Revista Facultad Nacional de Agronomía Medellín
0304-2847
2248-7026
Facultad de Ciencias Agrarias - Universidad Nacional de Colombia
https://doi.org/10.15446/rfnam.v73n2.81729

Recibido: 21 de agosto de 2019; Aceptado: 21 de marzo de 2020

Economic injury level for the flower thrips Frankliniella cf. gardeniae Moulton (Thysanoptera: Thripidae) in mango

Nivel de daño económico de los trips de las flores Frankliniella cf. gardeniae Moulton (Thysanoptera: Thripidae) en mango

P. Sierra-Baquero, 1E. Varón-Devia, 2L. Gomes-Dias, 3B. Monje-Andrade, 2

Corporación Colombiana de Investigación Agropecuaria. AGROSAVIA. C.I. Motilonia. Km 5 vía a Becerril, Agustín Codazzi, Colombia. <psierra@agrosavia.co> Corporación Colombiana de Investigación Agropecuaria Colombia
Corporación Colombiana de Investigación Agropecuaria. AGROSAVIA. C.I. Nataima. Km 9 vía Espinal-Chicoral, Colombia. Corporación Colombiana de Investigación Agropecuaria Colombia
Facultad de Ciencias Exactas y Naturales. Universidad de Caldas. AA 275, Manizales, Colombia. Universidad de Caldas Facultad de Ciencias Exactas y Naturales Universidad de Caldas Manizales Colombia

ABSTRACT

Mango is a tropical fruit with great production and market worldwide. In Colombia, it is an important crop with high export potential. There are many arthropods affecting mango production, such as thrips that feed on leaves, flowers, and small fruits, causing damage such as deformations, scars, and premature fall of fruits. This study aimed to establish the economic injury level (EIL) of Frankliniella cf. gardeniae Moulton in mango (Mangifera indica L. var. yulima and var. tommy) in Guamo and San Luis (Tolima, Colombia). The methods employed included a weekly sampling of thrips in mango inflorescences during two productive periods (B-2015 and B-2016) using the structure tapping technique in a deep tray with mesh. Three preliminary thresholds per productive period were established: [B-2015: ≥10 thrips per inflorescence (TpI), ≥30 TpI, and ≥60 TpI. B-2016: ≥5 TpI, ≥10 TpI, and ≥15 TpI]. The variables density, costs, and yield were recorded. The EIL was calculated statistically using linear regressions and the final action threshold was estimated. An EIL of 11 TpI and an action threshold of 7 TpI were estimated for var. tommy in Guamo in the second semester of 2016. There was a risk of losing 220 kg ha-1 for each increase in insect unit in var. tommy. Therefore, thrips in mango behaved as an occasional pest, requiring control in var. tommy in Guamo, when the crop is flowering, and the population exceeds the action threshold of 7 TpI.

Keywords:

Action threshold, Inflorescence, Pest, Sampling method, Tropical fruits.

RESUMEN

A nivel mundial el mango es una fruta tropical de gran importancia por su producción y mercado, teniendo en Colombia un gran potencial de exportación. Existen muchos artrópodos que inciden en la producción del mango, como son los trips, que se alimentan de hojas, flores y frutos pequeños, generando daños como deformaciones, cicatrices y caída prematura de los frutos. Esta investigación tuvo como objetivo determinar el nivel de daño económico (NDE) de Frankliniella cf. gardeniae Moulton en el cultivo de mango (Mangifera indica L. var. yulima y var. tommy) en el Guamo y San Luis (Tolima, Colombia). La metodología consistió en muestrear semanalmente los trips en inflorescencias durante dos periodos (B.-2015 y B-2016) productivos del cultivo, mediante el método del golpeteo de la estructura en una bandeja honda con malla. Se establecieron tres umbrales preliminares (límites poblacionales) por periodo productivo evaluado [B-2015: ≥10 trips por inflorescencia (TpI), ≥30 TpI, ≥60 TpI. B-2016: ≥5 TpI, ≥10 TpI, ≥15 TpI]. Se registraron las variables densidad, costos y rendimiento. El NDE se calculó estadísticamente mediante regresiones lineales y se estimó el umbral de acción final. Se calculó un NDE para tommy (Guamo) en el semestre B-2016 de 11 TpI y un umbral de acción de 7 TpI, existiendo riesgo de perder 220 kg ha-1 por cada incremento de unidad del insecto. Por tanto, los trips en mango se comportaron como una plaga ocasional, siendo su manejo necesario para la variedad tommy en el Guamo, cuando el cultivo esté en floración y la población sobrepase el umbral de acción de 7 TpI.

