Revista Facultad Nacional de Agronomía Medellín
0304-2847
2248-7026
Facultad de Ciencias Agrarias - Universidad Nacional de Colombia
https://doi.org/10.15446/rfnam.v74n1.83837

Recibido: 9 de marzo de 2020; Aceptado: 10 de noviembre de 2020

Edible coatings based on cassava starch, salicylic acid and essential oils for preservation of fresh-cut mango

Recubrimientos comestibles a base de almidón de yuca, ácido salicílico y aceites esenciales para la conservación de mango fresco cortado

S. Santacruz Terán, 1

Universidad Laica Eloy Alfaro de Manabí, Manta, Ecuador. stalin.santacruz@gmail.com Universidad Laica Eloy Alfaro de Manabí Universidad Laica Eloy Alfaro de Manabí Manta Ecuador

ABSTRACT

Mango has a short shelf-life after harvesting. The use of edible coatings on the elaboration of minimally processed mango is an alternative for its commercialization. In the present work edible coatings based on chitosan, starch-salicylic acid and starch-cinnamaldehyde-thymol were applied to fresh cut-mango. Weight loss, soluble solids, titratable acidity, color and microbiological analyses were studied along storage for 12 days at 8 °C and 90% relative humidity. Titratable acidity was the highest for mangoes coated with chitosan and the lowest was for starch-salicylic acid coating. Regarding instrumental texture, fruit coated with chitosan showed a higher penetration force compared to fruit coated with starch and uncoated samples. Microbiological results showed that all coated mangoes inhibited growing of fungi and yeast whereas uncoated samples showed an increase of both microorganisms along 12 days of storage period.

Keywords:

Chitosan, Cinnamaldehyde, Thymol, Tommy Atkins.

RESUMEN

El mango se caracteriza por presenta un tiempo de vida útil corto luego de la cosecha. El uso de recubrimientos comestibles en la elaboración de mango mínimamente procesado es una alternativa para su comercialización. En este estudio, se aplicaron películas de quitosano, almidón de yuca-ácido salicílico o almidón de yuca-cinamaldehído-timol a mango Tommy Atkins cortado con posterior almacenamiento de 12 días a 8 °C y 90% de humedad relativa. Se analizó la pérdida de peso, sólidos solubles, acidez titulable, textura instrumental, color y análisis microbiológico del mango. Los resultados mostraron que la mayor y menor acidez titulable se obtuvo para las frutas recubiertas con quitosano y almidón-ácido salicílico, respectivamente. En cuanto a textura instrumental, la fruta recubierta con quitosano tuvo una mayor fuerza de penetración que la fruta tratada con almidón y el control. A nivel microbiológico, todas las películas inhibieron el desarrollo de hongos y levaduras mientras el control presentó un incremento durante 12 días de almacenamiento.

Palabras clave:

Quitosano, Cinamaldehído, Timol, Tommy Atkins.

Mango (Mangifera indica L.) is one of the five tropical fruits with the highest consumption worldwide (Caballero et al., 2015). Tommy Atkins is the most exported variety in Ecuador with 65% of total mango exports. Tommy Atkins mango has high resistance to handling; therefore, it has potential for the development of minimally processed products (Chiumarelli et al., 2011).

Refrigerated minimally processed mango is a good option on the market; and it responds to the need of a modern world where less time is available to prepare food (González-Aguilar et al., 2008). Industrialization of mango could contribute to the development of Ecuadorian agroindustry, through the creation of small and medium-sized enterprises (Cedeño and Cerón, 2018), and its contribution to GDP, which currently represents 7%, and is lower compared to Colombia (10%), Chile (13%), and Uruguay (12.4%) (Fiallo, 2017).

Postharvest mango losses vary between 20 and 50% (Dávila, 1998; Singh et al., 2013). The most common problems of mango agroindustry are weight loss, mechanical damage and attack of bacteria and fungi. Physicochemical properties such as color, firmness, among others, are affected by metabolic disorders caused by cutting (Tovar et al., 2001). Therefore, it is necessary to use techniques to preserve the quality attributes of minimally processed mango.

Fresh and minimally processed fresh-cut products are naturally contaminated by microorganisms of several sources, including the farm environment, post-harvest handling and processing (Abadias et al., 2008). The microflora associated with raw fruits mostly includes yeasts and moulds (Burnett and Beuchat, 2000; Tournas, 2005).

