto fue mayor (41,4%) proporcionando un mayor volumen. Cuando se logra un reemplazo del 30% de SGG, se obtiene una característica de textura similar a las demás inclusiones a menos sólidos solubles. A nivel sensorial, los consumidores aprobaron todas las formulaciones con una aceptación superior al 90%. Durante el tiempo de almacenamiento (60 d) los diferentes parámetros evaluados aumentaron.</p>
			</trans-abstract>
			<kwd-group xml:lang="en">
				<title>Keywords:</title>
				<kwd>Milk caramel spread</kwd>
				<kwd>Sensory analysis</kwd>
				<kwd>Sweeteners</kwd>
				<kwd>Texture</kwd>
				<kwd>Whey</kwd>
			</kwd-group>
			<kwd-group xml:lang="es">
				<title>Palabras clave:</title>
				<kwd>Dulce de leche</kwd>
				<kwd>Análisis sensorial</kwd>
				<kwd>Edulcorantes</kwd>
				<kwd>Textura</kwd>
				<kwd>Lactosuero</kwd>
			</kwd-group>
			<counts>
				<fig-count count="4"/>
				<table-count count="3"/>
				<equation-count count="1"/>
				<ref-count count="32"/>
				<page-count count="11"/>
			</counts>
		</article-meta>
	</front>
	<body>
		<p>Milk caramel spread is a dairy product obtained generally by evaporation of milk at atmospheric pressure with the addition of sucrose until reaching 70% of total solids (<xref ref-type="bibr" rid="B7">Berwerth, 2006</xref>). In this process, sucrose is partially replaced usually by glucose syrup to avoid its crystallization, besides it participates as reducing sugar in the Maillard reactions (<xref ref-type="bibr" rid="B19">Moro and Hough, 1985</xref>). Besides, sodium bicarbonate is used as an ingredient to prevent the coagulation of proteins and help to get the golden color characteristic of this product. Milk caramel spread represents an important market to explore and promote because the increase in the average world consumption has been higher than 40% since 1990 (<xref ref-type="bibr" rid="B28">SENATI, 2011</xref>). </p>
		<p>Usually, glucose syrup is used as a partial substitute for sugar during the preparation of milk caramel spread; being essential for its sweet flavor, contributing to the total solids of the product, and providing shine and texture (<xref ref-type="bibr" rid="B9">Garitta <italic>et al.</italic>, 2004</xref>).</p>
		<p>Whey is a dairy industry by-product produced during cheese making, 90% of the total volume of milk used for its manufacturing becomes whey (<xref ref-type="bibr" rid="B24">Prazeres <italic>et al.</italic>, 2012</xref>). Additionally, it has nutrients such as serum proteins, lactose, and minerals; where the lactose is present in greater quantity and has a greater polluting level (<xref ref-type="bibr" rid="B6">Beltran and Acosta, 2012</xref>). A sweetener like glucose-galactose syrup (GGS) could be obtained from sweet whey; it has lactose, glucose, and galactose in its composition, being able to provide characteristics similar to the glucose syrup (<xref ref-type="bibr" rid="B29">Somov <italic>et al</italic>., 2015</xref>). The GGS is used as a sweetener that could substitute sucrose, not only in the manufacture of milk caramel spread but also as an ingredient in other products, reducing the whey environmental impacts.</p>
		<p>Different authors have reported the use of sweetening agents in milk caramel spread, highlighting the addition of sucrose, invert sugar, polydextrose, fructose, and sorbitol, mainly because of their sweetness attributes (<xref ref-type="bibr" rid="B25">Queiroz <italic>et al</italic>., 2009</xref>; <xref ref-type="bibr" rid="B32">Valencia <italic>et al</italic>., 2008</xref>; <xref ref-type="bibr" rid="B31">Valencia and Millán, 2008</xref>). Other studies have evaluated the effect of incorporating flours (<xref ref-type="bibr" rid="B18">Lopes <italic>et al</italic>., 2015</xref>) for the functionality and stability they can confer to this product. The addition or modification of raw materials in this type of products has different effects on their quality characteristics, the most important being texture, pH, moisture content, viscosity, and general acceptability of the product over time (<xref ref-type="bibr" rid="B1">Andrade <italic>et al</italic>., 2009</xref>).</p>
		<p>The purpose of this study was to evaluate different inclusions of GGS regarding the physicochemical, sensory, and stability properties of a milk caramel spread during storage at environmental conditions.</p>
		<sec sec-type="materials|methods">
			<title>MATERIALS AND METHODS</title>
			<sec>
				<title>Raw material </title>
				<p>GGS (68-72 °Brix) was obtained by evaporating an enzymatic hydrolyzate from a lactose concentrate. The concentrated lactose was obtained employing the membrane filtering process (ultrafiltration and nanofiltration) of sweet whey, in a 100 L capacity filter pilot plant with a ceramic membrane and cut-off size of 100 Da. The operating conditions used for the nanofiltration process were: Temperature of 23 °C, concentration factor of 5, an inlet pressure of 31.5 bar and stage pressure of 2 bar. This lactose concentrate was hydrolyzed with β-galactosidase (1.2 mL L<sup>-1</sup>) at a temperature of 36 °C for 3 hours (<xref ref-type="bibr" rid="B23">Perez-Escobar <italic>et al</italic>., 2020</xref>). This product was stored under refrigeration temperature (4 °C) until preparation of the milk caramel spread. Sucrose was purchased from a local supplier.</p>
			</sec>
			<sec>
				<title>Characterization of raw materials</title>
				<p>The GGS was characterized by measuring the following properties: pH (AOAC 945.10), acidity for lactic acid (AOAC 945.64), moisture content (AOAC 925.45), total solids (AOAC 925.45), soluble solids (AOAC 932.14), proteins (AOAC 991.20), minerals (AOAC 985.35), and ashes (AOAC 923.03). The apparent viscosity measurement was stablished at 4 °C using a Brookfield DV-III rheometer and concentric cylinder geometry. Lactose, glucose, galactose, and lactic acid were quantified by High-Performance Liquid Chromatography (HPLC), using an AGILENT 1200 series chromatograph, with an AMINEX HPX-87H ion-exchange column (300×7.8 mm), the concentration of the standards (lactose, glucose, galactose, and lactic acid) were from 1 to 5 g L<sup>-1</sup>, and as mobile phase a solution of H<sub>2</sub>SO<sub>4</sub> 0.008 N at a constant flow of 0.6 mL min<sup>-1</sup>. The sweetening power was determined through a sensory test per multidimensional approach with a three-trained panel. This test was performed according to Colombian Technical Standards <xref ref-type="bibr" rid="B15">NTC 3501</xref> and <xref ref-type="bibr" rid="B17">NTC 3915</xref>. </p>
				<p>Whole milk was used for making milk caramel spread and the following characteristics were determined: Content of total solids (<xref ref-type="bibr" rid="B11">NTC 4979</xref>), proteins (<xref ref-type="bibr" rid="B2">AOAC 972.16</xref>), fat (<xref ref-type="bibr" rid="B2">AOAC 989.04</xref>), acidity as a percentage of lactic acid (<xref ref-type="bibr" rid="B10">NTC 4623</xref>), density (Quevenne lactodensimeter), cryoscopic point (DE568) and pH (NTC 4592).</p>
			</sec>
			<sec>
				<title>Milk caramel spread preparation</title>
