Revista Facultad Nacional de Agronomía Medellín
0304-2847
2248-7026
Facultad de Ciencias Agrarias - Universidad Nacional de Colombia
https://doi.org/10.15446/rfnam.v73n1.78824

Recibido: 2 de abril de 2019; Aceptado: 15 de noviembre de 2019

Economic injury level and action thresholds for Spodoptera frugiperda (J.E. Smith) (Lepidoptera: Noctuidae) in maize crops

Nivel de daño económico y umbrales de acción para Spodoptera frugiperda (J.E. Smith) (Lepidoptera: Noctuidae) en cultivos de maíz

C. Jaramillo-Barrios, 1E. Varón-Devia, 1B. Monje-Andrade, 1

Corporación Colombiana de Investigación Agropecuaria-AGROSAVIA. Centro de investigación Nataima. Km 9 vía Espinal-Chicoral, Tolima, Colombia. <cijaramillo@agrosavia.co> Corporación Colombiana de Investigación Agropecuaria Tolima Colombia

ABSTRACT

Spodoptera frugiperda (J.E. Smith) is the pest insect that produces the highest losses in maize production in the tropics and neotropics. Its control in Colombia comprises about 10% of the total production costs. The aim of this study was to determine the economic injury level (EIL) and define action thresholds (ATs) for this insect pest in the maize hybrids 30F35R and 30F35HR (with Cry1F protein) in Espinal, Colombia. In two sowing cycles, a completely randomized design was established for each maize hybrid to measure their yield response at four insect population levels (a control without any applications of insecticides and applications at 2, 5, and 10 larvae per 10 plants). For 30F35R, an inverse relationship was found between levels of infestation and yields; meanwhile, for 30F35HR, only during the first cycle this relationship was found. The EIL calculated for 30F35R showed an average of 2.6 and 1.9 larvae per 10 plants in the first and second cycles, respectively, and 2.8 for 30F35HR in the first cycle. Two ATs were established, one in the period from 0 to 20 days after emergence (DAE) and another from 20 to 40 DAE. The threshold for 30F35R from 0 to 20 DAE showed an average of 1.8 larvae per 10 plants in both cycles, while, from 20 to 40 DAE, it was 2.0 and 1.7 in the first and second cycles, respectively. In 30F35HR, the thresholds were 2.1 and 2.5 larvae per 10 plants on average for both periods of the first cycle, respectively. These results can be considered as a tool within integrated pest management that also includes biological and cultural control strategies.

Keywords:

Cry1F protein, Fall armyworm, Genetically modified organisms, Zea mays.

RESUMEN

Spodoptera frugiperda (J.E. Smith) es el insecto plaga que produce las mayores pérdidas en la producción de maíz en el trópico y neotrópico. Su control en Colombia comprende cerca del 10% de los costos de producción. El objetivo de este estudio fue determinar el nivel de daño económico (NDE) y definir umbrales de acción (UA) en los híbridos 30F35R y 30F35HR (con proteína Cry1F) en Espinal, Tolima, Colombia, para este insecto plaga. En dos ciclos de siembra, se estableció un diseño completamente al azar para cada híbrido, para medir la respuesta del rendimiento de maíz a cuatro niveles poblacionales del insecto (un control sin aplicación de insecticida, y aplicaciones a poblaciones de 2, 5 y 10 larvas por 10 plantas). Para 30F35R, se encontró una relación inversa entre los niveles de infestación y los rendimientos en los dos ciclos, mientras que para 30F35HR, sólo se encontró en el primero. Los NDE calculados en 30F35R fueron 2,6 y 1,9 larvas promedio por 10 plantas en el primer y segundo ciclo, respectivamente, y 2,8 en 30F35HR en el primer ciclo. Se determinaron dos UA, uno en el período de 0-20 días después de emergencia (DDE), y otro de 20-40 DDE. El umbral en 30F35R de 0-20 DDE, fue de 1,8 larvas promedio por 10 plantas en ambos ciclos, mientras que de 20-40 DDE fue de 2,0 y 1,7 en el primer y segundo ciclo, respectivamente. En 30F35HR los umbrales fueron de 2,1 y 2,5 larvas promedio por 10 plantas para ambos períodos del primer ciclo, respectivamente. Estos resultados pueden ser considerados como una herramienta dentro de un manejo integrado de plagas que además incluya estrategias de control biológico y culturales.

Palabras clave:

Proteína Cry1F, Gusano cogollero, Organismos genéticamente modificados, Zea mays.

In Colombia, during 2015, maize (Zea mays L.) production was estimated in 1,192,322 t (FENALCE, 2016), and today, this cereal still plays an important role in food security at the national and international levels. However, this crop has different pests that affect it, including Spodoptera frugiperda (J.E. Smith 1797), Helicoverpa zea (Boddie), and Agrotis ipsilon (Hufnagel) (Blanco et al., 2014).

For S. frugiperda or the fall armyworm, 186 host plants have been reported belonging to 42 families, 53% of which are present in South America (Casmuz et al., 2010). This species has been reported in the United States, South America, and Africa (Prasanna et al., 2018). Furthermore, it has mainly been registered as a maize pest in several countries around the world. In Brazil, it is considered the most destructive pest in maize (Cruz et al., 2012). This insect causes a delay in the development of the crop and a yield decrease because it feeds on the vegetable tissue at initial crop phases (Hernández-Trejo et al., 2018).

