Revista Facultad Nacional de Agronomía Medellín
0304-2847
2248-7026
Facultad de Ciencias Agrarias - Universidad Nacional de Colombia
https://doi.org/10.15446/rfnam.v73n2.80104

Recibido: 9 de junio de 2019; Aceptado: 26 de marzo de 2020

Vermicomposting: a transformation alternative for rumen content generated in slaughterhouses

Vermicompostaje: una alternativa de transformación del contenido ruminal generado en mataderos

L. Bohórquez-Sandoval, 1F. García-Molano, 2W. Murillo-Arango, 34J. Cuervo-Bejarano, 5 N. Pulido-Soler, 6

Colegio INEM Carlos Arturo Torres. Carrera 15 No. 9 A-72 Barrio Paraíso. Tunja, Colombia. <johannajoyi@yahoo.es> Colegio INEM Carlos Arturo Torres Tunja Colombia
Fundación Universitaria Juan de Castellanos. Cra. 11 No. 11-70. Tunja, Colombia. Fundación Universitaria Juan de Castellanos Fundación Universitaria Juan de Castellanos Tunja Colombia
Facultad de Ciencias. Universidad del Tolima. Cl 42 N° 1-02. Ibagué, Colombia. Universidad del Tolima Facultad de Ciencias Universidad del Tolima Ibagué Colombia
Universidad de Manizales. Cra. 9A No. 19-03. Manizales, Colombia. Universidad de Manizales Universidad de Manizales Manizales Colombia
Uniminuto Zipaquirá. Av. 15 No. 1-22 Sur La Fragüita. Zipaquira, Colombia. Uniminuto Zipaquirá Zipaquira Colombia
Universidad Pedagógica y Tecnológica de Colombia. Avenida Central del Norte 39-115, 150003. Tunja, Colombia. Universidad Pedagógica y Tecnológica de Colombia Universidad Pedagógica y Tecnológica de Colombia Tunja Colombia

ABSTRACT

Rumen content is a waste produced in slaughterhouses. This type of solid waste can cause bad odor and atmospheric pollution if discharged directly into the environment. Additionally, it may spread disease due to the nesting vectors, and the resulting leachate can lead to groundwater contamination. The objective of this study was to determine the suitability of rumen content, waste generated in the slaughterhouse of Villapinzón (Cundinamarca), as raw material for biological transformation into vermicompost at the Fertisoluciones facilities. The characteristics of the rumen content were analyzed, and during the transformation process, three volumetric capacities (T1: 5.94 m3, T2: 23.01 m3, and T3: 16.74 m3) of compost bed were evaluated for 105 days. Through a principal component analysis, the data was reduced in two dimensions that explained 65.8% of the total variance; the first component related to the number of juvenile individuals, high pH, low moisture and temperature; and the second component related to numbers of adults individuals and high temperatures. The earthworm growth rate was determined by the food quality, as well as by bed size. Microbiological and physicochemical analyses were performed on the resulting vermicompost, demonstrating that the transformation process of rumen material into organic fertilizer, performed in Fertisoluciones facilities, fulfills the parameters required by the NTC5167 standard. This study showing the possibility of using a slaughterhouse's solid waste and convert it into a valuable product to an industrial scale.

Keywords:

Rumen content, Solid waste, Vermicompost.

RESUMEN

El contenido rumen es un subproducto producido en los mataderos. Este tipo de desecho sólido puede causar mal olor y contaminación atmosférica si se descarga directamente al medio ambiente. Además, puede propagar enfermedades debido a los vectores que puede albergar, y el lixiviado resultante puede conducir a la contaminación de las aguas subterráneas. Este estudio tuvo como objetivo determinar la idoneidad del material rumen, residuo generado en la planta de sacrificio de Villapinzón (Cundinamarca), como materia prima para la transformación biológica en vermicompost en la planta de Fertisoluciones. Se analizaron las características del contenido rumen en el proceso de transformación, y se evaluaron tres tratamientos diferenciados por el volumen de las camas de compostaje (T1: 5,94 m3, T2: 23,01 m3 y T3: 16,74 m3), durante un periodo de 105 días. El pH, la humedad, la temperatura y la densidad poblacional de la lombriz fueron monitoreados. A través de un análisis de componentes principales, se redujo la dimensionalidad de los datos a dos dimensiones que explican cerca del 65,8% de la varianza, la primera relacionada con el número de individuos juveniles, la baja humedad y temperatura, y la segunda relacionada con el número de individuos adultos y temperaturas más altas. La tasa de crecimiento de la lombriz estuvo determinada por la calidad del alimento así como por el tamaño de la cama. El vermicompost obtenido se analizó microbiológica y fisicoquímicamente, demostrando que el proceso de transformación de material ruminal en abono orgánico realizado en la planta Fertisoluciones, está dentro de los parámetros de inocuidad exigidos por la NTC 5167. Este estudio muestra la posibilidad de utilizar un residuo sólido de matadero y convertirlo en un producto valioso a escala industrial.

Palabras clave:

Contenido ruminal, Residuos sólidos, Vermicompost.

Solid waste generation in beef cattle slaughterhouses causes sources of contamination. This waste increases the organic load in nearby effIuents since it is deposited into water sources or even landfills - a practice that promotes soil, air, and water pollution.

This situation is especially difficult since, in Colombia, 104 of the 286 animal benefit plants have been closed, 179 are open with definitive sanitary authorizations, and two have not been monitored by guvernamental entities yet (Triana, 2019), indicating a more considerable lack of regulation by state entities.