Edible coatings are an alternative to preserve the quality and freshness of minimally processed products and prolong their shelf-life. The application of coatings creates a semipermeable gas and water vapor barrier that reduces the speed of respiration and dehydration of the coated products and creates conditions similar to foods subjected to modified atmospheres (Chiumarelli et al., 2011). The most common polymers in the preparation of edible coatings are proteins, polysaccharides and lipids. Among the polysaccharides, cassava starch has been widely used due to its availability and relative low cost (Santacruz et al., 2015; Souza et al., 2012; Kampeerapappun et al., 2007; Flores et al., 2007). Edible coatings based on only polymers or in combination, have been applied to different fruits, e.g., cassava starch in fresh-cut pineapple (Bierhals et al., 2011), cassava starch and citric acid in fresh-cut Tommy Atkins mango (Chiumarelli et al., 2010), mixtures of starch and chitosan in guava (Bezerra et al., 2015), ascorbic acid and N-acetyl-cysteine in bananas (Palacín, 2012), and modified cassava starch in tomato (Hernández et al., 2011).

Chitosan has achieved considerable interest in the industry due to its biodegradability, biocompatibility and non-toxicity properties (Dash et al., 2011). Chitosan solutions exhibit good coating formation capacity and antimicrobial activity, making them potentially useful for antimicrobial biopolymer development (Dutta et al., 2009). The antimicrobial effect of chitosan could be the result of changes in cell permeability produced by the electric charge of chitosan (Devlieghere et al., 2004), molecular weight and degree of deacetylation (Zheng and Zhu, 2003). The pH and type of acid where chitosan is dissolved, as well as storage conditions may also influence antimicrobial properties (Begin and Van Calsteren, 1999; Leceta et al., 2013).

Edible coatings can be used with food additives acting against enzymatic browning, microbial growth and texture loss. The use of essential oils (EO) or active ingredients of essential oils such as carvacrol, carvone, cinnamaldehyde, citral, p-cimene, eugenol, limonene, menthol and thymol have been particularly prominent because they extend the shelf-life of food (Sung et al., 2013). Perdones et al. (2012) reported minimal changes in the physicochemical and microbiological characteristics of strawberries coated with chitosan and lemon EO for 15 days in storage at 4 °C compared to uncoated fruits or fruits coated only with chitosan. Another additive used together with edible coatings is salicylic acid. It delays the ripening of fruits, probably due to the inhibition or action of ethylene biosynthesis (Srivastava and Dwivedi, 2000). Salicylic acid has been used to control the aging by cooling of pears (Asghari et al., 2007), strawberries (Babalar et al., 2007), grapes (Asghari et al., 2009) and fresh-cut Sindrhi mangoes (Moradinezhad, 2020). There are no studies of the use of cassava starch with the addition of either cinnamaldehyde or thymol for the preservation of fresh-cut Tommy Atkins mango.

The present work aimed to study the use of edible coatings based on cassava starch together with salicylic acid, cinnamaldehyde and thymol, as well as chitosan, for the preservation of fresh-cut Tommy Atkins mango stored in refrigeration conditions. Analyses of instrumental texture (penetration force), titratable acidity, color and microbiological analysis (fungi and yeast) were performed on stored mango.

MATERIALS AND METHODS

The chitosan (molecular weight 149 kDa, deacetylation degree 95%) was donated by the Public University of Navarra (Pamplona, Spain). Tommy Atkins mangoes were purchased at a local market in the city of Manta, Ecuador. Mangoes with a degree of ripening of two (Báez, 1998) were selected according to the size and without damage.

The selected mangoes were washed, manually peeled and cut into 8.0x1.5 cm slices. These slices were immersed in the corresponding coating solution (chitosan, C; starch+salicylic acid, SSA; starch+cinamaldehyde+thymol, SCT) and dried at room temperature (approx. 25 °C). Mango samples with no coating were used as control samples. The mango slices (approx. 100 g) were then placed on polyurethane trays and coated prior to storage at 8 °C and 90% relative humidity.

Coating preparation

Coating based on either starch or chitosan were prepared by the casting technique. The chitosan coating was prepared using a chitosan solution 1% (w/v), using citric acid solution 1% (w/v) as solvent. Tween 20 at 1% (w/v), glycerol 0.5% (w/v) and glucose 0.5% (w/v) were added to the solution before homogenization with an ultraturrax (Politron, Switzerland) at 11,000 rpm for 4 min.The starch coating was prepared according to Santacruz et al. (2015). A solution of cassava starch 0.5% (w/v) was heated to 90 °C for 5 min. Tween 20 at 1% (w/v), glycerol 0.5% (w/v) and salicylic acid 2 mmol L-1 were added to the hot solution. Once the solution reached room temperature, glucose 0.5% (w/v), cinnamaldehyde 0.15% (w/v) and thymol 0.15% (w/v) were added. Finally, the solution was homogenized as described previously.