Palabras clave:

Umbral de acción, Inflorescencia, Plaga, Método de muestreo Frutas tropicales.

Basic products, especially tropical fruits, have acquired great importance in the commerce at the global level, showing an annual growth rate of 5.5% in the year 2017, and registering an increase of 1.9% compared to the average of the last ten years. Mango occupies the first place of importance among the four main tropical export fruits (pineapple, papaya, avocado, and mango) since it contributes with about 51% of the total production (Altendorf, 2017).

In Colombia, domestic production in 2017 was 260,300 t registering an increase of 0.47% compared to 2016, and with an average yield of 12.4 t ha-1. Tolima was the second department with the largest participation in mango production in the country in 2017 with 26.63%, but it was the first in yield with an average of 15.8 t ha-1 (SIOC, 2018). However, a limitation that mango has, is that worldwide production is mostly consumed internally in the same producing countries because international markets are very demanding in phytosanitary standards and certifications (Altendorf, 2017).

In order to venture into international markets, adequate management, adapted to export standards and profitable for producers, must be implemented. Besides serious quarantine problems such as the fruit fly Anastrepha obliqua (Diptera:Tephritidae), there are other emerging pests such as thrips Frankliniella spp. (Thysanoptera: Thripidae), which can increase their populations to harmful levels when inefficient agronomic practices are applied - in many cases, farmers confuse the damage of thrips with fungi attacks (Lopes et al., 2002). Thrips cause deformations, spots, scars, and in severe attack cases, the premature fall of leaves, inflorescences, and small fruits (Aguirre et al., 2013). In mango, the inflorescences and small fruits show considerable damage with great populations of 1,500 thrips per inflorescence, which affect fruit development and formation (Virgen et al., 2011).

This pest insect has an accelerated population growth because it has a short life cycle and an early sexual maturity, which makes its control difficult. This pest shows cryptic habits, a small size, and has an easiness to acquire resistance to insecticides (Bacci et al., 2008; Nondillo et al., 2009; Santos et al., 2012). For these reasons, thrips are described as "r" pests or strategists (Santos et al., 2012).

Hence, it is of vital importance to know the moment in which thrips populations reach levels that cause economic losses. This is related to two key concepts. The first one is the economic injury level (EIL), which is the lowest population density that causes economic losses (Pedigo and Rice, 2014). The second one is the action threshold (AT), which is the pest population that warrants a control action in order to prevent the reaching of the EIL (French, 1989; Moreno et al., 2002; Pedigo and Rice, 2014).

Due to the importance of this pest in mango cultivation in Colombia and in order to carry out integrated management of thrips in this crop, the economic injury level was calculated, and its population fluctuation was established in two localities (Sierra, 2017). The current work was derived from the previous study to establish the economic injury level (EIL) of Frankliniella cf. gardeniae Moulton thrips in mango (Mangifera indica L. var. yulima and var. tommy) in two municipalities of the department of Tolima.

MATERIALS AND METHODS

Study area

The research was carried out in the municipalities of El Guamo and San Luis, department of Tolima, Colombia at (4°01'41" N, 74°58'12.0" W), and (4°07'56" N, 75°05'44.0" W), respectively. San Luis has an average temperature of 26 °C located at an altitude of 500 masl, and has an annual rainfall of 1,458 mm (Weather Spark, 2019). On the other hand, Guamo is located at an altitude of 326 masl, with an average temperature of 28 °C and an annual rainfall of 1,488 mm. The mango trees assessed in each farm were between 9 to 15 years old and were planted at a density of 156 trees ha-1, in plots of about 60 ha.