During the first trimester of 2010, approximately 30,000 t of rumen content was produced in Colombia, a high contaminating organic load (Ríos and Ramírez, 2012). The Chemical Oxygen Demand (COD) of slaughterhouse-generated waste is evident from their fats, proteins, salts, and suspended and dissolved solids. It is estimated that one beef cow generates approximately 4.42 kg of Biological Oxygen Demand (BOD5), 12.64 kg COD, and 4.08 kg of Total Suspended Solids (TSS) (Corantioquia, 2016).

However, rumen content, given its physicochemical and microbiological characteristics, constitutes the ideal raw material for annelid feed and vermicompost production. The decomposition of this material occurs through microbial interactions generated by the presence of polymers, such as cellulose, hemicellulose, lignin, and structural proteins, among other molecules. According to Jara et al. (2016), rumen content contains a significant microbial load, which interacts with those microorganisms present in earthworms' digestive tracts (Brito-Vega and Espinosa-Victoria, 2009).

Pseudomonas spp. are microorganisms that inhabit the rumen content (Castro et al., 2018) and play an important role as phosphorus solubilizers (Pincay et al., 2014). On the other hand, the presence of Aeromonas sp. (40%), Bacillus sp. (37%), Photobacterium sp. (10%), Pseudomonas spp. (7%), and Shewanella sp. (6%) were reported in the digestive tract of earthworms in composted cattle manure at 20 °C, with 70% of moisture (Hong et al., 2011).

Rumen content management with earthworms aids in the stabilization of soil properties, enhances microorganism populations. Plant nutrition processes are also benefited by improving the fertilizers used. Adding organic material to the soil increases the cation-exchange capacity, elevates the water holding content, and simultaneously decreases the apparent density, which increases porosity (Zapata and Osorio, 2013; Blasco and Burbano, 2015).

Rumen content could be a valuable raw material for vermicompost preparation. According to Rafaelli et al. (2005), it is composed of a protein percentage of 10.40%, ether extract of 2.84%, a raw fiber of 34.29%, a nitrogen-free extract of 37.21%, ash of 15.85%, neutral detergent fiber (NDF) of 65.14%, acid detergent fiber (ADF) of 41.19%, hemicellulose 23.95% of lignin 14.13%, and cellulose of 27.05%. The aim of this research was to evaluate the quality, in terms of chemical, microbiological composition, physical condition, and enzymatic activity of organic fertilizer obtained from vermicomposted rumen content.

MATERIALS AND METHODS

Geographical location

This study was carried out in the Fertisoluciones S.A. processing plant, located in the department of Boyacá, in the municipality of Ventaquemada, Bojirque settlement in a 6,400 m2 area at an altitude of 2,829 m, 05°23'46'' N, 73°29'00'' W, with an average temperature of 11 °C.

Raw material characterization

The rumen content was obtained from the slaughterhouse of Villapinzón municipality (Cundinamarca) and was stored in 10 m3 piles for 120 days; the piles were covered with a plastic film to prevent contamination and dehydration. The physicochemical analyses were performed according to NTC 5167 (ICONTEC, 2011): Percentage of total oxidizable organic carbon, density, moisture content, percentage of total organic nitrogen, pH, C/N ratio, Pseudomonas spp. (CFU count was performed). Phosphatase activity was measured according to the method described by Anderson et al. (1975), using p-nitrophenyl phosphate as a substrate for the reaction, which was determined spectrophotometrically at 400 nm. Cellulase activity was determined through the method of Schinner and von Mersi (1990) using carboxymethyl cellulose as substrate; cellulase activity was measured at 540 nm. Both enzymatic activities were measured through a GENESYS TM 20 spectrophotometer and expressed as µmol min-1 g-1 of p-nitrophenol and glucose, respectability.

Transformation process and physicochemical analysis

The rumen content was piled into beds of three different volumes, corresponding to the experimental treatments: Treatment 1 (T1): 5.94 m3, Treatment 2 (T2): 23.01 m3, and Treatment 3 (T3): 16.74 m3. These were monitored every 15 days for a total of a 105-day evaluation period, i.e., seven sampling times (S1: 15 d, S2: 30 d, S3: 45 d, S4: 60 d, S5: 75 d, S6: 90 d, and S7: 105 d). There were placed a Halthen thermometer in three different locations within the bed piles at a depth between 5 and 10 cm. From each vermicompost bed, 23 samples were taken randomly following a zig-zag pattern, at a depth of 5 and 10 cm, which were mixed to obtain a composite sample of 1 kg. Then, it was separated into two 500-g samples. The first one was used to determine physicochemical characteristics, and the second one was used to determine the density of earthworm populational. The earthworm population density was calculated considering the capsule, juvenile, and adult stages (Equation 1) (Schuldt et al., 1998).

Vermicompost analysis

After 105 days, a sample of 500 g was taken to assess the final product qualities. Physicochemical characteristics, which included: color, particle size, pH, moisture, macronutrients (N, P, K, Ca, Mg), micronutrients (Mn, Zn, Na), Organic Carbon (OC), Cation Exchange Capacity (CEC), the CEC/OC ratio, Electric Conductivity (EC), Water Holding Capacity (WHC), and the C/N density and ratio were evaluated. A sample of 500 g was taken to evaluate the microbiological quality and physic-chemical conditions of the vermicompost according to the NTC5167 standard (ICONTEC, 2011). Enterobacteria, Salmonella sp., mesophiles, thermophiles, molds, yeasts, nematodes, protozoa, and Pseudomonas spp. were quantified. Additionally, phytotoxic and respirometric tests were performed, and phosphatase and cellulase activity were determined. The results of the final product were contrasted with the NTC5167 standard (ICONTEC, 2011), as well as other vermicomposts which have resulted from similar processes.

Statistical analysis

The data from Vermicompost analyses were analyzed through principal component analysis (PCA) to determine variable correlations and reduce dimensionality (et al., 2008) (R Core Team, 2018). The number of adults, juvenile, and capsule individuals was employed as active variables, while days and treatments were used as supplementary qualitative variables. The Principal components or Dimensions were retained according to Kaiser's rule (Kaiser, 1991).