				<p>A final sweetness of 17% was proposed for the milk caramel spread during its formulation. Sodium citrate, at 0.1% of the total mixture, was added to the previously filtered milk. Milk heating was started with continuous agitation when it reached a temperature of 30 °C, sugar and powder milk were added. The sweetener was neutralized with sodium bicarbonate (NaHCO<sub>3</sub>) to achieve 0.12% lactic acid since, without this pre-treatment, the milk caramel spread generated a sandy texture. Immediately, when this mixture reached a concentration of 40 °Brix, the previously treated sweetener (GGS) was added, and the evaporation processing was continuously running until reaching a concentration of 70 to 75 °Brix. The milk caramel spread was poured into the containers, allowed to cooling at room temperature; finally, it was stored.</p>
			</sec>
			<sec>
				<title>Physicochemical analysis of milk caramel spread</title>
				<p>The pH was determined using an OHAUS STARTER 3100 pH-meter potentiometer (NTC 4592). The color was evaluated through the tristimulus colorimetry technique with the Konica Minolta CR-400 series colorimeter. Total solids (measured as degrees Brix, <sup>o</sup>Brix) were measured with a gravimetric method (AOAC 925.45); determination of viscosity was achieved using a Brookfield DV-III rheometer with an RV7 spindle, measurements were performed at 25 °C and 10 rpm (<xref ref-type="bibr" rid="B1">Andrade <italic>et al</italic>., 2009</xref>). Fat content was measured through the modified Babcock method. Protein was determined by the Kjeldahl method (AOAC 991.20-23). Soluble solids were evaluated by means of a digital refractometer (HI 96801) (Baldasso <italic>et al.</italic>, 2011). Water activity was measured by the dew point method with the Aqualab 4TE series equipment (<xref ref-type="bibr" rid="B2">AOAC, 2000</xref>, 2007). Moisture content was obtained using a Memmert vacuum stove (AOAC 977.21). Minerals were determined through atomic absorption spectrophotometry (<xref ref-type="bibr" rid="B13">NTC 5151</xref>). The spreadability analysis was carried out with a conical perspex probe 30P/30C in a texturometer TA-TX2, with a pre-test speed of 10 mm s<sup>-1</sup>, test speed of 3 mm s<sup>-1</sup> and a distance of 30 mm. The yield of the process was determined as follows where W<sub>i</sub> is the initial weight and W<sub>f</sub> is final weight:</p>
				<p>
					<disp-formula id="e1">
						<graphic xlink:href="2248-7026-rfnam-72-03-08995-e1.gif"/>
					</disp-formula>
				</p>
			</sec>
			<sec>
				<title>Sensory evaluation of milk caramel spread</title>
				<p>The intensity attributes of milk caramel spread were evaluated following the Colombian technical standard <xref ref-type="bibr" rid="B16">NTC 2680</xref>. This panel was comprised of 20 expert technicians belonging to the Laboratory of Dairy Products of the Universidad Nacional de Colombia - Sede Medellín. In the sensory testing, the intensity of characteristics as texture, color, aroma, crystallization, and spreadability on a structured scale of 10 points was considered. Acceptability tests were carried out with 100 consumers for the different samples of milk caramel spread 24 hours after its preparation. Consumer perception regarding the general acceptability was evaluated in a structured hedonic scale of 9 points. </p>
			</sec>
			<sec>
				<title>Product stability</title>
				<p>The pH, apparent viscosity, color, water activity, and moisture content were evaluated over a period of 60 days under storage conditions (Temperature of 25 <sup>o</sup>C and relative humidity of 60%) using a Memmert ICH 260 climatic chamber. Milk caramel spreads were packaged in polypropylene bags. </p>
			</sec>
			<sec>
				<title>Statistical analysis </title>
				<p>A randomized experimental factorial design with four factors determined by the substitution (in relation to sweetness) of 0%, 10%, 20%, and 30% of sucrose for GGS (72 °Brix) was established, for a total of 12 experiments. The experimental data of the response variables were analyzed by ANOVA and Fisher's LSD method at a 5% significance level. </p>
			</sec>
		</sec>
		<sec sec-type="results|discussion">
			<title>RESULTS AND DISCUSSIONS</title>
			<p>
				<xref ref-type="table" rid="t1">Table 1</xref> shows the physicochemical properties of GGS, indicating an acid raw material, dense with low humidity, yellow-green color due to the content of vitamin B2 (<xref ref-type="bibr" rid="B3">Arndt and Wehling, 1989</xref>), together with a high amount of minerals and a sweetening power of 50% regarding the sucrose value. In addition, the GGS is a non-Newtonian pseudoplastic fluid according to its rheological properties. Milk showed high-quality characteristics according to the <xref ref-type="bibr" rid="B12">NTC 399</xref>.</p>
			<p>
				<table-wrap id="t1">
					<label>Table 1</label>
					<caption>
						<title>Physicochemical characterization of the GGS and cow's milk used as a raw material for the preparation of milk caramel spread.</title>
					</caption>
					<graphic xlink:href="2248-7026-rfnam-72-03-08995-gt1.jpg"/>
				</table-wrap>
			</p>
			<sec>
				<title>Physicochemical properties of milk caramel spread</title>
				<p>The pH value showed a statistical significance (<italic>P</italic>&lt;0.05) among samples with addition of GGS, where pH decreased at the highest level of GGS inclusion even after neutralization, due to the presence of syrup, with values close to the reported by <xref ref-type="bibr" rid="B20">Novoa and Ramírez-Navas (2012)</xref> (<xref ref-type="fig" rid="f1">Figure 1A</xref>). Hence, as a result of this low sweetening power, it should be added in greater quantity than sugar. This decrease in pH by increasing the GGS level was also related to the Maillard reactions because there is an interaction between the amino groups of milk proteins and reducing sugars such as glucose, galactose, and lactose. As there are a greater number of molecules of nitrogen interacting with sugars, the pH will be lower since these amino groups help to have alkaline pH and when reacting, acid groups predominate causing a decrease in pH (<xref ref-type="bibr" rid="B5">Belitz <italic>et al</italic>., 2012</xref>).</p>
				<p>
					<fig id="f1">
						<label>Figure 1</label>
						<caption>
							<title>Physicochemical parameters of milk caramel spread with different contents of GGS. A. pH; B. soluble solids; C. moisture content.</title>
						</caption>
						<graphic xlink:href="2248-7026-rfnam-72-03-08995-gf1.jpg"/>
					</fig>
				</p>
				<p>The moisture content was similar for 10 and 20% of GGS inclusion, whereas, for 30%, there was significantly different (<italic>P</italic>&lt;0.05). This change is due to the process was stopped at lower soluble solids because it achieved the appropriate texture at a shorter evaporation time. Since the evaporation time was shorter than the other treatments, more water remained inside the product. The moisture content was close to the defined in the Colombian technical standard <xref ref-type="bibr" rid="B14">NTC 3757</xref>. Also, these values coincided with the reported by <xref ref-type="bibr" rid="B1">Andrade <italic>et al</italic>. (2009)</xref>, where values of 22% of moisture content for a milk caramel spread from buffalo milk were found.</p>
				<p>For soluble solids, results indicated a statistically significant effect (<italic>P</italic>&lt;0.05) for GGS inclusion (<xref ref-type="fig" rid="f1">Figure 1B</xref>). Thus, to reach the desired texture, about 74 and 75 °Brix were required when adding up to 20% of sweetener; while when 30% of the syrup was added, this texture was achieved at soluble solids of 70.5 °Brix. This result could be explained by the cause of the contribution of soluble solids of GGS in such quantity. Additionally, soluble solids were within the ranges reported by <xref ref-type="bibr" rid="B20">Novoa and Ramírez-Navas (2012)</xref> for commercial milk caramel and milk caramel spread from buffalo milk reported by <xref ref-type="bibr" rid="B1">Andrade <italic>et al.</italic> (2009)</xref>.</p>