Farmers use chemical control measures as insecticides based on organophosphates and pyrethroids to control this insect (González-Maldonado et al., 2015). In general, insecticide applications are carried out on a scheduled basis with adverse effects on the environment. Fernández (2002) developed an economic injury level (EIL) for S. frugiperda in maize in Cuba, using regressions between the percentages of leaf damage and crop yield. This author used Bacillus thuringiensis (Bt) as a control product, finding the EIL when 33% of the plants had 4-5 foliar damage grade. However, no EIL or action thresholds (AT) have been developed for this pest insect based on insecticides; most of the ones found in maize have been settled for other minor pests (Foresti et al., 2017).

EIL is based on not applying any control measure on an arthropod until its population generates economic damage to the crop that justifies its control. In other words, it is the lowest population density that causes economic losses (Pedigo and Rice, 2014). The EIL has been developed to manage pests while maintaining environmental quality and net profits for the producer. It is characterized by not being fix or rigid because it depends on market prices, yields, costs associated with pest control, and their effectiveness (Pedigo and Rice, 2014). After the EIL is calculated, the final decision rule is the AT. The AT differs from the EIL in that, instead of being theoretical, it is a practical or operational rule based on the number of insect pests per plant or sampled structure, in which control measures should be initiated to prevent an increasing population from reaching the EIL (Pedigo and Rice, 2014).

On the other hand, the introduction of transgenic maize cultivars in 2007, turned them into a valuable option for the control of this insect (Burtet et al., 2017); however, cases of resistance to the technology by the insect have already been reported (Farias et al., 2014; Niu et al., 2014; Téllez et al., 2016). According to the aforementioned factors, the aim of this study was to establish the economic threshold for S. frugiperda in two genetic modified maize hybrids as a tool for the rationalization of the chemical management of this pest in Maize crops in Tolima, Colombia.

MATERIALS AND METHODS

Study area location

The experiments were carried out at the facilities of Agrosavia in the research center C.I. Nataima, located in the municipality of Espinal, Tolima (Colombia), geographically located at a latitude of 4°11'40.48" N and a longitude of 74°58'04.15" W. Two sowing cycles were established, one from November 2015 to February 2016, and the second from August 2016 to January 2017.

Economic injury level

The EIL was established using the methodology published by Ayala et al. (2013), where eight samplings were carried out, one every week continuously from crop planting (vegetative state) until prior to reaching the reproductive stage. This type of sampling was chosen because the early growth stages are more susceptible to the attack of S. frugiperda, and it is in these stages where the greatest damage occurs. In each cycle, two experiments were established, each employing a completely randomized experimental design, one with the hybrid 30F35HR with the Cry1F gene of Bacillus thuringiensis (used for the control of Lepidoptera), and the other with the hybrid 30F35R (without this gene). The experimental unit comprised 12 m2 with a distance between plants of 0.25 m, four rows by plot, and two seed grains per site, i.e., 15 experimental units per hybrid.

Each unit was analyzed separately under the effect of four control decision criteria with insecticides, i.e., Pre-established Action Threshold (PAT) treatments based on the number of larvae as follows. Control without applications of insecticides (T0), two larvae (T1), five larvae (T2), and 10 larvae per 10 plants (T3), each with three repetitions. Moreover, each experimental unit was separated by four meters to avoid the edge effect and larvae displacement. The number of applications of insecticides relied on the above PAT populations found in each experimental unit.

In each experimental unit, three sampled sites were selected. Each site corresponded to 10 lineal plants, as recommended by Fernández (2002). In these 10 plants, the number of larvae was averaged, and once the PAT was exceeded, rotary applications of the insecticides with the active ingredients Chlorpyrifos and Cypermethrin were applied with doses of 1 L ha-1 and 300 cm3 ha-1, respectively. These insecticides were selected because they have different action mechanisms. Chlorpyrifos has a nervous action as an inhibitor of acetylcholinesterase, and Cypermethrin acts as a modulator of sodium channels (IRAC, 2017).

The dose of the product used and the cost of the wage generated by the application were considered to estimate costs. Harvest was carried out by selecting ten cobs at random from the central rows of each repetition that were then packed in tarpaulins and taken to the entomology laboratory of the research center C.I. Nataima, Agrosavia, where they were weighed, shelled, and yield was calculated using the equation published by Nielsen (2004) (Equation 1):

Crop management included a nutritional plan based on a previous soil analysis, dividing nutrition into three applications. Two during the vegetative stage and one at the beginning of flowering, applying N, P, and K source levels of 46-0-0, 18-46-0, and 0-0-60, as well as minor elements. Weed control was carried out with direct applications of glyphosate to both hybrids.

The factors used for the calculation of the loss function and the EIL were the counting of the number of cobs per plot, the number of cobs per plant, and the number of plants per plot; the value was calculated by dividing the number of cobs per plot between the total number of plants in the plot. Further, the extrapolation of the number of cobs per plot to the number of cobs per hectare, the number of grains per cob obtained from counting the number of rows in each cob, and the number of grains in ten selected rows. The average number of rows was multiplied by the average number of grains within each row and per repetition to calculate the final number of grains per cob.

Finally, the average value of thousand-grain weight (TGW) was obtained, which was calculated from the average weight of thousand grains in three samples per repetition, and the number of grains per hectare calculated by multiplying the number of grains per cob, by the number of cobs per hectare.

The EIL was established based on the relationship between the treatments of the average larvae densities per 10 plants and yield (kg ha-1). Calculations were based on the procedures described by Pedigo and Rice (2014) (Equation 2):

Where:

  • C: management tactic cost per production unit (COP ha-1)

  • V: market value per production unit (COP kg-1)

  • I: damaged unit per plague

  • D: loss or damage per damaged unit

  • K: proportional reduction in the attack of the plague

A simple linear regression was performed among the average larvae populations found in each of the treatments, with the average production (kg ha-1) that each yielded to obtain the damage function (D) and the damage per pest unit (I). The loss function was obtained as follows.