RESULTS AND DISCUSSION

Raw material quality

Table 1 shows that the OC content is quite high. This value is due to the organic composition of this material, which is composed of carbohydrates (52%), lignin (20%), nitrogenated compounds (12%), lipids (3.5%), organic acids (2.5%), and other components (10%) (Blasco and Burbano, 2015). Thus, this is a complete source of nutrients required for eartworms' metabolism (Espinosa-Victoria et al., 2018). High C content slows decomposition, which may explain the mineralization rate value (Table 1). Khwairakpam and Kalamdhad (2011) reported values of 44.8, 41.1, and 38.4% (on 15, 30, and 45 days, respectively) in the total C content in a mixture of plant residues and vermicomposted cattle manure, it is possibly due to a decrease in carbon content related to earthworms activity, such as, organic matter oxidation; the OC value (41.1%) is similar to that reported here.

Table 1: Chemical, microbiological composition, and enzymatic activity of rumen content at the Villapinzón plant (Cundinamarca).

In the rumen-based vermicompost, the total nitrogen content was 2.26% (Table 1), higher than vermicomposted materials based on manures from rabbit (1.41%), horse (1.51%), and chicken (1.34%) (Rotondo et al., 2009). These authors mention that N is in mineral and organic form, and its content in the vermicomposting process tends to decrease due to the nitrogen mineralization mediated by earthworms actions. This transformation may be related to the source of food for the cows from which ruminal material was obtained, or to the greater ingestion of tender forage with high content of structural proteins, which is not easily degradated and generates an increase in nitrogen percentage, following what Eulloque Guerrero (2013) stated. The increase in total nitrogen content is produced by mineralization and microbial fixing processes of atmospheric nitrogen (Camiletti, 2016). Simultaneously, the high organic carbon percentage of the ruminal material is a source of energy for microorganisms, and the nitrogen content contributes to the formation of new microbial cells (Blasco and Burbano, 2015).

Regarding density, it may be affirmed that vermicompost is a very light material. However, it has a high WHC, principally of molecules such as cellulose, hemicellulose, protein, and lignin, which are insoluble in water and permits an increase in weight. It may retain up to 83.2%, as determined in the analysis. This property is in agreement with those reported by Eulloque Guerrero (2013), who found that ruminal content has a moisture average near to 85%.

The pH thereof is strongly alkaline, possibly owing to the presence of more anions than cations, similar to Shrestha's et al. (2011) findings in a rumen content composted for three months. Methanogenic microorganisms also help to maintain the pH between 7.8 and 8.2 due to their metabolic processes.

Rumen content reported 9.55×104 CFU g-1 of Pseudomonas spp., within which phosphate and cellulolytic solubilizers may be present. Table 1 also reports enzymatic activity for phosphate and cellulose. The presence of these organisms is a result of phosphate compounds, such as phytin, which are found in grain straw, in rumen content. Also, ATP and phospholipid molecules are affected by phosphate solubilizers. Since cellulose activity was found in the raw material, it could indicate the presence of microorganisms able to synthetize this enzyme, which coincides with the results obtained by Quintero (2014).

pH, moisture and temperature behavior during the transformation

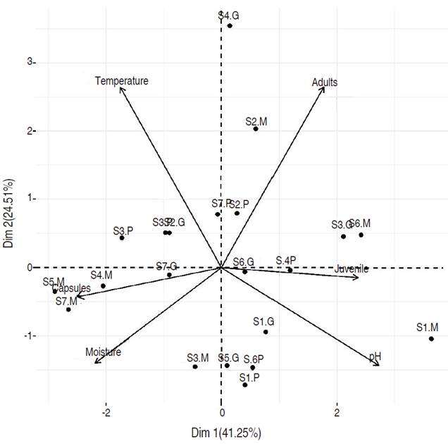
Principal components (PC) or dimensions 1 and 2 were chosen according to Kaiser's rule, which states that PCs with eigenvalues greater than one should be retained (Kaiser, 1991). Dimensions 1 and 2 explain 41.25% and 24.51% of the variance, respectively. In Dimension 1, those with the highest weight were: juveniles, capsules, pH, and the moisture percentage. For Dimension 2, these were temperature and adults (Figure 1).

PCA of the different volume treatments (T1: 5.94 m3, T2: 23.01 m3, and T3: 16.74 m3) at seven sampling times (S1: 15 d, S2: 30 d, S3: 45 d, S4: 60 d, S5: 75 d, S6: 90 d, and S7: 105 d) of the vermicompost transformed from ruminal content. The measured variables were the earthworms stages (Capsule, Juvenile, Adult), Temperature, Moisture, and pH of the vermicompost.

Figure 1: PCA of the different volume treatments (T1: 5.94 m3, T2: 23.01 m3, and T3: 16.74 m3) at seven sampling times (S1: 15 d, S2: 30 d, S3: 45 d, S4: 60 d, S5: 75 d, S6: 90 d, and S7: 105 d) of the vermicompost transformed from ruminal content. The measured variables were the earthworms stages (Capsule, Juvenile, Adult), Temperature, Moisture, and pH of the vermicompost.

The influence of temperature and pH on the number of adult individuals is null, which may indicate independence between those variables within the observed values. The number of juveniles tends to be higher in alkaline pH and is not affected by humidity or temperature. Moist, warm environments and acidic pH tend to increase the number of capsules (Figure 1).