Calculation of the economic injury level of thrips

The range of thrips fluctuation in each of the two farms (localities) assessed was established by preliminary sampling. Then, the average ranges, classes, and amplitudes of each preliminary action threshold (PAT) treatment were established (Santos et al., 2012). Samplings were conducted in two mango production periods (semester B of 2015, and semester B of 2016). In the two sampling periods, the mango varieties tommy and yulima were evaluated; these were selected as they were the ones with the largest planted area in the region and with the highest market trade.

The PAT treatments of semester B-2015 consisted in maintaining the thrips populations under an established value by using insecticides as follows: T1: 10-29 thrips per inflorescence (TpI), T2: 30-59 TpI, T3: >60 TpI, and T4: undefined TpI (control without application of insecticide). On the other hand, in the B-2016 semester, the PAT treatments were the following: T1: 5-9 TpI, T2: 10-14 TpI, T3: >15 TpI and T4: undefined TpI (control without application of insecticide).

The experimental design in both productive periods was a randomized complete blocks design (the blocking factor was the slope). The experimental plot included four trees, and four repetitions per treatment were used for a total of 16 experimental units. The sampling unit included four inflorescences per tree selected at random from the middle and lower part of the tree.

The thrips population sampling was carried out by tapping the inflorescence (3 times) on a white plastic container or tray (5 cm deep) with a mesh on top (in order to optimize the display and counting of individuals). In each sample, 50% of the effective plot (two trees per block) was evaluated with a weekly frequency in the flowering period, which lasted approximately five weeks (Sierra, 2017).

The density of TpI was calculated by dividing the number of thrips found by the number of inflorescences sampled per treatment. When the insect population on average exceeded the maximum density of each treatment, chemical control was carried out - i.e., applying insecticides to the four trees of the plot. The products used were Spinetoram in doses of 1 cc L-1 (Exalt® TM 60 sc) and sulfoxaflor with doses of 0.5 cc L-1 (Closer®) (DEAQ, 2016). Both active ingredients act through ingestion and contact, attacking the central nervous system of the insect; besides, sulfoxaflor has a translaminar effect on the plant, which causes a higher residual effect (DowAgroSciences, 2018). The calculation of the relationship between the average TpI densities and mango fruit yield (kg ha-1) was made per treatment with Equation 1 to establish the EIL (Nakano et al., 1981; Pedigo et al., 1986; Pedigo and Rice, 2014).

Where:

  • K: Efficiency percentage of the control method used estimated by the Abbott formula comparing the control (without insecticide) with all the treatments (with insecticide).

  • V: Value per unit of fruit production in the market in Colombian currency (COP kg-1).

  • C: Handling control cost per production unit (COP kg-1) - i.e., the necessary cost to bring the population to zero individuals (thrips) in inflorescences (Cardona, 1999; Santos et al., 2012).

  • I: Damage per insect unit.

  • D: Damage function estimated through a linear regression Y=a+bx, employing the statistical software SAS (SAS Institute, 2009). Y is the yield per area; a is the intercept constant; b is the yield loss per insect; and x is the number of insects per inflorescence (Pedigo and Rice, 2014).

Subsequently, the action threshold (AT) was established to obtain knowledge on the insect population in which a control action must be taken and prevent the pest from causing economic damage to the crop. The following variables were included: the economic injury level (EIL), and the thrips population growth rate (TPGR) expressed as thrips per inflorescence per day obtained by linear regression of the average thrips per inflorescence per tree of the control treatment, considering days after flowering (time). Another variable considered was the time between sampling (TBS) expressed in days and the efficiency percentage (K) of the control method. The calculation is expressed in Equation 2, implemented by Santos et al. (2012).