Physical-chemical characterization

Weight loss. It was calculated by weighting the fruit at 0 day and after each storage time. Measurements were performed in triplicate and the results were reported as percentage of weight.

Instrumental texture. Penetration analyses were performed according to Castro et al. (2014). Analyses were performed using a Shimadzu texturometer (EZ LX Model, Japan). A stainless-steel probe of 3 mm diameter and 8 cm length was used. The probe was introduced into the fruit at 15 mm depth with a velocity of 10 mm s-1. The maximum force (penetration force) resulting from three measurements was reported.

Soluble solids. The fruit was disintegrated using a domestic blender, followed by a filtration on a piece of cloth. The filtered juice was analyzed by a digital refractometer (KRÜSS, Germany) according to the AOAC method (1990), the results of three measurements were reported as °Brix.

Titratable acidity. Titratable acidity was determined by titration with 0.01 M NaOH solution according to the AOAC method (1984), the results of three measurements were reported as percentage of citric acid.

Color analysis. The color of mango pulp was determined using a Konic Minolta (Japan) colorimeter in a L*, a*, b* scale. Color measurements were expressed based on the chromaticity parameters a* (green [-], red [+]) and b* (blue [-], yellow [+]). Measurements were made in triplicate.

Microbiological analysis. Fungi and yeasts counting were performed on mango samples at 0, 4, 8, and 12 days of storage. 10 g of sample were used to mix with 90 mL of KCl solution 0.1% (w/v). The inoculum was prepared by mixing 1 mL of the previous solution with 9 mL of distilled water. Counting of fungi and yeasts were made according to NOM-111-SSA1-1994 (Norma Oficial Mexicana, 1994). Three repetitions were performed for each sample.

Statistical analysis. The results were analyzed by means of ANOVA and a Tukey test, using a significance of 5% by the statistical package InfoStat, Professional Version 2016. Measurements of the previous analyses were performed in triplicate along 12 days of storage.

RESULTS AND DISCUSSION

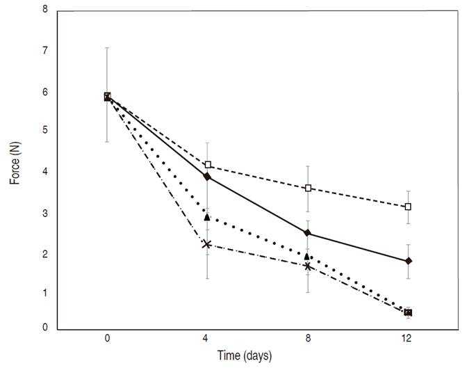
Instrumental texture. The results of the instrumental texture revealed that the maximum penetration force decreased for coated and uncoated mango samples along the 12 days of storage with values ranging from 6.0 to 0.48 N (Figure 1).

Maximum penetration force on fresh-cut Tommy Atkins mango with and without edible coating for 12 days at 8 °C and 90% relative humidity. □ chitosan (C), ▲ cassava starch+ salicylic acid (SSA), X cassava starch+cinamaldehyde+thymol (SCT) and ♦ uncoated

Figure 1: Maximum penetration force on fresh-cut Tommy Atkins mango with and without edible coating for 12 days at 8 °C and 90% relative humidity. □ chitosan (C), ▲ cassava starch+ salicylic acid (SSA), X cassava starch+cinamaldehyde+thymol (SCT) and ♦ uncoated

There was no statistically significant difference in penetration force between the samples at 4 day of storage. However, after 8 and 12 days of storage, penetration force was higher for samples coated with chitosan, while the lowest penetration force was recorded for mango samples coated with salicylic acid (SSA) and cinamaldehyde+thymol (SCT). The penetration force for the chitosan-coated (C) mango sample is maintained probably due to the reduced respiration rate (Cissé, 2015). Similar results were found by Zhu et al. (2008), using chitosan at different concentrations in 'Tainong' cv mangoes.

Weight loss. There was no difference on the weight loss of both samples coated with starch (SSA and SCT) during the whole storage time (P<0.05). Uncoated sample had the lowest weight loss followed by samples coated with chitosan. Castro et al. (2017) showed lower weight loss for papayas coated with chitosan and uncoated fruits compared to papayas coated with starch. The presence of compounds like cinnamaldehyde, thymol or salicylic acid into the coating, could accelerate a weight loss by osmotic dehydration (Vega et al., 2007).