Prasanna (2016) reports that, at a temperature range of 0-40 °C, the earthworms perform the vermicomposting process. However, their regeneration capacity is between 25 and 40 °C. Ramnarain et al. (2019) showed that an average temperature of 27 °C, similar to the present study. Camiletti (2016) also showed that the vermicomposting process is performed on an industrial scale, as in this case, temperatures may increase up to 35 °C (this increase is controlled with the addition of water), as occurred on day 15 for T2: 23.01 m3 and day 45 for T3: 16.74 m3.

On the other hand, bed size does not affect the temperature or pH value thereof, which may occur due to material uniformity. However, the pH behavior may be related to nitrogen transformation in nitrites and nitrates, as well as to transformation reactions of organic phosphorous into orthophosphate (Camiletti, 2016).

Simultaneously, the moisture percentage trend reported an average of 73%, which demonstrates that the transformation process was carried out in optimal moisture conditions. This average coincides with that reported by Eulloque Guerrero (2013), who found that the ideal moisture range for vermicompost was between 60 and 90%.

Figure 2A shows that for the two dimensions, D1 and D2, extracted in day 15, the number of juveniles in alkaline pH conditions, with low moisture and low temperature, was the greatest. On day 30, the number of adults and temperature increased. On day 45, there was not a detectable treatment net effect. On day 60, something similar to the day 30 occurred, and on day 75, the number of capsules and moisture percentages were high, while the number of individuals was low, the pH was acidic, and the temperature was low. On day 95, the behavior was similar to that of day 15. Lastly, on day 105, it was similar to that of day 75 (Figure 2B). It was observed that there are no differences between the three treatments in terms of the variables studied.

Behavior of individuals corresponding to the mean values of each treatment at different sampling times in the PCA. A. Biplot generated from vermicompost data from three different volume treatments (T1: 5.94 m3, T2: 23.01 m3, and T3: 16.74 m3) and seven sampling times

Figure 2: Behavior of individuals corresponding to the mean values of each treatment at different sampling times in the PCA. A. Biplot generated from vermicompost data from three different volume treatments (T1: 5.94 m3, T2: 23.01 m3, and T3: 16.74 m3) and seven sampling times

Earthworms' dynamics in a substrate varies, depending on their diet. In this research, it was observed that on day 15, the number of juvenile earthworms was the greatest, which could indicate that the proteins, amino acids, fats, and fiber in the ruminal content satisfy the nutritional requirements for the recently-hatched earthworms eggs. In the ruminal content, the C:N ratio was 19.9, corresponding to carbohydrates and organic carbon compounds (45%), and nitrogenated compounds (2.26% of total N). These contents allowed their development, as observed in the test. Besides, the organic residues ejected by earthworms increase the calcium content in the substrate, for which the pH increased.

Adult numbers increased on day 30, as these correspond to the juveniles that grew from the planted earthworms. According to Bravo et al. (2018), each young earthworm that matures may be in reproductive age between 60 and 90 days, or day 30 in this case. This population had the referenced age on average. The same occurred on day 45, when the adult population, which hatched from the cocoons in the substrate. The eggs hatch between 12 and 21 days after oviposition, and each juvenile earthworm matured until reproductive age in approximately 60-90 days.

For this reason, it makes sense that on day 75, the number of cocoons or the earthworms which had become adults increased. On the other hand, the number of adults and juveniles decreased because these migrated downwards within the substrate, searching for resources, as the eggs were placed in the processed substrate, which is feed for earthworms recently emerged from their cocoons.

Figure 3 indicates the relationship between the number of individuals per bed for the three treatments. The values obtained correspond to the earthworm states capsules, juveniles, and adults. The T2: 23.01 m3 presented the highest number of individuals, as compared to the other two treatments. These results indicate that the larger the volume utilized, the higher the earthworm development. Besides, in that volume, there is enough available feed and appropriate pH, moisture, and temperature conditions. The values reported for the present study are higher than those found by Schuldt (2005), who discusses a range between 80,000-120,000 individuals per bed, while values above 130,000 for T1: 5.94 m3 and over 300,000 for T2: 23.01 m3 and T3: 16.74 m3 are reported in the present study. Schuldt et al. (2005) also report that, when 100,000 individuals per bed are exceeded, the bed must be expanded to favor earthworm development. The only variable which was influenced by bed size was the number of individuals per bed, as that the larger the volume, the larger the population grew.

Number of earthworms per treatment after 105 days. T1. 5.94 m3; T2. 23.01 m3; T3. 16.74 m3.

Figure 3: Number of earthworms per treatment after 105 days. T1. 5.94 m3; T2. 23.01 m3; T3. 16.74 m3.

Vermicompost characteristics

Physicochemical parameters. The composition of the three treatments for the presence of Ca was higher than fresh manure (0.003%), manure mixed with fruit waste from oil palm in equal parts (0.0022%) (Hernández et al., 2008), and dry cow manure mixed with coffee parchment in equal parts (0.68%) (Contreras et al., 2014). The values obtained for Ca in this study were similar to kitchen waste (1.06%), the coffee pulp (0.84%), and cardboard (0.94%) (Paco et al., 2011). The Mg in waste from the previously-mentioned treatments was 0.38, 0.34, and 0.37%, which is superior to the ones of this study, but for K, it was greatly exceeded by the vermicompost obtained by grape bagasse 1.4%. Cordeiro et al. (2013) found the following percentages: for kitchen waste, 1.73%, coffee pulp, 1.74%, and cardboard, 0.91%. These results are related to the vermicompost quality and depend on the raw material fed to the earthworms.