RESULTS AND DISCUSSION

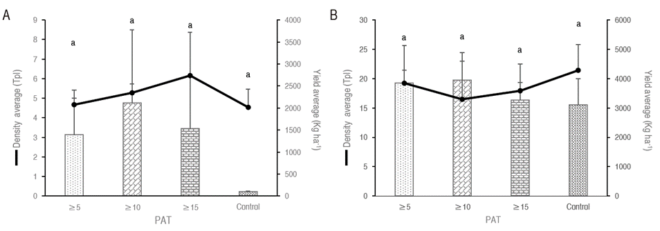
Action threshold for thrips in the yulima variety

In the first productive cycle evaluated (B-2015) the population densities of TpI were below the PAT in the two municipalities and no statistically significant relationship was found with the yield (Guamo: P=0.3178, RMSE=538.43, R 2=0.46; San Luis: P=0.7307, RMSE=1,754.29, R 2=0.072). On the other hand, the costs of PAT did not show a statistically significant relationship with TpI density (Guamo: P=0.8528, RMSE=53,818.01, R 2=0.02; San Luis: P=0.8207; RMSE=19,718.92, R 2=0.03) (Figure 1). In Guamo, it was registered PAT ≥10 and ≥60 with 90,721±6,444 and 122,392±5,699 COP ha-1, respectively. In San Luis, it only registered a PAT ≥10 with 46,289±1,086 COP ha-1.

Preliminary Action Thresholds (PAT) for the Frankliniella cf. gardeniae thrips in mango var. yulima, related with density average (TpI) and to the yield (kg ha-1), in the semester B-2015, Tolima. A. Guamo; B San Luis.

Figure 1: Preliminary Action Thresholds (PAT) for the Frankliniella cf. gardeniae thrips in mango var. yulima, related with density average (TpI) and to the yield (kg ha-1), in the semester B-2015, Tolima. A. Guamo; B San Luis.

Theses results did not allow calculating the AT for the yulima variety in San Luis and Guamo in the first production cycle.

Similarly, the AT of var. yulima was not estimated in the second productive cycle (2016 B) in the municipalities of Guamo and San Luis because linear regressions between TpI density and yield were not statistically significant (Guamo: P=0.0580, RMSE=4,327.45, R 2=0.21; San Luis: P=0.2880, RMSE=1,031.27, R 2=0.50), the same for TpI density and costs (Guamo: P=0.1035, RMSE=4,601.72, R 2=0.80; San Luis: P=0.2882, RMSE=39,680.1, R 2=0.45) (Figure 2). In San Luis, it was registered 20,755±4,956 COP ha-1 for PAT ≥10 and ≥60. In Guamo, the cost was higher in PAT ≥10 with 139,179±39,757 COP ha-1, followed by ≥30 69,589±3,957 COP ha-1 and ≥60 20,774±3,957 COP ha-1.

Preliminary action thresholds (PAT) for the Frankliniella cf. gardeniae thrips in mango var. yulima, related with density average (TpI) and to the yield (kg ha-1), in the semester B-2016, Tolima. A. Guamo; B. San Luis.

Figure 2: Preliminary action thresholds (PAT) for the Frankliniella cf. gardeniae thrips in mango var. yulima, related with density average (TpI) and to the yield (kg ha-1), in the semester B-2016, Tolima. A. Guamo; B. San Luis.

In the mango crops under study, thrips behaved like occasional pests, which agrees with Durán (2012). Since the optimum of food such as inflorescences and small fruits of 8 mm is exhausted, the population is considerably reduced. Therefore, when the mango crop ends, the phenological stage of flowering and the fruits are larger, the chemical control for this pest becomes unnecessary (García-Escamilla et al., 2016). However, in this study, the populations of thrips evaluated during the flowering period of the yulima variety did not represent a threat to the mango crop in the two municipalities evaluated because populations were always below the predefined thresholds. Nevertheless, for thrips to act as a pest in mango, their populations must be high and constant during flowering (Ortiz et al., 2016). Mango inflorescences tolerate high losses of flowers because they are comprised of around 3,500 flowers (var. ataulfo); for this reason, it withstands mild attacks of anthophila insects without affecting its fertilization (Ortiz et al., 2016).

As the range of thrips population observed in this study in the yulima variety was not representative. Alternatively, preventive insect control strategies can be implemented, including the use of repellents and trap plants (García-Escamilla et al., 2016) as well as the release of biological control agents. This should be done in order to avoid that the insect populations become a pest for mango and cause economic damage.