Where:

  • Y: yield per area

  • a: intercept constant

  • b: loss of yield per insect

  • x: number of insects (larvae) per area

Average larval density per ten plants in each treatment. This value was obtained by adding the population of each replicate recorded in the samplings made and dividing it by the eight samplings carried out during the vegetative crop stage.

Average control cost per treatment. This value was obtained by dividing the registered cost in all insecticide applications by the number of applications made per treatment.

Average number of applications per treatment. This value was obtained by adding the total number of applications in the repetitions per treatment and dividing it by the number of repetitions per treatment.

Income-cost difference. This value was obtained from the difference between maize sale revenue and management costs of S. frugiperda per treatment.

Average price per kilogram. Harvest production per ton was obtained from secondary information published in FENALCE (2017) for the department of Tolima. These values were added, and a general average was obtained.

Management cost per production unit (COP ha -1 ). It is the theoretical cost, Colombian currency, to lower the larvae population to zero (0). It was obtained from a linear regression Y=a+bx between the average population densities of larvae found in each of the established treatments with the average control cost (COP ha-1) obtained per treatment.

Establishment of the action threshold. This value was calculated considering the following parameters: the EIL for the insect in the crop, the efficacy of the product used, the intervals between samplings, and the growth rate of the pest population. This last parameter was obtained using a simple linear regression for the interval from 0 to 20 days after emergence (DAE), and another from 20 to 40 DAE, and the average population densities of the control treatment. Forty DAE was chosen because a linear tendency was observed until this stage, and then, there was a decrease due to the beginning of floral structure emission. Equation 3 was used to calculate the AT:

Where:

  • EIL: economic injury level (larvae per 10 plants)

  • PG: population growth (larvae per 10 plants per day)

  • TBS: time between samplings (days)

  • K: efficiency percentage of the control method used (expressed as a unit fraction)

An analysis of variance (ANOVA) and Tukey's mean comparison test at a 0.05 significance level were performed to establish statistical differences in the parameters evaluated. The assumptions of normality were checked using the Shapiro-Wilks test, and homogeneity of variances was carried out with Breusch-Pagan's test. For the relationships established, simple linear regressions were used with the calculation of the error measures, and the root means square error (RMSE).

All calculations were carried out employing the statistical program R v3.4.1 using the car, MASS, lmtest, zoo, and agricolae packages.

RESULTS AND DISCUSSION

Average larvae population density for hybrid 30F35R

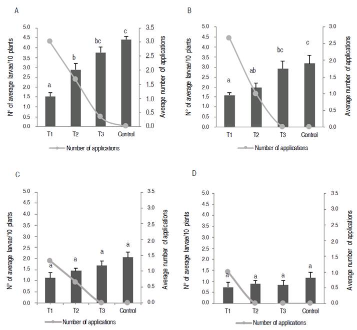
In the first cycle, significant statistical differences were recorded between the PAT treatments evaluated (F=28.94, d.f.=3.8, P=0.00012). The PAT of two and five larvae per 10 plants (T1 and T2) differed from the control treatment (T0) (Table 1, Figure 1A); meanwhile, between the PAT of 10 plants and the control, there were no significant differences. The population levels of the insect showed a direct relationship with different PATs evaluated. The number of applications during the experiment ranged from zero to one in the PAT of 10 larvae per 10 plants (T3), from one to two in the PAT of five larvae per 10 plants (T2), and three in the PAT of two larvae per 10 plants (T1). Furthermore, significant differences among these were registered (F=19.01, d.f.=3.8, P=0.000536). This number of applications in T1 agrees with Willink et al. (1993), who pointed out that up to three applications of insecticides were required to control S. frugiperda in the treatments evaluated.

Table 1: Effect of PAT on the 30F35R maize hybrid for S. frugiperda on yield and farmer income, from November 2015 to February 2016, in the municipality of Espinal (Tolima).

Relationship among the population levels of S. frugiperda (treatment thresholds), the average number of larvae per 10 plants, and the number of insecticide applications. A. Average number of larvae in hybrid 30F35R in the first cycle (from November 2015 to February 2016); B. Average number of larvae in hybrid 30F35HR in the first cycle (from November 2015 to February 2016); C. Average number of larvae in hybrid 30F35R in the second cycle (from August 2016 to January 2017); D. Average number of larvae in hybrid 30F35HR in the second cycle (from August 2016 to January 2017).

Figure 1: Relationship among the population levels of S. frugiperda (treatment thresholds), the average number of larvae per 10 plants, and the number of insecticide applications. A. Average number of larvae in hybrid 30F35R in the first cycle (from November 2015 to February 2016); B. Average number of larvae in hybrid 30F35HR in the first cycle (from November 2015 to February 2016); C. Average number of larvae in hybrid 30F35R in the second cycle (from August 2016 to January 2017); D. Average number of larvae in hybrid 30F35HR in the second cycle (from August 2016 to January 2017).

As shown in Table 1, there was an inverse relationship between the PAT and the number of applications, showing that when there were a lower average number of larvae per 10 plants, the number of applications carried out was higher. Average production (F=1.684, d.f.=3.8, P=0.2470) as well as the income-cost difference (F=0.579, d.f.=3.8, P=0.6450) did not show significant statistical differences. However, the control treatment (T0) showed lower values.