The sum of the Ca, Mg, K, and P percentages were in the range between 3.1-3.5, which indicates that the fertilizer qualifies as an organic amendment, under the NTC 5167 standard (ICONTEC, 2011). Similarly, on the establishment of cationic ratios, it was observed that in the values encountered, there was a deficiency of Mg, Ca, and Zn, which is corroborated by the ash percentage, which was below 40%. The total P reported was 1.44, 1.52, and 1.59% respectively for T1: 5.94 m3, T2: 23.01 m3, and T3: 16.74 m3, which corresponds to the organic and inorganic P. This indicates that the Pseudomonas spp. reported in the analyses may be phosphate solubilizers (Awasthi et al., 2011), considering the presence of phosphates in the three treatments (Table 2). However, there was a reduction in the activity of this enzyme, which was 2165 µmol min-1 g-1 in the rumen content, while in the final product, it did not exceed 873.25 µmol min-1 g-1. However, this enzymatic activity may favor the availability of phosphorous for the plant, as well as the phosphorous found in the soil, given that it may be activated by the microorganisms added with the fertilizer (Brito-Vega and Espinosa-Victoria, 2009).

Table 2: Microbiological parameters of vermicompost analysis in three different volume treatments.

The total organic N reflected values of 1.97, 2.22, and 1.88% for T1: 5.94 m3, T2: 23.01 m3, and T3: 16.74 m3, respectively, which are within the parameters established by the NTC 5167 standard (ICONTEC, 2011). It should be noted that the total organic N contained in the initial rumen content was 2.26%, decreased in the T1: 5.94 m3 and T3: 16.74 m3 in the final product, and maintained its value in the T2: 23.01 m3 (Table 1 and 2). However, it is a low value compared to vermicompost obtained from grape bagasse (2.96%) (Cordeiro et al., 2013), but superior to the N contained in vermicompost from coffee parchment and manure (0.127%) (Contreras et al., 2014), and dry cow manure (0.57%) (Castillo et al., 2000). The N quantities herein are slightly superior to those of vermicompost from kitchen wastes (1.25%) (Castillo et al., 2000), fresh manure (1.62%), and the 50/50 fresh manure and fruit oil palm waste (1.13%) (Hernández et al., 2010), which indicates that wastes of vegetable origin retain more N that remains in the soil after mineralization. It may be affirmed, considering that C/N ratios are high and mineralization rates are low and, that the fertilizer completes the N circle in the soil.

Table 2 demonstrates that the CEC was very high compared to other vermicomposts, such as that of fresh manure and the manure-fruit waste from oil palm, which have 43.72 meq 100g-1 and 47.24 meq 100g-1, respectively (Hernández et al., 2010), but are slightly above those of coffee parchment-manure (Contreras et al., 2014). This behavior implies that this material increases soil fertility when it is applied, by retaining free cations in solution. The increase thereof is variable in rumen content and may owe to the molecules that compound this material (cellulose, lignin, hemicellulose, protein); when breaking down, it produces smaller molecules, such as organic acids, amino acids, or phenols.

Total oxidable organic carbon (OC) values were reported at 24.7, 29.2, and 28.2% for T1: 5.94 m3, T2: 23.01 m3, and T3: 16.74 m3, respectively, which are slightly lower than the NTC 5167 standard (ICONTEC, 2011), and higher than those reported by Paco et al. (2011) for kitchen waste (10.85%), the coffee pulp (11.37%), or cardboard (11.49%). Besides, it was lower than vermicompost from grapevine bagasse (34.59%) (Cordeiro et al., 2013). The low vermicompost values for rumen content result in a high mineralization rate. Following the values reported, it would classify as a non-humic organic amendment, according to NTC 5167 (ICONTEC, 2011). As a result of these two variables, the CEC/CO indicates that the organic matter percentage, which makes the cation exchange has a relationship over 200 being a high value for this variable.

The C/N ratio, with values of 12.5, 13.1, and 15 for T1: 5.94 m3, T2: 23.01 m3, and T3: 16.74 m3, respectively, were higher than the final product of grape bagasse (12.6) (Cordeiro et al., 2013), the mixture of coffee parchment and manure (12.5) (Hernández et al., 2010), or pure cow manure (10.76), but lower than that of the mixture of manure with waste fruit from oil palm (19.2) (Contreras et al., 2014). Values above 12 indicate that the material has a slow mineralization rate that brings few inorganic nutrients to plants; however, it becomes a source of feed for the organisms in the soil, as the physicochemical conditions change.

None of the treatments reported high CE. In other words, there was no presence of salts. Similarly, compared to other materials, it was quite low: fresh manure (5.38%), palm oil fruit waste-manure (3.46%) (Hernández et al., 2010), and coffee parchment -manure (2.32%) (Contreras et al., 2014).

The WHC was high with values that reached 311-327-314% (T1: 5.94 m3-T2: 23.01 m3-T3: 16.74 m3), according to the same rumen material composition. This capacity indicates that this material can retain three times more water than its weight, favoring the soil into which it is applied. Hydrogen bridges retain the water, and negative charges are generated by the organic matter in molecules like amino acids, phenols, and organic acids, among others.

The moisture content of the material was more than 70%, as shown in Table 2 (at the time that samples were taken). This corresponds to the ideal moisture level for earthworm habitats. However, it should be reduced to 30% via outdoor drying, which permits microbial and enzymatic activity and let compliance with the requirements of the NTC 5167 standard (ICONTEC, 2011).

The pH reported in the three treatments indicates that this material is slightly acidic, while Paco et al. (2011) tests indicate that the pH of kitchen wastes was 7.79, the coffee pulp was 7.48, classified as alkaline, the vermicompost obtained from cardboard had a pH of 7.03, and grapevine bagasse of 7.1 (Cordeiro et al., 2013). These values are neutral or almost neutral. The vermicompost's pH obtained from pure cow manure was measured 6.85, while the 50/50 mixture of manure and palm oil fruit waste was 6.54 (Hernández et al., 2010). On the other hand, for the vermicompost created from parchment coffee and cow manure, the pH was found to be 6.6 (Contreras et al., 2014). Values below 7.0 were classified as slightly acidic, and maybe a result of the presence of organic acids of low molecular weight.