Since both the climate and the human activities are changing, and besides, thrips show variability in their biology and behavior, these insects can occupy new geographical niches and act as a pest, when conditions are favorable for their population (Morse and Hoddle, 2005). This situation may occur in the future in the municipality of Guamo for the yulima variety. This forecast might be stated because the statistical significance was close to 5% between the density of thrips and the yield.

Action threshold for thrips in the tommy variety

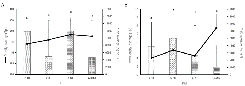
The first productive cycle (2015 B) of this variety did not register a statistically significant relationship between the TpI density and the yield in the two municipalities evaluated (Guamo: P=0.4563, RMSE=618.53, R 2=0.29; San Luis: P=0.4373, RMSE=300.61, R 2=0.31). Likewise, this behavior was also found with the TpI density relationship and costs (Guamo: P=0.5558, RMSE=19,240.02, R 2=0.19; San Luis: P=0.757, RMSE=20,292.19, R 2=0.05) (Figure 3). In Guamo, it was registered no costs in all PAT, and in San Luis, costs were reported in PAT ≥5 and ≥10 with 49,595±2,938 and 49,595±2,938 COP ha-1, respectively. Since there was no significant relationship between the evaluated variables, the damage level was not calculated for this production cycle.

Preliminary action thresholds (PAT) for the Frankliniella cf. gardeniae thrips in mango var. tommy, related with density average (TpI) and to the yield (kg ha-1), in the semester B-2015, Tolima. A. Guamo; B. San Luis.

Figure 3: Preliminary action thresholds (PAT) for the Frankliniella cf. gardeniae thrips in mango var. tommy, related with density average (TpI) and to the yield (kg ha-1), in the semester B-2015, Tolima. A. Guamo; B. San Luis.

In the second productive cycle, in the municipality of San Luis, no statistically significant relationship was found between density (TpI) and yield (P=0.2112, RMSE=2,190.91, R 2 =0.62) and between density and costs (P=0.8066, RMSE=53,797.46, R 2=0.006); only a PAT ≥5 registered 48,815±24,407 COP ha-1; therefore, AT was not calculated for the tommy variety in San Luis (Figure 4B).

Preliminary action thresholds (PAT) for the Frankliniella cf. gardeniae thrips in mango var. tommy, related with density average (TpI) and to the yield (kg ha-1), in the semester B-2016, Tolima. A. Guamo; B. San Luis.

Figure 4: Preliminary action thresholds (PAT) for the Frankliniella cf. gardeniae thrips in mango var. tommy, related with density average (TpI) and to the yield (kg ha-1), in the semester B-2016, Tolima. A. Guamo; B. San Luis.

Conversely, the tommy variety in Guamo showed a statistically significant relationship between density and yield (P=0.0257, RMSE=935.14, R 2 =0.35) (Figure 4A), and between density and costs (P=0.0045, RMSE=11,716.46, R 2=0.99), the highest cost was 111,139±20,306 COP ha-1 in PAT ≥5, followed by 62,324±20,306 COP ha-1 in PAT ≥10 and ≥15. Subsequently, the EIL was calculated in Guamo for the tommy variety, as follows:

The variables of the equation above were estimated by recording the average price of mango, which was 1,000 COP kg-1 (V) (Rincon et al., 2019). On the other hand, the effectiveness of the insecticides (K) used (spinetoram and sulfoxaflor) was considered as being 80% according to records stated by the Colombian Ministry of Agriculture (MADR, 2020). The management cost per production unit (C) generated by the applications of the insecticides concerning the TpI density was adjusted to a simple linear regression, as follows.

The damaged unit per insect in the production unit (b) (damage caused by thrips per inflorescence per tree) was estimated by linear regression of the density of thrips by the yield, which allowed establishing the loss function as:

In this sense, 220.17 kg can be the loss if, on average, a thrip per inflorescence per tree is added (Figure.4A). From the calculated EIL (11 TpI), the AT was calculated considering the population growth rate (TPGR) of 0.55 thrips per inflorescence per day obtained from a linear trend between the days after emergence and the thrips per inflorescence per tree (P=0.0203, RMSE=2,106, R 2=0.87). Another variable was the time between sampling (TBS) that was considered as 8 days; the other variable of product efficiency (K) was the same used in the EIL. Finally, the AT for the tommy variety in the municipality of Guamo was 7 TpI (Table 1), estimated employing the following equation:

Table 1: Calculation of EIL and AT for the Frankliniella cf. gardeniae thrips in mango var. tommy, during the semester B-2016, in the municipality of Guamo (Tolima).