Despite not showing differences, it was evidenced that the population levels of the insect showed a direct relationship with the different PATs assessed. The number of applications during the experiment was zero for the PAT of 10 larvae (T3), between zero and one for the PAT of five larvae (T2), and between one and two for the PAT of two larvae (T1). Significant differences among these were registered (F=7.33, d.f.=3.8, P=0.011). Nonetheless, average production (F=4.23, d.f.=3.8, P=0.0523), as well as the income-cost difference (F=1.26, d.f.=3.8, P=0.352) did not show statistical differences.

Calculation of EIL for hybrid 30F35R

Insect damage unit per production unit. The damage caused by one larva for every ten plants was considered to calculate this value. In both cycles, an inverse linear relationship was found between the number of larvae of S. frugiperda and crop yield. Similarly, the returns were related to the control exercised in each of the treatments. For this hybrid, the relationship between infestation and yield was inverse (P=0.00257, R2=0.99, RMSE=93.52), finding a tendency for yield to decrease with a higher number of larvae. The loss function established was Y=11,342.53±203.68-1,202.08±61.25x. This function shows that with a potential theoretical yield of 11,343 kg ha-1 when the larvae population is zero, there is a risk of losing 1,202.08 kg when one extra larva is added, i.e., when larvae increase by 10% (equivalent to one larva for every ten plants). In the second cycle, the relationship between infestation and yield was again inverse (P=0.0791, R2=0.85, RMSE =629.4). However, there was a tendency for yield to decrease with a higher number of larvae. The established loss function was Y=17,868±2,131-4,420±1,323x. The findings mentioned above indicate that this pest caused significant losses in the production of maize in the area.

In the second cycle, there were no significant statistical differences between the PATs (F=3.61, d.f.=3.8, P=0.0649). Nevertheless, the control showed the highest levels, and the threshold of two larvae per 10 plants (T1) obtained the lowest levels (Table 2, Figure 1C).

Table 2: Effect of PAT on the 30F35R maize hybrid for S. frugiperda on yield and farmer income, from August 2016 to January 2017, and the first of 2017 in the municipality of Espinal (Tolima).

Management cost per production unit (COP ha-1)

The cost of achieving a total larvae control in the crop (number of larvae=0) was calculated based on what was reported by Santos et al. (2012) to obtain the potential theoretical cost to attain an insect population of zero. The cost generated by the cyclic application of insecticides in relation to the larvae population density was adjusted to a simple linear regression. In the first cycle, a coefficient of determination (R²) of 0.98 was found (P=0.00923, RMSE=0.146), and the function established was Y=4.271±0.1502-2.341×10 -6 ±0.0001x. In the second cycle, a coefficient of determination (R²) of 0.85 was recorded (P=0.0789, RMSE=0.131), and the function established was Y=1.856±0.012-4.856×10 -7 ±0.0001x. These regression models allowed calculating the theoretical cost management per production unit.

Market value per production unit (COP kg -1 ). The average price per ton in the harvest months, i.e., February-March of 2016 (first cycle) and January-February of 2017 (second cycle) was obtained, according to the regional report by FENALCE (2016, 2017) for the department of Tolima. This price was calculated for a kilogram of maize, resulting in COP 792.5±38.89 and COP 675±70.00 for the first and second cycles, respectively, for both hybrids (Tables 5 and 6).

Efficiency percentage of the product used. This study used the efficiency of Cypermethrin at 46.25% (Delgado et al., 2005), and the one of Chlorpyrifos was averaged to 88.08±4.17% (Tejeda-Reyes et al., 2016; Delgado et al., 2005). For each application, the average efficiency was calculated with the previous percentages, resulting in 74.14±5.27% in cycle one and 74.14±8.82% in cycle two. Once the variables described above were obtained, the EIL attained for S. frugiperda in the municipality of Espinal in the first cycle was 2.59 larvae per 10 plants and in the second cycle, it showed a value of 1.91 larvae per 10 plants (Tables 5 and 6). Considering these results, only when the above population levels of the insect are achieved, the management is necessary because bellow those levels, the economic income does not compensate the incurred costs.

Calculation of the AT for hybrid 30F35R

For the calculation of the threshold, the population densities of the control treatment used in the experiment were considered. In this analysis, a linear trend was observed until 40 DAE. From 40 to 60 DAE, a natural decline of the population was observed; therefore, no threshold was calculated for this interval. Considering the above mentioned, the daily growth rates of the pest were calculated using a simple linear regression between the average densities of larvae per treatment and the DAE for the intervals of 0 to 20 DAE and 20 to 40 DAE (Equations 4 to 7).

In the first cycle, the regression models found were:

In the second cycle, the regression models found were:

Finally, the AT was calculated considering the levels of economic damage previously established, the percentages of the efficacy of the products, and an inter-sampling interval for the farmer of four days. For the first cycle, the ATs obtained for this hybrid were 1.79≈1.8 larvae for 10 plants between 0 and 20 DAE, and 2.02≈2.0 larvae for 10 plants between 20 and 40 DAE. In the second cycle, the ATs for this hybrid was 1.82≈1.8 larvae for 10 plants between 0 and 20 DAE, and 1.74≈1.7 larvae for 10 plants between 20 to 40 DAE (Tables 5 and 6).

Serious injuries caused by S. frugiperda have been found in plants without Bt and with Cry1F, with a leaf damage score of 8.24 in non-Bt maize, and 8.09 in the Bt hybrid (HX1) in V9-V12 stages (Huang et al., 2014). These results could also be explained by the development of insect resistance events, which have already been documented in other countries such as Puerto Rico (Niu et al., 2014), Cuba (Téllez et al., 2016), and Brazil (Farias et al., 2014). Specifically, Niu et al. (2014) reported that in maize plants with Cry1F, resistant larvae survived in 72.9% of the plants after 12-15 days and caused a leaf lesion index of 5.7 (Davis scales of one to nine). In this case, the larvae survival in maize plants with Cry1F was not significantly different from the one observed in non-Bt maize hybrids.