The presence of heavy metals in Table 2 indicates that all of these were below the ranges required by the NTC 5167 standard (ICONTEC, 2011). A direct relationship was not observed between bed size and microbial burden considering the different treatments evaluated. This likely originated via the non-homogeneous distribution of vermicompost, or in the sample collection process.

Microbiological parameters. Pathogenic microorganisms, such as yeasts, nematodes, and Salmonella sp., were not found on a general level. In the case of enterobacteria, the counts obtained from the three treatments indicates the none surpassed the limits established by the NTC 5167 standard (ICONTEC, 2011). This absense is favorable, as high pathogen counts inhibit the growth of microorganisms of beneficial origin, which contribute to the added value of vermicompost. In the T3: 16.74 m3, a higher count of enterobacteria was observed. This microbial content is related to a higher C/N ratio. These elements are fundamental to the reproduction process of the various microorganisms, as well as enzyme production, which helps to degrade insoluble compounds.

Mesophilic bacteria decrease as bed size increased. This group of microorganisms is used as indicators to evaluate different types of treatments, as they serve to inoculate beneficial microorganisms or reduce pathogenic bacterial load. The data from the present study agree with that obtained by Pérez et al. (2008), who worked with vermicompost based on coffee pulp, ground coffee pulp, and sheep manure.

The concentration of Pseudomonas spp. in the vermicompost sample was 1.5×105 CFU g-1 in T1: 5.94 m3, 2.1×105 CFU g-1 in T2: 23.01 m3, and 1.6×105 CFU g-1 in T3: 16.74 m3 (Table 3). This microorganism increased significantly, compared to rumen content, which may be related to the contribution of microorganisms from earthworms' digestive tracts. These Pseudomonas spp. have been used as promotors of vegetative growth, and various strains can produce oxalic, fumaric, and citric acids, as well as phosphatases, facilitating the solubilization of organic and inorganic phosphorous (Awasthi et al., 2011). It also controls pathogenic microorganisms, producing antifungal and antibiotic compounds. Similarly, they play a more competitive part, owing to the nutrients available in the soil, and produce siderophores, organic compounds that capture iron. Besides, some species are considered proteolytic, according to the findings in similar studies carried out by García (2006).

Table 3: Microbiological parameters of vermicompost analysis in three different volume treatments.

In the case of thermophilic microorganisms, high counts were obtained, even when the vermicompost's productive process did not exceed 30 °C. It is notable, as this microbial group has an optimal growth temperature of 40 °C and beyond, and that applied in the present study was lower.

Moisture is a determining factor for molds because their metabolic processes would be greater moisture environments, which would yield higher numbers. However, for T2: 23.01 m3, which presented the greatest moisture levels (74%), no significant increase in molds was found. Nevertheless, the T1: 5.94 m3, which presented moisture levels of 72.9%, presented the highest numbers (6.0×103 CFU g-1). It is important to highlight that, in the analyzed samples, there was no presence of yeast. This absence indicates that anaerobic and alcoholic fermentations do not occur.

On a general level, the pH did not reflect any important variation, which would represent a significant difference in the microorganism counts obtained. The pH was nearly neutral. It should be considered that samples for the analyses were taken before the drying and sifting stages, which may have caused non-homogeneous distribution, and caused certain organic additions and accumulation of nutrients and microorganisms. Generally, these results demonstrate the quality of the product obtained under the NTC 5167 standard's values (ICONTEC, 2011).

As mentioned by Espinosa-Victoria et al. (2018) and Brito-Vega and Espinosa-Victoria (2009), the high microbial content in vermicompost is due to earthworms have approximately 500 billion individuals in their intestinal tract, which affects the data obtained in the fertilizer. Additionally, as vermicompost does not have a thermophilic phase, in which, typically, these organisms would be eliminated, more of them are present.

The OC levels reported in Table 3 were measured following a test in which the processes were utterly anaerobic. According to what was reported by Banerjee et al. (2018), respiration rates are directly related to the stability of the worm compost, indicating that it is a very stable compost. The three treatments with respiration rates lower than 2 indicate mature vermicompost, which has completed the decomposition stage and does not present a potential phytotoxicity risk.

Table 3 showed that the final product complies with the NTC 5167 standard (ICONTEC, 2011), in terms of the presence of pathogenic microorganisms such as Salmonella sp., enterobacteria, nematodes, and protozoa. This happens because the pH is slightly acidic, and the stable product's moisture level is lower than 30%. These conditions are not favorable for said organisms. However, Espinosa-Victoria et al. (2018), showing that in earthworms' digestive tracts, there are at least 16 species of Bacillus sp., among others, which are ingested by way of the food they consume. It means that rumen content is free of these pathogens and that the earthworm breeding process is not contaminated.

Within the enzymatic biotransformation processes, the presence of the earthworm has been found to stimulate the activity of enzymes (Villegas-Cornelio et al., 2017). However, those microorganisms that inhabit their gastrointestinal tract have the enzymatic machinery to perform this activity, and, as observed in the final product result, phosphate activity decreases, compared to the value in the rumen content. This behavior is probably due to earthworms in their growth and development, consume the phosphorous present in the raw material, and this causes a decrease in its enzymatic activity in the final product. In contrast, for cellulase activity increases because the fiber content is higher when cellulose is present.

In general, it is important to consider that vermicomposting is attracting researchers' attention in recent years owing to the reason that this method can degrade organic wastes and can recycle and convert valuable nutrients into organic fertilizers. The industrial-scale conversion of waste as rumen content presents several challenges; however, this study shows that it can be used to obtain an amendment that complies with the regulatory parameters established in Colombia, leaving open the possibility of exploring potential uses for earthworms which develop correctly on this type of material.