The insect populations are dynamic and variable, generally conditioned by biological characteristics, climatic conditions, geographic environment, and human interference (Lin et al., 2015). A factor that favored thrips populations in Guamo and caused AT in var. tommy is the temperature since that locality registered a higher average temperature (28.65±0.22 °C) than San Luis (27.24±0.20 °C) during the sample period. This result coincided with the results obtained by Sierra-Baquero et al. (2018), who reported a direct relationship between mango thrips populations (var. tommy) and temperature (r=0.48), as well as Lin et al., (2015), who recorded that the thrips population (S. dorsalis) in mango increased with high temperatures.

Therefore, the AT of the pests varies according to the specific conditions of the localities and varieties (Jaramillo-Barrios et al., 2020). For example, in Taiwan, the AT of the thrips (Scirtothrips dorsalis) in the mango was established at >17 thrips per trap every 3 days (Lin et al., 2015). In Mexico, the AT for Frankliniella spp. in mango (var. manila) was calculated at 10 TpI (García-Escamilla et al., 2016), the same authors reported that Frankliniella genus in mango var. ataulfo is a pest that in high populations (600 TpI) decreased the yield, causing economic losses. In addition to the action threshold, it is very important to know the most susceptible phenological stage of the plant to the attack of the insect under consideration to perform an efficient control of the pest. In mango, thrips diminish their populations naturally when the food source (inflorescence) is exhausted (García-Escamilla et al., 2016). Thus, to carry out chemical applications after flowering or when mango fruits have a size greater than 8 mm is not necessary (Durán, 2012; Morse and Hoddle, 2005; Sierra-Baquero et al., 2018).

The behavior of thrips as an occasional pest in mango suggests that some species of the Frankliniella genus are not specific to it because the population of the control treatment solely exceeded the action threshold in the flowering season. Therefore, chemical controls should be used only in the flowering stage to the beginning of the fruit set, and it is recommended to use specific or low toxicity insecticides (García-Escamilla et al., 2016). In this study, specific insecticides for thrips control were used (spinetoram and sulfoxaflor), which allowed a major control of the pest populations. According to Rocha et al. (2012), the management of thrips in mango (var. ataufo) should not be carried out with broad-spectrum insecticides such as dimethoate and deltamethrin because they do not have effectiveness in the pest control and harms their beneficial entomofauna. It is recommended to generate thrips control strategies, which include monitoring, follow up to populations, and cultural and biological practices (Jaramillo-Barrios et al., 2020).

CONCLUSIONS

Thrips generated an economic injury level in the tommy mango variety in Guamo, from which an action threshold was estimated, the thrips complex (F. gardeniae) must be controlled chemically in the period of flowering and beginning of fruit formation. In var. yulima, chemical control strategies should not be implemented since thrips did not appear to represent economic damage for this variety. Instead, preventive practices, such as the application of repellents and trap plants, should be implemented, ideally along with the release of biological control agents.

Acknowledgements

ACKNOWLEDGMENTS

The authors thank Corporación Colombiana de Investigación Agropecuaria "AGROSAVIA" for their support and funding in the execution of this research since the study derives from the data generated from the project "Action thresholds established for the main plague-arthropods (thrips) in Tolima" executed in years 2015-2016. Moreover, to Universidad de Caldas for the knowledge provided to this work. Many thanks to Universidad del Tolima, Universidad de Ibagué, Ceiba, and project "Formación de Talento Humano de Alto Nivel " for their valuable support in carrying out this research.