The lower AT found for S. frugiperda in the hybrid without technology for the control of Lepidoptera, agrees with the results reported by Sosa and Vitti-Scarel (2004), who found that S. frugiperda caused lower damage intensity to transgenic genotypes in the evaluated periods in comparison with the conventional genotype. Furthermore, these results are also contrary to what has been reported by Ayala et al. (2013), who pointed out that transgenic maize was not affected by the pest; meanwhile, conventional maize plants showed injury above 18%.

Average larvae population density for hybrid 30F35HR

In the first cycle, there were significant statistical differences between the PATs evaluated (F=5.981, d.f.=3.8, P=0.01930) (Table 3, Figure 1B). The AT of 2 and 5 larvae per 10 plants (T1 and T2) differed from the control treatment (T0); meanwhile, between the AT of 10 larvae per 10 plants and the control, there were no differences. Moreover, the population levels of the insect showed a direct relationship with different ATs evaluated. The lowest population levels were achieved with an AT of 2 larvae per 10 plants (T1) and the highest when the control of S. frugiperda was not carried out. The AT of 2 larvae per 10 plants varied between two and three applications, and the AT of 5 larvae per 10 plants varied between zero and two applications. The AT of 10 larvae per 10 plants did not register applications. Similarly, there were significant differences between these (F=13.46, d.f.=3.8, P=0.0017). The average production showed significant differences (F=5.76, d.f.=3.8, P=0.0213), but the income-cost difference did not (F=0.672, d.f.=3.8, P=0.5930). However, the threshold of 2 larvae per 10 plants showed a difference between the cost and the control income of COP 854,399 (Tables 3 and 5). Further, the yield decreased by 2,374 kg ha-1 in the control compared to the threshold of two larvae per 10 plants.

Table 3: Effect of PAT on the 30F35HR maize hybrid for S. frugiperda on yield and farmer income from November 2015 to February 2016 in the municipality of Espinal (Tolima).

In the second cycle, there were no significant statistical differences between the PAT treatments evaluated (F=3.621, d.f.=3.8, P=0.0646) (Table 4, Figure 1D). Further, no direct relationship was found between insect population levels and the different ATs evaluated. The lowest population levels were found at the AT of two larvae per 10 plants (T1) and the highest when the control of S. frugiperda was not carried out. The AT of two larvae per 10 plants had one application; meanwhile, the other thresholds did not register applications. In the same way, there were significant differences between these (F=6.23, d.f.=3.8, P=0.0117). The average production (F=1.321, d.f.=3.8, P=0.333) as well as the income-cost difference did not show significant differences (F=0.532, d.f.=3.8, P=0.673).

Table 4: Effect of pre-established action thresholds on the 30F35HR maize hybrid for S. frugiperda on yield and farmer income, from August 2016 to January 2017 in the municipality of Espinal (Tolima).

Calculation of EIL in hybrid 30F35HR

Insect damage unit per production unit. The damage caused by one larva for every ten plants was considered. An inverse linear relationship was found between the number of larvae of S. frugiperda and maize yield (P=0.0001, R2=0.84, RMSE=384.3); however, it was not significant at 0.05. In this hybrid, a tendency to decrease the yield was observed with a higher number of larvae. The loss function established was Y=10,900.4±1,042.7-1,334.8±417.3x. This function shows that with a potential theoretical yield of 10,900±1,042.7 kg ha-1, when the population of larvae is zero (0), there is a risk of losing 1,334.8±417.3 kg when a larva is added for every 10 plants, that is, when there is a 10% increase (equivalent to one larva for every ten plants). In the second cycle, there was no relationship between infestation and yield (P=0.9952, R2=2.265×10-5, RMSE=0.197), and therefore the EIL and the AT were not calculated.

Management cost per production unit (COP ha -1 ). The cost generated by applications of insecticides concerning the larvae population density was adjusted to a simple linear regression (P=0.07725, RMSE=0.2509), presenting a coefficient of determination of R²=0.85. The function established was Y=2.918±0.2319-1.433×10 -6 ±0.0001x. The above formula allowed calculating the theoretical management cost per production unit (Tables 5 and 6).

Table 5: Calculation of the EIL and two action thresholds (ATs) for S. frugiperda in the cultivation of the maize hybrid 30F35HR in the first cycle (from November 2015 to February 2016). Municipality of Espinal (Tolima).

Table 6: Calculation of the EIL and two action thresholds (ATs) for S. frugiperda in the cultivation of the maize hybrid 30F35HR in the second cycle (from August 2016 to January 2017). Municipality of Espinal (Tolima).

Market value per production unit (COP kg -1 ). The same criteria were used in the hybrid 30F35R (Tables 5 and 6).

Efficiency percentage of the product used. The same criteria were used as in the hybrid 30F35R, calculating the average efficiency in each application using the previous percentages, resulting in 69.07±6.59%. Once the variables described above were obtained, the EIL for S. frugiperda was 2.79 larvae for every 10 plants evaluated (Tables 5 and 6). This allows deducing that when this larvae population level is reached, economic losses are recorded.