CONCLUSIONS

The rumen content transformed by earthworms into organic fertilizer shows optimal qualities regarding other solid wastes, which may be alternatives for the management of this by-product of agroindustrial processes. Earthworms' growth rates are determined by the quality of the food they ingest, and the population rate is determined by bed size. In this research, a large volume bed for vermicomposting contributes positively to Earthworms' development; it stimulates the generation of individuals. The microbiological and physicochemical analyses performed to demonstrate that the transformation process from ruminal material on a large scale allows getting organic amendment with good quality and satisfy the NTC 5167 standard's parameters.

Acknowledgements

ACKNOWLEDGMENTS

The authors would like to thank Juan Pablo Castillo Orjuela, manager at Fertisoluciones S.A., for having allowed the test to occur in their facilities, engineer Joel David Parra for his collaboration in the advancement of this research, and Rocío Sandoval Siza for clarifying our doubts regarding microbiology.

REFERENCES

  1. Anderson RA, Bosron WF, Kennedy FS and Vallee BL. 1975. Role of Magnesium in Escherichia coli Alkaline Phosphatase. Proceedings of the National Academy of Sciences of the United States of America 72(8): 2989-2993. 🠔
  2. Awasthi R, Tewari R and Nayyar H. 2011. Synergy between plants and P-solubilizing microbes in soils: effects on growth and physiology of crops. International Research Journal of Microbiology 2(12): 484-503. 🠔
  3. Banerjee A, Tripathi S, Mukherjee K and Mukherjee S. 2018. Characterization of Bantala tannery sludge and its vermicompost. International Journal of Chemical Studies 6(6): 185-189. 🠔
  4. Blasco M y Burbano H. 2015. La vida en el suelo: Notas sobre su bioquímica y microbiología. Primera edición. Impresos La Castellana, Pasto. 365p. 🠔
  5. Bravo CM, Angulo LM, González YA, Martínez MM, Carmona JC y Garay OV. 2018. Evaluación reproductiva de la lombriz roja californiana (Eisenia foetida) alimentada con diferentes sustratos en el trópico bajo colombiano. Livestock Research for Rural Development 30(2). 🠔
  6. Brito-Vega H and Espinosa-Victoria D. 2009. Bacterial diversity in the digestive tract of earthworms (Oligochaeta). Journal of Biological Sciences 9(3): 192-199. doi: 10.3923/jbs.2009.192.199 [DOI] 🠔
  7. Camiletti MJ. 2016. Estudio del vermicompostaje de compost de residuos orgánicos de distinta naturaleza (Tesis de Maestría). Universidad Miguel Hernández de Elche, Alicante España. 60 p. 🠔
  8. Castillo AE, Quarín SH and Iglesias MC. 2000. Vermicompost chemical and physical characterization from raw and mixed organic wastes. Agricultura Técnica 60(1): 74-79. 🠔
  9. Castro JI, Chirinos DM y Sierra WN. 2018. Uso de líquido ruminal en agua de bebida de pollos broiler criados en condiciones de altura. Revista de investigaciones veterinarias del Perú 29(4): 1259-1267. doi: 10.15381/rivep.v29i4.12972 [DOI] 🠔
  10. Contreras JL, Rojas J, Acevedo I y Adams M. 2014. Caracterización de las propiedajdes físicas y bioquímicas del vermicompost de pergamino de café y estiércol de bovino. Revista. Facultad de la Agronomía LUZ 31 Supl. 1: 489-501. 🠔
  11. Corantioquia. 2016. Plantas de beneficio animal: Manual de producción y consumo sostenible, gestión del recurso hídrico. 82p. 🠔
  12. Cordeiro HM, Casas MÁ, Lores M y Martín JD. 2013. Vermicompostaje del bagazo de uva: fuente de enmienda orgánica de alta calidad agrícola y de polifenoles bioactivos. Recursos rurais: revista oficial do Instituto de Biodiversidade Agraria e Desenvolvemento Rural (IBADER) (9): 55-63. 🠔
  13. Espinosa-Victoria D , Pérez-Pérez J A, Silva-Rojas H V and López-Reyes L. 2018. Diversity of culturable bacterial microbiota of the Eisenia foetida digestive tract. Revista Fitotecnia Mexicana 41(3): 255-264. 🠔
  14. Eulloque Guerrero J. 2013. Caracterización física, química, biológica y valoración agronómica del vermicompost de eisenia foetida obtenido del contenido ruminal de bovino (Tesis de Maestría). Instituto Politécnico Nacional, Michoacán México. 93 p. 🠔
  15. García F. 2006. Interacción entre microorganismos; estructura del suelo y nutrición vegetal. Cultura Científica (4): 48-55. 🠔
  16. Hernández JA, Guerrero F, Mármol LE, Bárcenas JM y Salas E. 2008. Caracterización química, según granulometría, de dos vermicompost derivados de estiércol bovino puro y mezclado con residuos de fruto de la palma aceitera. Interciencia 33(9): 668-671. 🠔
  17. Hong SW, Kim IS, Lee JS, and Chung KS. 2011. Culture-based and denaturing gradient gel electrophoresis analysis of the bacterial community structure from the intestinal tracts of earthworms (Eisenia fetida). Journal of Microbiology and Biotechnology 21(9): 885-892. 🠔
  18. ICONTEC. 2011. Productos para la industria agrícola-Productos orgánicos usados como abonos o fertilizantes y enmiendas de suelo. NTC 5167. Bogotá, Colombia. 🠔