REFERENCES

  1. Aguirre LA, Miranda MA, Urías MA, Orona F, Almeyda IH, Johansen R y Tucuch M. 2013. Especies de thrips (Thysanoptera) en mango, fluctuación y abundancia. Revista Colombiana Entomología 39(1) 9-12. 🠔
  2. Altendorf S. 2017. Perspectivas mundiales de las principales frutas tropicales. En: Perspectivas, retos y oportunidades a corto plazo en un mercado pujante, En: Perspectivas, retos y oportunidades a corto plazo en un mercado pujante, http://www.fao.org/fileadmin/templates/est/COMM_MARKETS_MONITORING/Tropical_Fruits/Documents/Tropical_Fruits_Spanish2017.pdf 15 p. Consultada: Noviembre 2016. [URL] 🠔
  3. Bacci L, Picanço MC, Moura MF, Semeão AA, Fernandes Fl and Morais EGF. 2008. Sampling plan for thrips (Thysanoptera: Thripidae) on cucumber. Neotropical Entomology. 37(5): 582-590. doi: 10.1590/S1519-566X2008000500014 [DOI] 🠔
  4. Cardona C. 1999. "Entomología económica y manejo de plagas". Universidad Nacional de Colombia, Palmira. 33 p. 🠔
  5. DEAQ- Diccionario de especialidades agroquímicas. 2016. En: Productos agroquímicos, En: Productos agroquímicos, https://www.agroquimicos-organicosplm.com/productos-agroquimicos 3 p. Consulta: Enero 2017. [URL] 🠔
  6. DowAgroSciences. 2018. CloserTM 240 SC. En: Recomendaciones de uso, En: Recomendaciones de uso, http://www.ghcia.com.co/plm/source/productos/8565_58_154.htm 1 p. Consultada: Mayo 2016. [URL] 🠔
  7. Durán Y. 2012. Evaluación de insecticidas para el control de plagas en mango (Mangifera indica L.) en Tierra Caliente, Guerrero, México (Tesis de Maestría). Colegio de Postgraduados, Montecillo. 39 p. 🠔
  8. French JB. 1989. Métodos de análisis económico para su aplicación en el Manejo Integrado de Plagas. Manejo Integrado de Plagas (Costa Rica) 12: 48-66. 🠔
  9. García-Escamilla P, Duran-Trujillo Y, Lázaro-Dzul M, Vargas-Madríz H y Acuña-Soto J. 2016. Manejo de thrips (Frankliniella spp.) en mango (Mangifera indica L.) a base de azufre en Veracruz, México. Entomología Agrícola 3: 441-444. 🠔
  10. Jaramillo-Barrios CI, Varón-Devia EH and Monje-Andrade B. 2020. Economic injury level and action thresholds for Spodoptera frujiperda (J.E Smith) (Lepidoptera: Noctuidae) in maize crops. Revista Facultad Nacional de Agronomía Medellín 73(1): 9065-9072. doi: 10.15446/rfnam.v73n1.78824 [DOI] 🠔
  11. Lin CN, Wei MY, Chang NT and Chuang YY. 2015. The occurrence of Scirtothrips dorsalis Hood in mango orchards and factors influencing its population dynamics in Taiwan. Journal of Asia-Pacific Entomoly 18(3): 361-367. doi: 10.1016/j.aspen.2015.04.004 [DOI] 🠔
  12. Lopes RB, Tamai MA, Alves SB, Silveira-Neto S and de Salvo S. 2002. Occurrence of thrips on Niagara table grape and its control with the insecticides thiacloprid and methiocarb associated with Metarhizium anisopliae. Revista Brasileira de Fruticultura 24(1): 269-272. doi: 10.1590/S0100-29452002000100060 [DOI] 🠔
  13. MADR-Ministerio de Agricultura y Desarrollo Rural. 2020. Capítulo 1. Registro y control de plaguicidas químicos de uso agrícola. En: Minagricultura, En: Minagricultura, https://www.minagricultura.gov.co/Normatividad/Paginas/Decreto-1071-2015/CAPITULO-1-Registro-y-Control-de-Plaguicidas-Quimicos-de-Uso-Agricola.aspx Consultado: marzo 2020 [URL] 🠔