Calculation of the action threshold

To calculate the AT, control treatment densities were used in the experiment. In this, an upward linear trend was observed up to 20 DAE, then, a decrease, and afterward, an increase up to 40 DAE were observed. Considering the above, the daily growth rates of the pest were calculated using a simple linear regression between the average larvae densities per treatment and DAE for the intervals of 0 to 20 DAE and from 20 to 40 DAE. The equations found were Y=0.2540±0.007x from 0 to 20 DAE (R2=0.91 P=0.04591, RMSE=0.75) and Y=0.1186±0.0005x (R2=0.99 P=0.026) from 20 to 40 DAE.

Considering the previously established EIL, the efficacy percentage of the insecticide products and a sampling interval of four days for the farmer, an AT of 2.07≈2.1 larvae for 10 plants between 0 and 20 DAE and 2.46≈2.5 larvae for 10 plants between 20 to 40 DAE for the hybrid 30F35HR was calculated (Tables 5 and 6).

The threshold found during the first cycle in the hybrid with technology for Lepidoptera (Cry1F gene of Bacillus thuringiensis) indicates that, although the genotype has a certain amount of control, this pest causes significant losses in the production of maize in the study area. Although the maize hybrid 30F35HR (Cry1F) was presented as highly tolerant to S. frugiperda (Pioneer, 2018) and capable of decreasing the losses caused by the insect (Buso and Borges e Silva 2018), in the current experiment, the insect affected its yield.

This resistance event could be explained because there are cases where larvae infestations in genetically modified maize are severe (Hardke et al., 2011), and when there are more species that attack the crop, the level of protection may not be adequate, and thus, supplementary applications of insecticide are necessary (Shelton et al., 2008). This is contrary to what has been found by Siebert et al. (2008), who proved that hybrids that express the Cry1F toxin provided an excellent level of protection against the pest. Despite its reduced effect in this study, transgenesis used in hybrids causes a mechanism known as antibiosis, where the feeding behavior of an insect can be affected (Louis et al., 2010). This explains why the resulting threshold in the hybrid with technology for insects was higher than in the conventional maize (without technology), achieving adverse effects in the life cycle of S. frugiperda, such as females with reduced fecundity, alterations in adult size, presence of deformed or abnormal adults, increase in pupae mortality and supernumerary larval stages (Murúa et al., 2013).

Murúa et al. (2013) showed that regardless of the treatment when evaluating the maize throughout the vegetative state, the authors ensured that in the transgenic Herculex®, the plants remained undamaged or with “pin-hole" type lesions in the leaves. Furthermore, De Araujo et al. (2012) concluded that the hybrid P 3041YG showed lower damage by S. frugiperda showing a higher biomass and grain yield in comparison with the conventional hybrid P 3041.

The AT experiment that was carried out in this study differs from the one carried out by Fernández (2002), who used a conventional unspecified maize seed and used Bacillus thuringiensis to control the insect pest; while in this study, regional available chemical insecticides as well as specified transgenic seeds were used (30F35HR). The thresholds were established in two periods of the vegetative stage because, according to Willink et al. (1993) and Jaramillo-Barrios et al. (2019), the first growth stages are more susceptible and show a higher larval population. Moreover, the highest amount of S. frugiperda damage occurs with larval populations being more stable throughout this phase and decreasing during the beginning of the reproductive phase of maize (Murúa et al., 2006).

CONCLUSIONS

Spodoptera frugiperda was found in the 30F35R maize hybrid, causing decreases in yield, highlighting the economic importance of this insect. In the 30F35HR hybrid (with Cry1F protein), yield reductions were found in the first cycle, which allows deducing that, in some crop cycles, the Cry1F protein does not exert total control over the larval populations of S. frugiperda. Considering this, the complementary control of this insect is necessary for these hybrids in the Tolima region.

The EILs calculated of 2.6 and 1.9 average larvae for 10 plants in the first and second cycle and 2.8 in 30F35HR in the first cycle and their respective thresholds for the periods of 0-20 DAE and 20-40 DAE, constitute the first approach to building an integrated pest management strategy for S. frugiperda. Nonetheless, studies are needed in other genotypes and localities in conjunction with integrated management strategies to reduce larval populations in maize crops.

The findings of this study will serve as an alert for possible resistance events for S. frugiperda in transgenic maize crops at the Tolima region. It is necessary to establish further evaluations in different localities and hybrids to corroborate this.

The thresholds and EILs determined in the genetically modified maize plants of this study suggest the implementation of an integrated pest management, which includes monitoring, follow up to population fIuctuations, and cultural practices; moreover, there are also other preventive management and knowledge strategies of the natural enemies of the agroecosystem that could be jointly used.

Acknowledgements

ACKNOWLEDGEMENTS

The authors thank Ministerio de Agricultura y Desarrollo Rural (MADR) for funding this study. Moreover, also to Corporación Colombiana de Investigación Agropecuaria (Agrosavia) and its research center C.I. Nataima.