  19. Jara M, Gaibor C, Salazar C, García Y, García Y, Rodríguez Y y Chafla A. 2016. Parámetros fisicoquímicos y contenido de coliformes de un compost obtenido a partir de residuos orgánicos del Camal Frigorífico Riobamba. Revista Amazónica Ciencia y Tecnología 5(3): 252-263. 🠔
  20. Kaiser HF. 1991. Coefficient Alpha for a Principal Component and the Kaiser-Guttman Rule. Psychological Reports 68(3): 855-858. doi: 10.2466/pr0.1991.68.3.855 [DOI] 🠔
  21. Khwairakpam M and Kalamdhad AS. 2011. Vermicomposting of vegetable wastes amended with cattle manure. Research Journal of Chemical Sciences 1(8): 49-56. 🠔
  22. Lê S, Josse J and Husson F. 2008. FactoMineR: An R Package for Multivariate Analysis. Journal of Statistical Software 25(1): 1 18. 🠔
  23. Paco G, Loza-Murguía M, Mamani F y Sainz H. 2011. Efecto de la Lombriz Roja Californiana (Eisenia foetida) durante el composteo y vermicomposteo en predios de la Estación Experimental de la Unidad Académica Campesina Carmen Pampa. Journal of the Selva Andina Research Society 2(2): 24-39. 🠔
  24. Pérez A, Céspedes C y Núñez P. 2008. Caracterización física-química y biológica de enmiendas orgánicas aplicadas en la producción de cultivos en república dominicana. Revista de la Ciencia del Suelo y Nutrición Vegetal 8(3): 10-29. 🠔
  25. Pincay AK. 2014. Caracterización y evaluación de bacterias Pseudomonas sp. solubilizadoras de fósforo, presentes en la rizósfera de maíz (Zea mays L.) de los ensayos experimentales del INIAP de las provincias de Imbabura, Bolívar, Chimborazo y Pichincha (Trabajo de grado). Universidad de las Fuerzas Armadas. Sangolquí, Ecuador. 75 p. 🠔
  26. Prasanna KB. 2016. Aerobic and anaerobic digestion of agricultural waste followed by vermicomposting and enrichment (Doctoral dissertation) Telangana State Agricultural University. Hyderabad. 🠔
  27. Quintero R. 2014. Poblaciones microbianas, actividades enzimáticas y substancias húmicas en la biotransformación de residuos. Terra Latinoamericana 32: 161-172. 🠔
  28. Rafaelli PM, Sanginés GL, Pérez-Gil RF y Larrosa O. 2005. Evaluación nutricional de dos subproductos de frigorífico: contenido ruminal y de la línea verde Documento de trabajo Nº 158. En: Universidad de Belgrano, Argentina, En: Universidad de Belgrano, Argentina, http://repositorio.ub.edu.ar/bitstream/handle/123456789/426/158_rafaelli.pdf?sequence=2&isAllowed=y 8p. Consulta: agosto 2018. [URL] 🠔
  29. Ramnarain YI, Ansari AA and Ori L. 2019. Vermicomposting of different organic materials using the epigeic earthworm Eisenia foetida. International Journal of Recycling of Organic Waste in Agriculture 8(1): 23-36. doi: 10.1007/s40093-018-0225-7 [DOI] 🠔
  30. Ríos M y Ramírez R. 2012. Aprovechamiento del contenido ruminal bovino para ceba cunicola, como estrategia para diezmar la contaminación generada por el matadero en San Alberto. Prospectiva 10(2): 56-63. doi: 10.15665/rp.v10i2.234 [DOI] 🠔
  31. Rotondo R, Firpo IT, Ferreras L, Toresani S, Fernández S y Gómez E. 2009. Efecto de la aplicación de enmiendas orgánicas y fertilizante nitrogenado sobre propiedades edáficas y productividad en cultivos hortícolas. Horticultura Argentina 28(66): 18-25. 🠔
  32. Schinner F and von Mersi W. 1990. Xylanase-, CM-cellulase- and invertase activity in soil: An improved method. Soil Biology and Biochemistry 22(4): 511-515. doi: 10.1016/0038-0717(90)90187-5 [DOI] 🠔
  33. Schuldt M, Rumi A, Guarrera L y De Belaustegui LG. 1998. Programación de muestreos de Eisenia foetida (Annelida, Lumbricidae). Adecuación a diferentes alternativas de manejo. Revista Argentina de Producción Animal 18(1): 53-66. 🠔
  34. Schuldt M, Rumi A and Gregoric D E. 2005. Determinación de edades (clases) en poblaciones de Eisenia fetida (Annelida: Lumbricidae) y sus implicancias reprobiológicas. Revista del Museo de La Plata 17(170): 1-10. 🠔
  35. Shrestha K, Adetutu EM, Shrestha P, Walsh KB, Harrower KM, Ball AS and Midmore DJ. 2011. Comparison of microbially enhanced compost extracts produced from composted cattle rumen content material and from commercially available inocula. Bioresource technology 102(17): 7994-8002. doi: 10.1016/j.biortech.2011.05.096 [DOI] 🠔
  36. Triana KM. 2019. Impactos ambientales generados en plantas de beneficio bovino (Trabajo de grado). Universidad Nacional Abierta y a Distancia, Colombia. 65 p. 🠔
  37. Villegas-Cornelio VM y Laines JR. 2017. Vermicompostaje: II avances y estrategias en el tratamiento de residuos sólidos orgánicos. Revista mexicana de ciencias agrícolas 8(2): 407-421. doi: 10.29312/remexca.v8i2.60 [DOI] 🠔
  38. Zapata R y Osorio N. 2013. Capítulo 6: La materia orgánica del suelo. pp. 361-388. En: Ciencia del suelo, principios básicos. Segunda edición. Editorial: Sociedad Colombiana de la Ciencia del Suelo, Bogotá, Colombia. 594 p. 🠔