				<p>The GGS did not present statistically significant differences in the viscosity of the milk caramel spread (<xref ref-type="table" rid="t2">Table 2</xref>). However, it is a type of product that diminishes the apparent viscosity as deformation rate increases, presenting characteristics of a pseudoplastic or thixotropic fluid (<xref ref-type="bibr" rid="B1">Andrade <italic>et al.</italic>, 2009</xref>; <xref ref-type="bibr" rid="B22">Pauletti <italic>et al.</italic>, 1990</xref>; <xref ref-type="bibr" rid="B27">Rovedo <italic>et al.</italic>, 1991</xref>).</p>
				<p>
					<table-wrap id="t2">
						<label>Table 2</label>
						<caption>
							<title>Average values (± standard deviation) of the physicochemical parameters of the milk caramel spread with GGS in different concentrations.</title>
						</caption>
						<graphic xlink:href="2248-7026-rfnam-72-03-08995-gt2.jpg"/>
					</table-wrap>
				</p>
				<p>Textural parameters as adhesiveness, maximum force, and energy did not show statistically significant differences (<italic>P</italic>&gt;0.05) with the inclusion of GGS (<xref ref-type="table" rid="t2">Table 2</xref>). The differences in texture are due to the variations of pH in the different sweetened milk caramel spread, when by varying the pH, the electrical charges of the proteins are distributed heterogeneously, improving interactions between them (<xref ref-type="bibr" rid="B32">Valencia and Millán, 2008</xref>). The experimental values reported by <xref ref-type="bibr" rid="B31">Valencia <italic>et al.</italic> (2008)</xref> in terms of adhesiveness were lower than those of the present research. This fact was due to the soluble solids were lower (60 °Brix) and moisture content greater than 30% providing softer textures in the final product. However, the study reported by <xref ref-type="bibr" rid="B31">Valencia <italic>et al.</italic> (2008)</xref> coincided with those reported in the present work. </p>
				<p>Concerning water activity (A<sub>w</sub>) and fat content, <xref ref-type="table" rid="t2">Table 2</xref> shows that the GGS incorporation level did not show a significant effect (<italic>P</italic>&gt;0,05). This result could be explained because of the water activity of the product is very similar to the syrup, both subjected to evaporation. Additionally, previous research reports that in the whey permeate there is less than 1 g L<sup>-1</sup> of fat (<xref ref-type="bibr" rid="B4">Atra <italic>et al.</italic>, 2004</xref>). Therefore, this sweetener obtained a low fat due not only to the previous processing by which fat globules should be removed before subjecting the whey to ultrafiltration but also by the ultrafiltration and nanofiltration technologies, to which it was subjected. The values were within the range allowed by the <xref ref-type="bibr" rid="B14">NTC 3757</xref>, that mentions it should be between 6 and 9%, and it is validated by <xref ref-type="bibr" rid="B1">Andrade <italic>et al.</italic> (2009)</xref>, who reported values of 7.95 for a caramel made of buffalo milk. </p>
				<p>Protein did not present statistically significant differences between samples; it ranges from 7.3 to 8.0% (<xref ref-type="table" rid="t2">Table 2</xref>) values analogous to those reported by <xref ref-type="bibr" rid="B9">Garitta <italic>et al</italic>. (2004)</xref> and <xref ref-type="bibr" rid="B30">Sousa <italic>et al.</italic> (2002)</xref> who found values between 7.81 and 10%. </p>
				<p>Two minerals (Magnesium and potassium) were evaluated in the milk caramel spread showing a statistically significant effect (<italic>P</italic>&lt;0.05) by including GGS (<xref ref-type="table" rid="t2">Table 2</xref>). The results showed an increase in these minerals when more syrup was added; this same tendency was presented in ashes content. Besides, Calcium and Phosphorus minerals did not present statistically significant differences reaching values from 0.25 to 0.27% and between 0.23 to 0.26% w/w, respectively.</p>
				<p>The CIELab color space in the final product indicated that GGS addition had a statistically significant effect (<italic>P</italic>&lt;0.05). The lightness (L*) decreased as GGS content increased (<xref ref-type="fig" rid="f2">Figure 2A</xref>), while value a* showed an adverse effect, as seen in <xref ref-type="fig" rid="f2">Figure 2B</xref>. In consequence, the product turns darker brown as the syrup percentage increases. This color changes could be related to Maillard reactions because syrup containing reducing sugars such as lactose, glucose, and galactose. Besides, a higher level of GGS (monosaccharides) inclusion in addition to low pH favors this reaction producing a caramel color. <xref ref-type="bibr" rid="B20">Novoa and Ramírez-Navas (2012)</xref> reported the color of different milk caramel where L* ranged from 42 to 45, a* between 13.7 and 15.8, and b* ranges from 31.3 to 37.06, which according to the CIELab coordinates shows a lighter color than the milk caramel spread produced in this research. The ranges of CIELab values for Argentine milk caramel found by <xref ref-type="bibr" rid="B8">Castañeda <italic>et al.</italic> (2004)</xref> were L* (26.36 to 41.31), a* (14.72 to 17.09), and b* (26.37 to 31.49); being the color of milk caramel spread analyzed in the current work close to these values. </p>
				<p>
					<fig id="f2">
						<label>Figure 2</label>
						<caption>
							<title>Color parameters of the milk caramel spread with different contents of GGS. A. lightness (L*); B. red to green (a*); C. yellow to blue (b*).</title>
						</caption>
						<graphic xlink:href="2248-7026-rfnam-72-03-08995-gf2.jpg"/>
					</fig>
				</p>
				<p>Nutritionally, the milk caramel spread with GGS contains a greater amount of minerals necessary for the proper functioning of the human body. Additionally, the GGS is understood to have galactooligosaccharide from the enzymatic hydrolysis of lactose (<xref ref-type="bibr" rid="B21">Neri <italic>et al</italic>., 2009</xref>; <xref ref-type="bibr" rid="B26">Rodriguez-Colinas <italic>et al</italic>., 2014</xref>), providing a prebiotic function at the nutritional level.</p>
			</sec>
			<sec>
				<title>Sensory evaluation of milk caramel spread</title>
				<p>Different factors were evaluated in the sensory test: Texture, color, aroma, crystallization, and spreadability (<xref ref-type="fig" rid="f3">Figure 3A</xref>). The texture perception was qualified more fluid for the 10% GGS inclusion, while the other two inclusions (20% and 30%) perceived them a little dense. The color had the same tendency observed in the physicochemical analysis when increasing the addition of GGS, the darker the rating. The three inclusions were qualifying close to 5 (amber color), but the tendency demonstrated that when darker, the expert technicians could perceive this condition in every sample. In the perception of aromas, the evaluators rated them as “very nice.” Additionally, spreadability was evaluated in the central line, but tending a little towards intense. Crystallization had a low rating, which means they did not perceive the crystals, sugar, or sandiness in any case.</p>
				<p>
					<fig id="f3">
						<label>Figure 3</label>
						<caption>