REFERENCES

  1. Ayala OR, Navarro F and Virla EG. 2013. Evaluation of the attack rates and level of damages by the fall armyworm, Spodoptera frugiperda [Lepidoptera: Noctuidae], affecting corn-crops in the northeast of Argentina. Revista Facultad de Ciencias Agrarias 45(2): 1-12. 🠔
  2. Blanco CA, Pellegaud JG, Nava-Camberos U, Lugo-Barrera D, Vega-Aquino P, Coello J, Terán-Vargas AP and Vargas-Camplis J. 2014. Maize pests in México and challenges for the adoption of Integrated Pest Management Programs. Journal of Integrated Pest Management 5(4): 1-9. doi: 10.1603/ipm14006 [DOI] 🠔
  3. Burtet LO, Bernardi O, Melo AA, Pes MP, Strahl TT and Guedes JVC. 2017. Managing fall armyworm, Spodoptera frugiperda (Lepidoptera: Noctuidae) with Bt maize and insecticides in southern Brazil. Pest Management Science 73(12): 2569-2577. doi: 10.1002/ps.4660 [DOI] 🠔
  4. Buso WHD and Borges e Silva L. 2018. Chapter 5: Use of technology to increase the productivity of corn in Brazil. pp. 57-66. In: El-Esawi MA. (ed.). Maize germplasm - Characterization and genetic approaches for crop improvement. IntechOpen Limited, London. 90 p. 🠔
  5. Casmuz A, Juárez ML, Socías MG, Murúa MG, Prieto S, Medina S, Willink E y Gastaminza G. 2010. Revisión de los hospederos del gusano cogollero del maíz, Spodoptera frugiperda (Lepidoptera: Noctuidae). Revista de la Sociedad Entomológica Argentina 69(3-4): 209-231. 🠔
  6. Cruz I, Figueiredo MLC, Da Silva RB, da Silva IF, Paula CS and Foster JE. 2012. Using sex pheromone traps in the decision-making process for pesticide application against fall worm (Spodoptera frugiperda) [Smith] [Lepidoptera: Noctuidae]) larvae in maize. International Journal of Pest Manage 58(1): 83-90. doi: 10.1080/09670874.2012.655702 [DOI] 🠔
  7. De Araujo LF, Da Silva AG, Cruz I, Do Carmo EL, Neto AH, Goulart MMP e Rattes JF. 2012. Flutuação populacional de Spodoptera frugiperda (J. E. SMITH), Diatraea saccharalis (FABRICIUS) e Doruluteipes (SCUDDER) em milho convencional e transgénico Bt. Revista Brasilera de Milho e Sorgo 10(3): 205-214. doi: 10.18512/1980-6477/rbms.v10n3p205-214 [DOI] 🠔
  8. Delgado JC, Hernández J, Velázquez C, Rangel E, Chaurand Ruiz R, Garcidueñas R y Sánchez G. 2005. Evaluación y validación de la efectividad biológica de 14 insecticidas en maíz contra el gusano cogollero (Spodoptera frugiperda) en valle de Santiago, Gto. En: Programa de sanidad vegetal SAGARPA, En: Programa de sanidad vegetal SAGARPA, https://es.scribd.com/document/381817618/InformefinalEEB-Spodoptera-frugiperda 8 p. consulta: junio 2019. [URL] 🠔
  9. Farias JR, Andow DA, Horikoshi RJ, Sorgatto RJ, Fresia P, Santos AC and Omoto C. 2014. Field-evolved resistance to Cry1F maize by Spodoptera frugiperda (Lepidoptera: Noctuidae) in Brazil. Crop Protection 64: 150-158. doi: 10.1016/j.cropro.2014.06.019 [DOI] 🠔
  10. FENALCE. 2016. Indicadores Cerealistas 2016 A. En: Federación nacional de cultivadores de cereales y leguminosas En: Federación nacional de cultivadores de cereales y leguminosas http://www.fenalce.org/archivos/IndicadorCerealista2016A.pdf . 71 p. consulta: junio 2019. [URL] 🠔
  11. FENALCE. 2017. Indicadores Cerealistas 2017 A. En: Federación nacional de cultivadores de cereales y leguminosas, En: Federación nacional de cultivadores de cereales y leguminosas, http://www.fenalce.org/archivos/Indicadorcerealista2017.pdf . 89 p. consulta: junio 2019. [URL] 🠔
  12. Fernández JL. 2002. Estimación de umbrales económicos para Spodoptera frugiperda (J.E. Smith) (Lepidoptera: Noctuidae) en el cultivo del maíz. Investigación agraria. Producción y Protección Vegetales 17(3): 467-474. 🠔
  13. Foresti J, Bastos CS, Fernandes FL and da Silva PR. 2017. Economic injury level and economic thresholds for Leptoglossus zonatus (Dallas) (Hemiptera: Coreidae) infesting seed maize. Pest Management Science 74(1): 149-158. doi: 10.1002/ps.4671 [DOI] 🠔
  14. González-Maldonado MB, Gurrola-Reyes JN y Chaírez-Hernández I. 2015. Productos biológicos para el control de Spodoptera frugiperda (Lepidóptera: Noctuidae). Revista Colombiana de Entomología 41(2): 200-204. 🠔
  15. Hardke JT, Leonard BR, Huang F and Jackson RE. 2011. Damage and survivorship of fall armyworm (Lepidoptera: Noctuidae) on transgenic field corn expressing Bacillus thuringiensis cry proteins. Crop Protection 30(2): 168-172. doi: 10.1016/j.cropro.2010.10.005 [DOI] 🠔
  16. Hernández-Trejo A, Osorio-Hernández E, López-Santillán JA, Ríos-Velasco C, Varela-Fuentes SE and Rodríguez-Herrera R. 2018. Insectos benéficos asociados al control del gusano cogollero (Spodoptera frugiperda) en el cultivo de maíz (Zea mays L.). Agroproductividad 11(1): 9-14. 🠔