  14. Moreno B, Barrera J, Pinzón E y Valle M. 2002. pp. 59-68. Nivel de daño económico del cacahuate. En: Barrera JF (ed.). Tres plagas del café en Chiapas. El Colegio de la frontera del sur, Chiapas. 198 p. 🠔
  15. Morse JG and Hoddle MS. 2005. Invasion biology of thrips. Annual Review Entomology. 51: 67-89. doi: 10.1146/annurev.ento.51.110104.151044 [DOI] 🠔
  16. Nakano O, Silveira Neto S e Zucchi RA. 1981. Entomologia Econômica. Ceres, São Paulo. 314 p. 🠔
  17. Nondillo A, Radelli LR, Pinent SMJ e Botton M. 2009. Biologia e tabela de vida de fertilidade de Frankliniella occidentalis (Pergande) (Thysanoptera, Thripidae) em morangueiro. Revista Brasileira de Entomología. 53(4): 679-683. doi: 10.1590/S0085-56262009000400020 [DOI] 🠔
  18. Ortiz J, Infante F y Zabala J. 2016. Ciclo de vida en laboratorio y sitios de oviposición de Frankliniella invasor Sakimura 1972 (Thisanoptera: Thripidae) en panículas de mango Ataulfo. Entomología Agrícola 3: 420-424. 🠔
  19. Pedigo LP, Hutchins SH and Higley LG. 1986. Economic injury levels in theory and practice. Annual Review of Entomology 31: 341-368. doi: 10.1146/annurev.en.31.010186.002013 [DOI] 🠔
  20. Pedigo LP and Rice ME. 2014. Entomology and pest management. Sixth edition. Waveland Press, Long Grove. pp. 255-287. 🠔
  21. Rincón DF, Vásquez DF, Rivera-Trujillo H, Beltrán C and Borrero-Echeverry F. 2019. Economic injury levels for the potato yellow vein disease and its vector, Trialeurodes vaporariorum (Hemiptera: Aleyrodidae), affecting potato crops in the Andes. Crop Protection 119: 52-58. doi: 10.1016/j.cropro.2019.01.002 [DOI] 🠔
  22. Rocha FH, Infante F, Quilantán J, Goldarazena A and Funderburk JE. 2012. ‘Ataulfo' mango flowers contain a diversity of thrips (Thysanoptera). Florida Entomologist 95(1): 171-178. doi: 10.1653/024.095.0126 [DOI] 🠔
  23. Santos O, Varón E, Gaigl A y Floriano A. 2012. Nivel de daño económico para Neohydatothrips signifer (Thysanoptera: Thripidae) en maracuyá en el Huila, Colombia. Revista Colombiana de Entomología 38(1):23-29. 🠔
  24. SAS Institute - Statistical Analysis System. 2009. SAS user guide version 9.0. Cary, NC, USA. 🠔
  25. Sierra P. 2017. Nivel de daño económico y fluctuación poblacional de thrips (Frankliniella cf. gardeniae Moulton) en mango en Tolima, Colombia (Tesis de Maestría). Universidad de Caldas, Manizales. 56 p. 🠔
  26. Sierra-Baquero P, Varón-Devia EH, Gomez-Díaz L, Jaramillo-Barrios CI. 2018. Fluctuación poblacional de trips (Frankliniella cf. gardeniae) en cultivos de mango en Tolima, Colombia. Revista Colombiana de Entomología 44 (2): 158-164. doi: 10.25100/socolen.v44i2.7311 [DOI] 🠔
  27. SIOC - Sistema de información de gestión y desempeño de organizaciones de cadenas. 2018. En: Mango, https://sioc.minagricultura.gov.co/Mango/Pages/default.aspx 1 p. Consultado: Abril 2016. [URL] 🠔
  28. Virgen A, Santiesteban A y Cruz-Lopéz L. 2011. Evaluación de trampas de colores para thrips del mango Ataulfo en el Soconusco, Chiapas. Revista Mexicana de ciencias agrícolas. 2(4): 579-581. doi: 10.29312/remexca.v2i4.1644 [DOI] 🠔
  29. Weather Spark. 2019. Clima promedio Colombia. En: El clima promedio en San Luis, https://es.weatherspark.com/y/22425/Clima-promedio-en-San-Luis-Colombia-durante-todo-el-a%C3%B1o#Sections-Precipitation 1 p. [URL] 🠔