							<title>Sensory tests for milk caramel spread: Sensory descriptors (A); General consumer acceptance test for the different inclusions of GGS (B).</title>
						</caption>
						<graphic xlink:href="2248-7026-rfnam-72-03-08995-gf3.jpg"/>
					</fig>
				</p>
				<p>Sensory analysis of the products through the acceptance test with 100 consumers for each sample is shown in <xref ref-type="fig" rid="f3">Figure 3B</xref>. All the inclusions had a very good acceptance, where more than 90% of the consumers described them from “I like it lightly” to “I like it very much”, having the highest acceptance the 10% of inclusion, which did not have an unfavorable rating, nevertheless replacements of 20% and 30% remained close to the replacement of 10%.</p>
			</sec>
			<sec>
				<title>Stability of milk caramel spread</title>
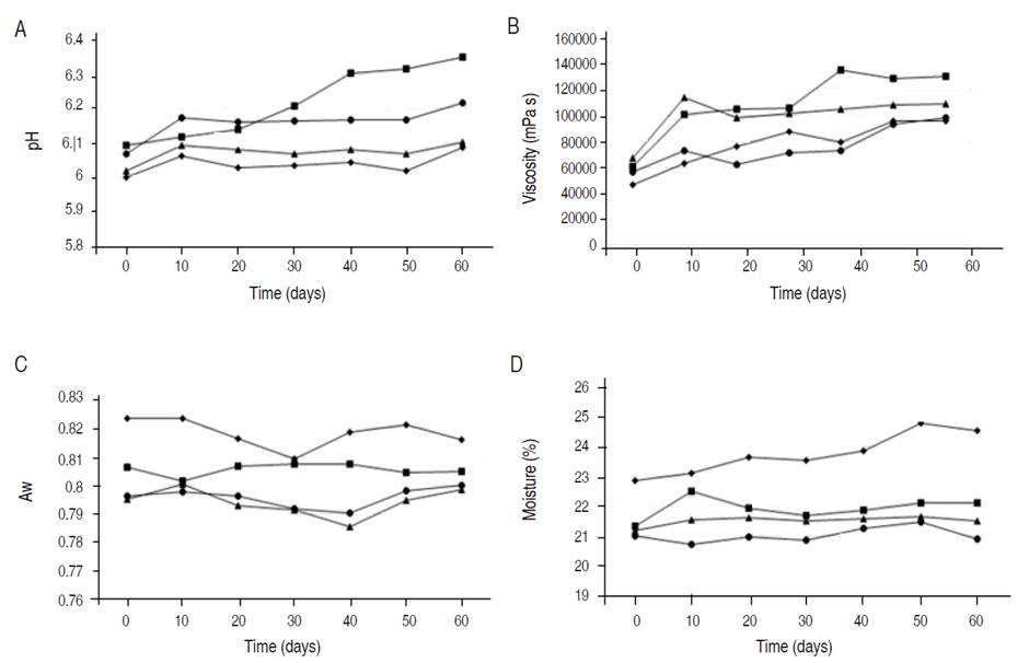
				<p>The pH presented statistically significant differences (<italic>P</italic>&lt;0.05) for all samples during storage time; this value rose gradually with time and was greater at the end of the storage time (<xref ref-type="fig" rid="f4">Figure 4</xref>). This behavior was also reported by other authors (<xref ref-type="bibr" rid="B32">Valencia and Millán, 2008</xref>). The apparent viscosity had the same behavior related to the interaction of the proteins during the stability study (<xref ref-type="bibr" rid="B32">Valencia and Millán, 2008</xref>).</p>
				<p>
					<fig id="f4">
						<label>Figure 4</label>
						<caption>
							<title>Stability properties of milk caramel spread sweetened with GGS at different concentrations during 60 days of storage under environmental conditions. 0% GGS (■), 10% GGS (●), 20% GGS (▲), 30% GGS (♦). A. pH; B. Apparent Viscosity; C. Water Activity; D. Moisture Content.</title>
						</caption>
						<graphic xlink:href="2248-7026-rfnam-72-03-08995-gf4.jpg"/>
					</fig>
				</p>
				<p>It was observed that the values of water activity (A<sub>w</sub>) changed from 0.8013 to 0.8072 for the sample without GGS, 0.7904 to 0.8000 for the addition of 10% GGS; in the case of 20% GGS, it was from 0.7855 to 0.8002, and finally between 0.8091 and 0.8233 for the 30% substitution. Although in several cases, there were significant differences (<italic>P</italic>&lt;0.05), the results did not show a defined behavior. The moisture content increased with time (<italic>P</italic>&lt;0.05); that is, during the storage time at room temperature, the product was able to capture moisture from the environment because the milk caramel spread was not hermetically sealed with an aluminum film although it is noted that on day 60, it did not reach the maximum value allowed by <xref ref-type="bibr" rid="B14">NTC 3757</xref> reported at 30%. </p>
				<p>The average values for the CIELab color parameters in different formulations of milk caramel spread with GGS are given in <xref ref-type="table" rid="t3">Table 3</xref>. The L* value significantly increased in formulations of milk caramel spread of 10% GGS and 20% GGS at the end of the storage period, while 0% GGS and 30% GGS decreased. The values a* differ significantly (<italic>P</italic>&lt;0.05) among the different formulas of milk caramel spread, a measure that elapsed the storage time; there was an increase in this parameter for all samples, becoming browner (<xref ref-type="table" rid="t3">Table 3</xref>). This characteristic of color in milk caramel spread could be associated with the possible presence of compounds derived from the Maillard reaction. The b* value also presented statistically significant differences (<italic>P</italic>&lt;0.05) at the end of the 60 days of storage, this value is lower on the last day for the sample of 0% GGS and 30% GGS; on the other hand the samples with 10 and 20% GGS showed an increase, this phenomenon is also explained by the possible presence of derivatives of the Maillard reaction because this sweetener has reducing sugars and undergoes high temperatures during its preparation.</p>
				<p>
					<table-wrap id="t3">
						<label>Table 3</label>
						<caption>
							<title>CIELab color parameters of the milk caramel spread containing GGS at different concentrations for 60 days of storage at 25 °C and 60% of relative humidity.</title>
						</caption>
						<graphic xlink:href="2248-7026-rfnam-72-03-08995-gt3.jpg"/>
					</table-wrap>
				</p>
			</sec>
		</sec>
		<sec sec-type="conclusions">
			<title>CONCLUSIONS</title>
			<p>The glucose-galactose syrup can be used as a sweetener for the elaboration of milk caramel spreads considering the sensory, physicochemical, and stability analysis. The maximum recommended level is 30% of inclusion concerning the sweetness. GGS syrup influences the increase in the levels of magnesium and potassium. The texture was also achieved at lower soluble solids, increasing the product yield as the percentage of inclusion increases; therefore, it is important for cost reduction. In GGS, the content of reducing sugars significantly influenced the Maillard reactions altering the color and pH of the product, causing a darker brown color. During the storage period, milk caramel spreads have a shelf life of at least 60 days.</p>
		</sec>
	</body>
	<back>
		<ack>
			<title>ACKNOWLEDGMENTS</title>
			<p>The authors thank COLCIENCIAS and AURALAC for funding this research. The authors also show their gratitude to The Dairy Products Laboratory (Universidad Nacional de Colombia - Sede Medellín) for allowing the use of their equipment during the experimental phase.</p>
		</ack>
		<ref-list>
			<title>REFERENCES</title>
			<ref id="B1">
				<mixed-citation>Andrade RD, Vélez GI, Arteaga MR, Díaz QS y Sánchez SS. 2009. Efecto de la neutralización y adición de edulcorante en las propiedades fisicoquímicas. microbiológicas y sensorialesdel arequipe de leche de búfala. Vitae. 16(2): 201-209.</mixed-citation>
				<element-citation publication-type="journal">
					<person-group person-group-type="author">
						<name>
							<surname>Andrade</surname>
							<given-names>RD</given-names>
						</name>
						<name>
							<surname>Vélez</surname>
							<given-names>GI</given-names>
						</name>
						<name>
							<surname>Arteaga</surname>
							<given-names>MR</given-names>
						</name>
						<name>
							<surname>Díaz</surname>
							<given-names>QS</given-names>
						</name>
						<name>
							<surname>Sánchez</surname>
							<given-names>SS</given-names>
						</name>
					</person-group>
					<year>2009</year>
					<article-title>Efecto de la neutralización y adición de edulcorante en las propiedades fisicoquímicas. microbiológicas y sensorialesdel arequipe de leche de búfala</article-title>
					<source>Vitae</source>
					<volume>16</volume>
					<issue>2</issue>
					<fpage>201</fpage>
					<lpage>209</lpage>
				</element-citation>
			</ref>
			<ref id="B2">
				<mixed-citation>AOAC. 2000. Official Methods of Analysis. 17th edition. The Association of Official Analytical Chemists, Gaithersburg. </mixed-citation>
				<element-citation publication-type="book">
					<person-group person-group-type="author">
						<collab>AOAC</collab>
					</person-group>
					<year>2000</year>
					<source>Official Methods of Analysis</source>
					<edition>17th</edition>
					<publisher-name>The Association of Official Analytical Chemists</publisher-name>
					<publisher-loc>Gaithersburg</publisher-loc>
				</element-citation>
			</ref>
			<ref id="B3">