  17. Huang F, Qureshi JA, Meagher RL, Reisig DD, Head GP, Andow DA, Ni X, Kerns D, Buntin GD, Niu Y, Yang F and Dangal V. 2014. Cry1F Resistance in fall armyworm Spodoptera frugiperda: Single gene versus pyramided Bt maize. PLoS One 9(11): e112958. doi: 10.1371/journal.pone.0112958 [DOI] 🠔
  18. IRAC - Insecticide Resistance Action Committee. 2017. Mode of action classification scheme. In: Insecticide resistance action committee, In: Insecticide resistance action committee, https://www.irac-online.org/documents/moa-classification/ accessed: October 2017. [URL] 🠔
  19. Jaramillo-Barrios CI, Barragan-Quijano E and Monje-Andrade B. 2019. Populations of Spodoptera frugiperda (Lepidoptera: Noctuidae) cause significant damage to genetically modified corn crops. Revista Facultad Nacional de Agronomía Medellín 72(3): 8953-8962. 🠔
  20. Louis J, Lorenc‐Kukula K, Singh V, Reese J, Jander G and Shah J. 2010. Antibiosis against the green peach aphid requires the Arabidopsis thaliana Myzus persicae-induced lipase1 gene. The Plant Journal 64(5): 800-811. doi: 10.1111/j.1365-313X.2010.04378.x [DOI] 🠔
  21. Murúa G, Molina-Ochoa J and Coviella C. 2006. Population dynamics of the fall armyworm, Spodoptera frugiperda (Lepidoptera: Noctuidae) and its parasitoids in northwestern Argentina. Florida Entomologist 89(2): 175-182. doi: 10.1653/0015-4040(2006)89[175:PDOTFA]2.0.CO;2 [DOI] 🠔
  22. Murúa MG, García Degano MF, Pereira MA, Pero E, Willink E y Gastaminza G. 2013. Eficacia en campo del maíz Herculex® I para el control de Spodoptera frugiperda (Smith) (Lepidóptera: Noctuidae) en el Noroeste Argentino. Revista Industrial y Agrícola de Tucumán 90(1): 37-43. 🠔
  23. Nielsen RL. 2004. Estimating corn grain yield prior to harvest. In: Purdue University, In: Purdue University, https://www.agry.purdue.edu/ext/corn/news/articles.04/YieldEst-0718.pdf 4 p.; accessed: June 2019. [URL] 🠔
  24. Niu Y, Yang F, Dangal V and Huang F. 2014. Larval survival and plant injury of Cry1F-susceptible, -resistant, and -heterozygous fall armyworm (Lepidoptera: Noctuidae) on non-Bt and Bt corn containing single and pyramided genes. Crop Protection 59: 22-28. doi: 10.1016/j.cropro.2014.01.005 [DOI] 🠔
  25. Pedigo LP and Rice ME. 2014. Entomology and pest management. Waveland Press, Inc. Long Grove, IL. 🠔
  26. Pioneer 2018. Maíz 30F35. En: En: https://www.pioneer.com/CMRoot/International/Argentina/productos_y_servicios/OnePage_30F35.pdf . 1 p.; consulta: octubre 2017. [URL] 🠔
  27. Prasanna BM, Huesing JE, Eddy R and Peschke VM. 2018. Fall armyworm in Africa: A guide for integrated pest management. First edition. Oakside Editorial Services. Mexico, CDMX: CIMMYT. 109 p. 🠔
  28. Santos O, Varón EH, Gaigl A and Floriano J. 2012. Nivel de daño económico para Neohydatothrips signifer (Thysanoptera: Thripidae) en maracuyá en el Huila, Colombia. Revista Colombiana de Entomología 38(1): 23-29. 🠔
  29. Shelton AM, Romeis J and Kennedy GG. 2008. IPM and insect-protected transgenic plants: thoughts for the future. pp. 419-429. In: Integration of insect-resistant genetically modified crops within IPM Programs. Springer, Netherlands. 441 p. 🠔
  30. Siebert MW, Tindall KV, Leonard BR, Van Duyn JW and Babcock JM. 2008. Evaluation of corn hybrids expressing CrylF (Herculex® I insect protection) against fall armyworm (Lepidoptera: Noctuidae) in the southern United States. Journal of Entomological Science 43(1): 41-51. doi: 10.18474/0749-8004-43.1.41 [DOI] 🠔
  31. Sosa MA and Vitti-Scarel DE. 2004. Impacto del gusano cogollero (Spodoptera frugiperda Smith) en maíces Bt en el norte santafesino. En: Universidad Nacional del Nordeste, Comunicaciones Científicas y Tecnológicas en Argentina, En: Universidad Nacional del Nordeste, Comunicaciones Científicas y Tecnológicas en Argentina, http://host140.200-45-54.telecom.net.ar/unnevieja/Web/cyt/com2004/5.../A-020.pdf . 3p. consulta: junio 2019. [URL] 🠔
  32. Tejeda-Reyes MA, Solís-Aguilar JF, Díaz-Nájera JF, Peláez-Arroyo A, Ayvar-Serna S and Mena-Bahena A. 2016. Evaluación de insecticidas en el control de gusano cogollero Spodoptera frugiperda J. E. Smith (Lepidóptera: Noctuidae) en maíz en Cocula, Guerrero. Entomología Mexicana 3(1): 391-394. 🠔
  33. Téllez P, Ayra C, Morán-Bertot I, Rodríguez-Cabrera L, Sosa AE, Oliva O, Ponce M, Riverón A, Hernández D and Rodríguez-de la Noval C. 2016. New knowledge on insect-resistance management for transgenic Bt corn. Biotecnología Aplicada 33(1): 1511-1513. 🠔
  34. Willink E, Osores VM y Costilla MA. 1993. Daños, pérdidas y niveles de daño económico por Spodoptera frugiperda (Lepidoptera: Noctuidae) en maíz. Revista Industrial y Agrícola de Tucumán 70(1-2): 49-52. 🠔