				<mixed-citation>Arndt EA and Wehling RL. 1989. Development of hydrolyzed and Hydrolyzed-Isomerized syrups from cheese whey ultrafiltration permeate and their utilization in ice cream. Journal Food Science 54(4): 880-884. doi: 10.1111/j.1365-2621.1989.tb07904.x</mixed-citation>
				<element-citation publication-type="journal">
					<person-group person-group-type="author">
						<name>
							<surname>Arndt</surname>
							<given-names>EA</given-names>
						</name>
						<name>
							<surname>Wehling</surname>
							<given-names>RL</given-names>
						</name>
					</person-group>
					<year>1989</year>
					<article-title>Development of hydrolyzed and Hydrolyzed-Isomerized syrups from cheese whey ultrafiltration permeate and their utilization in ice cream</article-title>
					<source>Journal Food Science</source>
					<volume>54</volume>
					<issue>4</issue>
					<fpage>880</fpage>
					<lpage>884</lpage>
					<pub-id pub-id-type="doi">10.1111/j.1365-2621.1989.tb07904.x</pub-id>
				</element-citation>
			</ref>
			<ref id="B4">
				<mixed-citation>Atra R, Vatai G, Bekassy-Molnar E and Balint A. 2004. Investigation of ultra-and nanofiltration for utilization of whey protein and lactose. Journal of Food Engineering 67(3): 325-332. doi: 10.1016/j.jfoodeng.2004.04.035</mixed-citation>
				<element-citation publication-type="journal">
					<person-group person-group-type="author">
						<name>
							<surname>Atra</surname>
							<given-names>R</given-names>
						</name>
						<name>
							<surname>Vatai</surname>
							<given-names>G</given-names>
						</name>
						<name>
							<surname>Bekassy-Molnar</surname>
							<given-names>E</given-names>
						</name>
						<name>
							<surname>Balint</surname>
							<given-names>A</given-names>
						</name>
					</person-group>
					<year>2004</year>
					<article-title>Investigation of ultra-and nanofiltration for utilization of whey protein and lactose</article-title>
					<source>Journal of Food Engineering</source>
					<volume>67</volume>
					<issue>3</issue>
					<fpage>325</fpage>
					<lpage>332</lpage>
					<pub-id pub-id-type="doi">10.1016/j.jfoodeng.2004.04.035</pub-id>
				</element-citation>
			</ref>
			<ref id="B5">
				<mixed-citation>Belitz HD, Grosch W y Schieberle P. 2012. Quimica de los alimentos. Segunda edición. Editorial Acribia, Zaragoza. 1087 p.</mixed-citation>
				<element-citation publication-type="book">
					<person-group person-group-type="author">
						<name>
							<surname>Belitz</surname>
							<given-names>HD</given-names>
						</name>
						<name>
							<surname>Grosch</surname>
							<given-names>W</given-names>
						</name>
						<name>
							<surname>Schieberle</surname>
							<given-names>P</given-names>
						</name>
					</person-group>
					<year>2012</year>
					<source>Quimica de los alimentos</source>
					<edition>Segunda</edition>
					<publisher-name>Editorial Acribia</publisher-name>
					<publisher-loc>Zaragoza</publisher-loc>
					<size units="pages">1087</size>
				</element-citation>
			</ref>
			<ref id="B6">
				<mixed-citation>Beltran LJ y Acosta AC. 2012. Empleo de una β-galactosidasa comercial de <italic>Kluyveromyces lactis</italic> en la hidrólisis de lactosuero. Hechos Microbiologicos 3(2). 25-35.</mixed-citation>
				<element-citation publication-type="journal">
					<person-group person-group-type="author">
						<name>
							<surname>Beltran</surname>
							<given-names>LJ</given-names>
						</name>
						<name>
							<surname>Acosta</surname>
							<given-names>AC</given-names>
						</name>
					</person-group>
					<year>2012</year>
					<article-title>Empleo de una β-galactosidasa comercial de Kluyveromyces lactis en la hidrólisis de lactosuero</article-title>
					<source>Hechos Microbiologicos</source>
					<volume>3</volume>
					<issue>2</issue>
					<fpage>25</fpage>
					<lpage>35</lpage>
				</element-citation>
			</ref>
			<ref id="B7">
				<mixed-citation>Berwerth F. 2006. Elaboracão de doce de leite pastoso com substituicão parcial dos solidos de leite por concentrado protéico de soro. Revista Brasileira Multidisciplinar 9(2): 249-256. doi: 10.25061/2527-2675/ReBraM/2006.v9i2.280</mixed-citation>
				<element-citation publication-type="journal">
					<person-group person-group-type="author">
						<name>
							<surname>Berwerth</surname>
							<given-names>F</given-names>
						</name>
					</person-group>
					<year>2006</year>
					<article-title>Elaboracão de doce de leite pastoso com substituicão parcial dos solidos de leite por concentrado protéico de soro</article-title>
					<source>Revista Brasileira Multidisciplinar</source>
					<volume>9</volume>
					<issue>2</issue>
					<fpage>249</fpage>
					<lpage>256</lpage>
					<pub-id pub-id-type="doi">10.25061/2527-2675/ReBraM/2006.v9i2.280</pub-id>
				</element-citation>
			</ref>
			<ref id="B8">
				<mixed-citation>Castañeda R, Muset G, Castells L, Aranibar G, Murphy M y Rodriguez G. 2004. Dulce de leche argentino variedad tradicional - Su caracterización. En: 5º Jornadas de Desarrollo e Innovación. Instituto Nacional de Tecnologia Industrial. 3p.</mixed-citation>
				<element-citation publication-type="confproc">
					<person-group person-group-type="author">
						<name>
							<surname>Castañeda</surname>
							<given-names>R</given-names>
						</name>
						<name>
							<surname>Muset</surname>
							<given-names>G</given-names>
						</name>
						<name>
							<surname>Castells</surname>
							<given-names>L</given-names>
						</name>
						<name>
							<surname>Aranibar</surname>
							<given-names>G</given-names>
						</name>
						<name>
							<surname>Murphy</surname>
							<given-names>M</given-names>
						</name>
						<name>
							<surname>Rodriguez</surname>
							<given-names>G</given-names>
						</name>
					</person-group>
					<year>2004</year>
					<source>Dulce de leche argentino variedad tradicional - Su caracterización</source>
					<conf-name>5ºJornadas de Desarrollo e Innovación. Instituto Nacional de Tecnologia Industrial</conf-name>
					<size units="pages">3</size>
				</element-citation>
			</ref>
			<ref id="B9">
				<mixed-citation>Garitta L, Hough G and Sánchez R. 2004. Sensory shelf life of dulce de leche. Journal of Dairy Science 87(6): 1601-1607. doi: 10.3168/jds.S0022-0302(04)73314-7</mixed-citation>
				<element-citation publication-type="journal">
					<person-group person-group-type="author">
						<name>
							<surname>Garitta</surname>
							<given-names>L</given-names>
						</name>
						<name>
							<surname>Hough</surname>
							<given-names>G</given-names>
						</name>
						<name>
							<surname>Sánchez</surname>
							<given-names>R</given-names>
						</name>
					</person-group>
					<year>2004</year>
					<article-title>Sensory shelf life of dulce de leche</article-title>
					<source>Journal of Dairy Science</source>
					<volume>87</volume>
					<issue>6</issue>
					<fpage>1601</fpage>
					<lpage>1607</lpage>
					<pub-id pub-id-type="doi">10.3168/jds.S0022-0302(04)73314-7</pub-id>
				</element-citation>
			</ref>
			<ref id="B10">
				<mixed-citation>ICONTEC. 1999. Productos de frutas y verduras. Determinación de la acidez titulable. NTC 4623. Instituto Colombiano de Normas Técnicas y Certificación.</mixed-citation>
				<element-citation publication-type="book">
					<person-group person-group-type="author">
						<collab>ICONTEC</collab>
					</person-group>
					<year>1999</year>
					<source>Productos de frutas y verduras. Determinación de la acidez titulable. NTC 4623</source>
					<publisher-name>Instituto Colombiano de Normas Técnicas y Certificación</publisher-name>
				</element-citation>
			</ref>
			<ref id="B11">
				<mixed-citation>ICONTEC. 2001. Leche y productos lácteos. Determinación del contenido de sólidos totales en leche. Crema de leche. Leche evaporada. Leche condensada azucarada. Arequipe. Dulce de leche. Helados y queso. - Método de referencia. NTC 4979. Instituto Colombiano de Normas Técnicas y Certificación.</mixed-citation>
				<element-citation publication-type="book">
					<person-group person-group-type="author">
						<collab>ICONTEC</collab>
					</person-group>
					<year>2001</year>
					<source>Leche y productos lácteos. Determinación del contenido de sólidos totales en leche. Crema de leche. Leche evaporada. Leche condensada azucarada. Arequipe. Dulce de leche. Helados y queso. - Método de referencia. NTC 4979</source>
					<publisher-name>Instituto Colombiano de Normas Técnicas y Certificación</publisher-name>
				</element-citation>
			</ref>
			<ref id="B12">
				<mixed-citation>ICONTEC. 2002. Productos lácteos. Leche cruda. NTC 399. Instituto Colombiano de Normas Técnicas y Certificación.</mixed-citation>
				<element-citation publication-type="book">
					<person-group person-group-type="author">
						<collab>ICONTEC</collab>
					</person-group>
					<year>2002</year>
					<source>Productos lácteos. Leche cruda. NTC 399</source>
					<publisher-name>Instituto Colombiano de Normas Técnicas y Certificación</publisher-name>
				</element-citation>
			</ref>
			<ref id="B13">
				<mixed-citation>ICONTEC. 2003. Alimento para animales. Determinación de los contenidos de calcio. Cobre. Hierro. Magnesio. Manganeso. Potasio. Sodio y zinc. Método usando espectrometría de absorción atómica. NTC 5151. Instituto Colombiano de Normas Técnicas y Certificación.</mixed-citation>
				<element-citation publication-type="book">
					<person-group person-group-type="author">
						<collab>ICONTEC</collab>
					</person-group>
					<year>2003</year>
					<source>Alimento para animales. Determinación de los contenidos de calcio. Cobre. Hierro. Magnesio. Manganeso. Potasio. Sodio y zinc. Método usando espectrometría de absorción atómica. NTC 5151</source>
					<publisher-name>Instituto Colombiano de Normas Técnicas y Certificación</publisher-name>
				</element-citation>
			</ref>
			<ref id="B14">
				<mixed-citation>ICONTEC. 2008. Arequipe o dulce de leche y manjar blanco. NTC 3757. Instituto Colombiano de Normas Técnicas y Certificación.</mixed-citation>
				<element-citation publication-type="book">
					<person-group person-group-type="author">
						<collab>ICONTEC</collab>
					</person-group>
					<year>2008</year>
					<source>Arequipe o dulce de leche y manjar blanco. NTC 3757</source>
					<publisher-name>Instituto Colombiano de Normas Técnicas y Certificación</publisher-name>
				</element-citation>
			</ref>
			<ref id="B15">
				<mixed-citation>ICONTEC. 2012. Análisis sensorial. Vocabulario. NTC 3501. Instituto Colombiano de Normas Técnicas y Certificación</mixed-citation>
				<element-citation publication-type="book">
					<person-group person-group-type="author">
						<collab>ICONTEC</collab>
					</person-group>
					<year>2012</year>
					<source>Análisis sensorial. Vocabulario. NTC 3501</source>
					<publisher-name>Instituto Colombiano de Normas Técnicas y Certificación</publisher-name>
				</element-citation>
			</ref>
			<ref id="B16">
				<mixed-citation>ICONTEC. 2013 Industrias alimentarias. Análisis sensorial. Ensayo de comparación por pares. NTC 2680. Instituto Colombiano de Normas Técnicas y Certificación.</mixed-citation>
				<element-citation publication-type="book">
					<person-group person-group-type="author">
						<collab>ICONTEC</collab>
					</person-group>
					<year>2013</year>
					<source>Industrias alimentarias. Análisis sensorial. Ensayo de comparación por pares. NTC 2680</source>
					<publisher-name>Instituto Colombiano de Normas Técnicas y Certificación</publisher-name>
				</element-citation>
			</ref>
			<ref id="B17">
				<mixed-citation>ICONTEC. 2014. Análisis sensorial Metodología. Método para investigar la sensibilidad del gusto. NTC 3915. Instituto Colombiano de Normas Técnicas y Certificación.</mixed-citation>
				<element-citation publication-type="book">
					<person-group person-group-type="author">
						<collab>ICONTEC</collab>
					</person-group>
					<year>2014</year>
					<source>Análisis sensorial Metodología. Método para investigar la sensibilidad del gusto. NTC 3915</source>
					<publisher-name>Instituto Colombiano de Normas Técnicas y Certificación</publisher-name>
				</element-citation>
			</ref>
			<ref id="B18">
				<mixed-citation>Lopes F, Aparecida H, Ferreira L, Borges A, Freitas D, Sthephani R, Ribeiro M, Fernandes A and Tuler I. 2015. Production of dulce de leche: The effect of starch addition. LWT - Food Science and Technology. 62(1): 417-423. doi: 10.1016/j.lwt.2014.10.062</mixed-citation>
				<element-citation publication-type="journal">
					<person-group person-group-type="author">
						<name>
							<surname>Lopes</surname>
							<given-names>F</given-names>
						</name>
						<name>
							<surname>Aparecida</surname>
							<given-names>H</given-names>
						</name>
						<name>
							<surname>Ferreira</surname>
							<given-names>L</given-names>
						</name>
						<name>
							<surname>Borges</surname>
							<given-names>A</given-names>
						</name>
						<name>
							<surname>Freitas</surname>
							<given-names>D</given-names>
						</name>
						<name>
							<surname>Sthephani</surname>
							<given-names>R</given-names>
						</name>
						<name>
							<surname>Ribeiro</surname>
							<given-names>M</given-names>
						</name>
						<name>
							<surname>Fernandes</surname>
							<given-names>A</given-names>
						</name>
						<name>
							<surname>Tuler</surname>
							<given-names>I</given-names>
						</name>
					</person-group>
					<year>2015</year>
					<article-title>Production of dulce de leche: The effect of starch addition</article-title>
					<source>LWT - Food Science and Technology</source>
					<volume>62</volume>
					<issue>1</issue>
					<fpage>417</fpage>
					<lpage>423</lpage>
					<pub-id pub-id-type="doi">10.1016/j.lwt.2014.10.062</pub-id>
				</element-citation>
			</ref>
			<ref id="B19">
				<mixed-citation>Moro O and Hough G. 1985. Total solids and density measurements of dulce de leche, a typical Argentine dairy product. Journal of Dairy Science 68(3): 521-525. doi: 10.3168/jds.S0022-0302(85)80853-5</mixed-citation>
				<element-citation publication-type="journal">
					<person-group person-group-type="author">
						<name>
							<surname>Moro</surname>
							<given-names>O</given-names>
						</name>
						<name>
							<surname>Hough</surname>
							<given-names>G</given-names>
						</name>
					</person-group>
					<year>1985</year>
					<article-title>Total solids and density measurements of dulce de leche, a typical Argentine dairy product.</article-title>
					<source>Journal of Dairy Science</source>
					<volume>68</volume>
					<issue>3</issue>
					<fpage>521</fpage>
					<lpage>525</lpage>
					<pub-id pub-id-type="doi">10.3168/jds.S0022-0302(85)80853-5</pub-id>
				</element-citation>
			</ref>
			<ref id="B20">
				<mixed-citation>Novoa DF y Ramirez-Navas JS. 2012. Caracterización colorimétrica del manjar blanco del Valle. Biotecnologia en el Sector Agropecuario y Agroindustrial. 10(2): 54-60.</mixed-citation>
				<element-citation publication-type="journal">
					<person-group person-group-type="author">
						<name>
							<surname>Novoa</surname>
							<given-names>DF</given-names>
						</name>
						<name>
							<surname>Ramirez-Navas</surname>
							<given-names>JS</given-names>
						</name>
					</person-group>
					<year>2012</year>
					<article-title>Caracterización colorimétrica del manjar blanco del Valle</article-title>
					<source>Biotecnologia en el Sector Agropecuario y Agroindustrial</source>
					<volume>10</volume>
					<issue>2</issue>
					<fpage>54</fpage>
					<lpage>60</lpage>
				</element-citation>
			</ref>
			<ref id="B21">
				<mixed-citation>Neri FM, Balcão VM, Costa RS, Rocha ICAP, Ferreira EMFC, Torres DPM, Rodrigues LRM, Carvalho LB and Teixeira JA. 2009. Galacto-oligosaccharides production during lactose hydrolysis by free <italic>Aspergillus oryzae</italic> β-galactosidase and immobilized on magnetic polysiloxane-polyvinyl alcohol. Food Chemistry 115(1): 92-99. doi: 10.1016/j.foodchem.2008.11.068.</mixed-citation>
				<element-citation publication-type="journal">
					<person-group person-group-type="author">
						<name>
							<surname>Neri</surname>
							<given-names>FM</given-names>
						</name>
						<name>
							<surname>Balcão</surname>
							<given-names>VM</given-names>
						</name>
						<name>
							<surname>Costa</surname>
							<given-names>RS</given-names>
						</name>
						<name>
							<surname>Rocha</surname>
							<given-names>ICAP</given-names>
						</name>
						<name>
							<surname>Ferreira</surname>
							<given-names>EMFC</given-names>
						</name>
						<name>
							<surname>Torres</surname>
							<given-names>DPM</given-names>
						</name>
						<name>
							<surname>Rodrigues</surname>
							<given-names>LRM</given-names>
						</name>
						<name>
							<surname>Carvalho</surname>
							<given-names>LB</given-names>
						</name>
						<name>
							<surname>Teixeira</surname>
							<given-names>JA</given-names>
						</name>
					</person-group>
					<year>2009</year>
					<article-title>Galacto-oligosaccharides production during lactose hydrolysis by free Aspergillus oryzae β-galactosidase and immobilized on magnetic polysiloxane-polyvinyl alcohol</article-title>
					<source>Food Chemistry</source>
					<volume>115</volume>
					<issue>1</issue>
					<fpage>92</fpage>
					<lpage>99</lpage>
					<pub-id pub-id-type="doi">10.1016/j.foodchem.2008.11.068.</pub-id>
				</element-citation>
			</ref>
			<ref id="B22">
				<mixed-citation>Pauletti M, Venier A, Sabbag N and Stechina D. 1990. Rheological characterization of dulche de leche, a confectionery dairy product. Journal of Dairy Science 73(3): 601-603. doi: 10.3168/jds.S0022-0302(90)78708-5</mixed-citation>
				<element-citation publication-type="journal">
					<person-group person-group-type="author">
						<name>
							<surname>Pauletti</surname>
							<given-names>M</given-names>
						</name>
						<name>
							<surname>Venier</surname>
							<given-names>A</given-names>
						</name>
						<name>
							<surname>Sabbag</surname>
							<given-names>N</given-names>
						</name>
						<name>
							<surname>Stechina</surname>
							<given-names>D</given-names>
						</name>
					</person-group>
					<year>1990</year>
					<article-title>Rheological characterization of dulche de leche, a confectionery dairy product</article-title>
					<source>Journal of Dairy Science</source>
					<volume>73</volume>
					<issue>3</issue>
					<fpage>601</fpage>
					<lpage>603</lpage>
					<pub-id pub-id-type="doi">10.3168/jds.S0022-0302(90)78708-5</pub-id>
				</element-citation>
			</ref>
			<ref id="B23">
				<mixed-citation>Pérez-Escobar L, Mosquera-Martínez AJ, Ciro-Velásquez HJ, Sepúlveda-Valencia JU and Vargas-Díaz S. 2020. Obtention of a lactose hydrolysate from nanofiltration of sweet whey: characterization and process optimization. Revista Mexicana de Ingenieria Quimica. (In press). </mixed-citation>
				<element-citation publication-type="journal">
					<person-group person-group-type="author">
						<name>
							<surname>Pérez-Escobar</surname>
							<given-names>L</given-names>
						</name>
						<name>
							<surname>Mosquera-Martínez</surname>
							<given-names>AJ</given-names>
						</name>
						<name>
							<surname>Ciro-Velásquez</surname>
							<given-names>HJ</given-names>
						</name>
						<name>
							<surname>Sepúlveda-Valencia</surname>
							<given-names>JU</given-names>
						</name>
						<name>
							<surname>Vargas-Díaz</surname>
							<given-names>S</given-names>
						</name>
					</person-group>
					<year>2020</year>
					<article-title>Obtention of a lactose hydrolysate from nanofiltration of sweet whey: characterization and process optimization</article-title>
					<source>Revista Mexicana de Ingenieria Quimica</source>
				</element-citation>
			</ref>
			<ref id="B24">
				<mixed-citation>Prazeres A, Carvalho F and Rivas J. 2012. Cheese whey management: A review. Journal of Environmental Management 110: 48-68. doi: 10.1016/j.jenvman.2012.05.018</mixed-citation>
				<element-citation publication-type="journal">
					<person-group person-group-type="author">
						<name>
							<surname>Prazeres</surname>
							<given-names>A</given-names>
						</name>
						<name>
							<surname>Carvalho</surname>
							<given-names>F</given-names>
						</name>
						<name>
							<surname>Rivas</surname>
							<given-names>J</given-names>
						</name>
					</person-group>
					<year>2012</year>
					<article-title>Cheese whey management: A review</article-title>
					<source>Journal of Environmental Management</source>
					<issue>110</issue>
					<fpage>48</fpage>
					<lpage>68</lpage>
					<pub-id pub-id-type="doi">10.1016/j.jenvman.2012.05.018</pub-id>
				</element-citation>
			</ref>
			<ref id="B25">
				<mixed-citation>Queiroz NM, Martin E, Santos A e Vasconcellos M. 2009. Avaliação das características físico-químicas e sensoriais de doce de leite diet fabricado com sucralose, litesse® e lactitol. UNOPAR Cientifica. Ciências Biologicas e da Saúde 11(1) 21-25. doi: 10.17921/2447-8938.2009v11n1p%25p.</mixed-citation>
				<element-citation publication-type="journal">
					<person-group person-group-type="author">
						<name>
							<surname>Queiroz</surname>
							<given-names>NM</given-names>
						</name>
						<name>
							<surname>Martin</surname>
							<given-names>E</given-names>
						</name>
						<name>
							<surname>Santos</surname>
							<given-names>A</given-names>
						</name>
						<name>
							<surname>Vasconcellos</surname>
							<given-names>M</given-names>
						</name>
					</person-group>
					<year>2009</year>
					<article-title>Avaliação das características físico-químicas e sensoriais de doce de leite diet fabricado com sucralose, litesse® e lactitol</article-title>
					<source>UNOPAR Cientifica. Ciências Biologicas e da Saúde</source>
					<volume>11</volume>
					<issue>1</issue>
					<fpage>21</fpage>
					<lpage>25</lpage>
					<pub-id pub-id-type="doi">10.17921/2447-8938.2009v11n1p%25p</pub-id>
				</element-citation>
			</ref>
			<ref id="B26">
				<mixed-citation>Rodríguez-Colinas B, Fernández-Arrojo L, Ballesteros AO and Plou FJ. 2014. Galactooligosaccharides formation during enzymatic hydrolysis of lactose: Towards a prebiotic-enriched milk. Food Chemistry . 145: 388-394. doi: 10.1016/j.foodchem.2013.08.060</mixed-citation>
				<element-citation publication-type="journal">
					<person-group person-group-type="author">
						<name>
							<surname>Rodríguez-Colinas</surname>
							<given-names>B</given-names>
						</name>
						<name>
							<surname>Fernández-Arrojo</surname>
							<given-names>L</given-names>
						</name>
						<name>
							<surname>Ballesteros</surname>
							<given-names>AO</given-names>
						</name>
						<name>
							<surname>Plou</surname>
							<given-names>FJ</given-names>
						</name>
					</person-group>
					<year>2014</year>
					<article-title>Galactooligosaccharides formation during enzymatic hydrolysis of lactose: Towards a prebiotic-enriched milk</article-title>
					<source>Food Chemistry</source>
					<issue>145</issue>
					<fpage>388</fpage>
					<lpage>394</lpage>
					<pub-id pub-id-type="doi">10.1016/j.foodchem.2013.08.060</pub-id>
				</element-citation>
			</ref>
			<ref id="B27">
				<mixed-citation>Rovedo CO, Viollaz PE and Suarez C. 1991. The effect of pH and temperature on the rheological behavior of dulce de leche. A typical dairy argentine product. Journal of Dairy Science 74(5): 1497-1502. doi: 10.3168/jds.S0022-0302(91)78309-4</mixed-citation>
				<element-citation publication-type="journal">
					<person-group person-group-type="author">
						<name>
							<surname>Rovedo</surname>
							<given-names>CO</given-names>
						</name>
						<name>
							<surname>Viollaz</surname>
							<given-names>PE</given-names>
						</name>
						<name>
							<surname>Suarez</surname>
							<given-names>C</given-names>
						</name>
					</person-group>
					<year>1991</year>
					<article-title>The effect of pH and temperature on the rheological behavior of dulce de leche. A typical dairy argentine product</article-title>
					<source>Journal of Dairy Science</source>
					<volume>74</volume>
					<issue>5</issue>
					<fpage>1497</fpage>
					<lpage>1502</lpage>
					<pub-id pub-id-type="doi">10.3168/jds.S0022-0302(91)78309-4</pub-id>
				</element-citation>
			</ref>
			<ref id="B28">
				<mixed-citation>SENATI - Servicio Nacional de Adiestramiento en Trabajo Industrial. 2011. Elaboración de manjar blanco. En: <comment> En: <ext-link ext-link-type="uri" xlink:href="http://infolactea.com/wp-content/uploads/2015/03/291.pdf">http://infolactea.com/wp-content/uploads/2015/03/291.pdf </ext-link>
					</comment>; consulta: julio, 2018.</mixed-citation>
				<element-citation publication-type="book">
					<person-group person-group-type="author">
						<collab>SENATI</collab>
					</person-group>
					<year>2011</year>
					<source>Elaboración de manjar blanco</source>
					<comment> En: <ext-link ext-link-type="uri" xlink:href="http://infolactea.com/wp-content/uploads/2015/03/291.pdf">http://infolactea.com/wp-content/uploads/2015/03/291.pdf </ext-link>
					</comment>
					<date-in-citation content-type="access-date" iso-8601-date="2018-06-00">julio, 2018</date-in-citation>
				</element-citation>
			</ref>
			<ref id="B29">
				<mixed-citation>Somov V, Evdokimov I, Knyazev S, Perminov S and Kurash Y. 2015. Application of whey-derived syrups in dairy products. Foods and Raw Materials 3(2): 89-95. doi: 10.12737/13113</mixed-citation>
				<element-citation publication-type="journal">
					<person-group person-group-type="author">
						<name>
							<surname>Somov</surname>
							<given-names>V</given-names>
						</name>
						<name>
							<surname>Evdokimov</surname>
							<given-names>I</given-names>
						</name>
						<name>
							<surname>Knyazev</surname>
							<given-names>S</given-names>
						</name>
						<name>
							<surname>Perminov</surname>
							<given-names>S</given-names>
						</name>
						<name>
							<surname>Kurash</surname>
							<given-names>Y</given-names>
						</name>
					</person-group>
					<year>2015</year>
					<article-title>Application of whey-derived syrups in dairy products</article-title>
					<source>Foods and Raw Materials</source>
					<volume>3</volume>
					<issue>2</issue>
					<fpage>89</fpage>
					<lpage>95</lpage>
					<pub-id pub-id-type="doi">10.12737/13113</pub-id>
				</element-citation>
			</ref>
			<ref id="B30">
				<mixed-citation>Sousa CL, Neves ECA, Carneiro CAA, Peixoto MRS e Farias JB. 2002. Avaliação microbiológica e físico-química de doce de leite e requeijão produzidos com leite de bufála na ilha do marajó- pa. Boletim do Centro de Pesquisa de Processamento de Alimentos 20(2). 191-202. doi: 10.5380/cep.v20i2.1247.</mixed-citation>
				<element-citation publication-type="journal">
					<person-group person-group-type="author">
						<name>
							<surname>Sousa</surname>
							<given-names>CL</given-names>
						</name>
						<name>
							<surname>Neves</surname>
							<given-names>ECA</given-names>
						</name>
						<name>
							<surname>Carneiro</surname>
							<given-names>CAA</given-names>
						</name>
						<name>
							<surname>Peixoto</surname>
							<given-names>MRS</given-names>
						</name>
						<name>
							<surname>Farias</surname>
							<given-names>JB</given-names>
						</name>
					</person-group>
					<year>2002</year>
					<article-title>Avaliação microbiológica e físico-química de doce de leite e requeijão produzidos com leite de bufála na ilha do marajó- pa</article-title>
					<source>Boletim do Centro de Pesquisa de Processamento de Alimentos</source>
					<volume>20</volume>
					<issue>2</issue>
					<fpage>191</fpage>
					<lpage>202</lpage>
					<pub-id pub-id-type="doi">10.5380/cep.v20i2.1247</pub-id>
				</element-citation>
			</ref>
			<ref id="B31">
				<mixed-citation>Valencia E, Millán L y Ramirez N. 2008. Evaluación de los efectos en las propiedades fisicoquímicas. sensoriales y texturales de polidextrosa, fructosa y sorbitol como sustitutos de azúcar en la elaboración de arequipe. Revista Lasallista de Investigación 5(2): 20-27.</mixed-citation>
				<element-citation publication-type="journal">
					<person-group person-group-type="author">
						<name>
							<surname>Valencia</surname>
							<given-names>E</given-names>
						</name>
						<name>
							<surname>Millán</surname>
							<given-names>L</given-names>
						</name>
						<name>
							<surname>Ramirez</surname>
							<given-names>N</given-names>
						</name>
					</person-group>
					<year>2008</year>
					<article-title>Evaluación de los efectos en las propiedades fisicoquímicas. sensoriales y texturales de polidextrosa, fructosa y sorbitol como sustitutos de azúcar en la elaboración de arequipe</article-title>
					<source>Revista Lasallista de Investigación</source>
					<volume>5</volume>
					<issue>2</issue>
					<fpage>20</fpage>
					<lpage>27</lpage>
				</element-citation>
			</ref>
			<ref id="B32">
				<mixed-citation>Valencia E y Millán L. 2008. Estimación de la vida útil de un arequipe bajo en calorías. Revista Lasallista de Investigación 6(1): 9-15.</mixed-citation>
				<element-citation publication-type="journal">
					<person-group person-group-type="author">
						<name>
							<surname>Valencia</surname>
							<given-names>E</given-names>
						</name>
						<name>
							<surname>Millán</surname>
							<given-names>L</given-names>
						</name>
					</person-group>
					<year>2008</year>
					<article-title>Estimación de la vida útil de un arequipe bajo en calorías</article-title>
					<source>Revista Lasallista de Investigación</source>
					<volume>6</volume>
					<issue>1</issue>
					<fpage>9</fpage>
					<lpage>15</lpage>
				</element-citation>
			</ref>
		</ref-list>
	</back>
</article>