Soluble solids. The results showed no significant difference in soluble solids content between the uncoated and coated mango samples along storage (P<0.05). Samples had a soluble solids content of approximately 9.5 °Brix at 0 day and after 12 days of storage had a value of 8.5 °Brix (Table 1). A decrease in soluble solids content was found by Bueno et al. (2005), in minimally processed pineapple stored at 5 °C. The reduction of soluble solids is probably due to the respiratory process which may lead to high consumption of organic substrates, i.e. sugars (Kader et al., 2002).

Table 1: Titratable acidity, soluble solids and weight of fresh-cut Tommy Atkins mango coated with either chitosan (C) or starch+salicylic acid (SSA), starch+cinnamaldehyde+thymol (SCT), stored for 12 days at 8 °C and 90% relative humidity.

Titratable acidity. The results showed that fruits coated with chitosan and uncoated samples presented a significant difference compared to samples treated with SSA and SCT (Table 1). Acidity values were higher for uncoated sample with value of 0.45% for 0 day, reaching 0.85% for 12 day, followed by chitosan treatment with 0.45% for 12 day and 0.65% for 12 day of storage. The lowest values were for samples treated with salicylic acid, which presented values of 0.45% for 0 day and 0.49% for 12 day. Samples treated with cinamaldehyde+thymol, showed acidities of 0.45% for 0 day and 0.44% for 12 day of storage.

High values of titratable acidity of uncoated sample may be due to the production of organic acids by growing of microorganisms (Russo et al., 2014). Similar behavior was found by Bueno et al. (2005) for minimally processed pineapple stored at 5 °C. Low values of titratable acidity for fruits treated with starch edible films is another indicator of ripening, as organic acids are also used during respiration (Freire et al., 2005). Additionally, starch edible coating may reduce the level of O2 inside the packages of mango slices, leading to minimal effect on the physical and chemical changes of mango during storage in low O2 atmospheres (Freire et al., 2005; Rathore et al., 2007). The chitosan treatment showed greater values of acidity in relation to the other treatments throughout the storage period. Chitosan films are more selectively permeable to O2 than to CO2, maintaining the conditions of the coated fruit similar to an uncoated sample and promoting the production of metabolites that lead to an increase of acidity (Kweon et al., 2001).

Color. Table 2 shows the results of color of mango slices during storage. There was not statistically difference for L*, a* and b* values between coated and uncoated samples. The only exception was the L* value of the sample treated with SSA after 12 days of storage, which was smaller and statistically different to the other samples. At those days of storage, L* value decreased by 10% for SSA samples and by 7.9% for SCT samples, while the uncoated sample increased 9%. The decrease in the L* value means that mango pulp became less bright during storage. There was not difference between a* and b* values among samples.

Table 2: Changes in L*, a* and b* values of fresh-cut Tommy Atkins mango coated with C, SSA or SCT, stored for 12 days at 8 °C and 90% relative humidity.

Other authors (Robles et al., 2013) used antioxidant edible coatings for Kent mango cubes. They found at the end of storage that coated samples lost only 2.5% of the initial L* value compared to 7% loss in samples with no edible coating. Edible coatings based on polysaccharides and antioxidants have been used to delay browning in freshly cut apples maintaining L* values throughout storage (Lee et al., 2003; Fontes et al., 2008). Chiumarelli et al. (2011) reported that cassava starch coatings offer effective maintenance of color characteristics in cut mango samples due to the combined effect of the coating and citric acid. Although edible polysaccharide coatings such as starch are a good gas barrier (Dussan et al., 2014), in the present study, SSA or SCT did not achieve an effective browning delay.

Microbiological analysis. The results of the microbiological analysis (Table 3) show that all the treatments inhibited the development of fungi and yeasts in comparison with the uncoated samples, which showed an increase in the colonies from 1 log CFU g-1 at 0 day to 1.8 log CFU g-1 at 12 day of the study. Studies show chitosan at concentrations lower than 1% affects the sporulation of Botrytis cinerea and Penicillium expansum (Liu et al., 2007). The effect of chitosan on the germination of Rhizopus stolonifer spores has been previously reported at concentrations ranging from 1 to 2 mg mL-1 (Hernández et al., 2007; Hernández et al., 2008). Besides, Badawy and Rabea (2009) reported that chitosan applied in concentrations of 2 to 4 mg mL-1 can control Botrytis cinerea infections in tomato fruits. Bautista et al. (2003) showed that chitosan coatings control anthracnose in papaya fruits and inhibits the growth of fungi such as Fusarium oxysporum, R. stolonifer, Penicillium digitatum and C. gloeosporioides at 3% (Bautista et al., 2003; Bautista et al., 2004). The efficacy of cinamaldehyde in inhibiting the growth of fungi of the genera Aspergillus and Penicillium has been demonstrated by several authors. López et al. (2007a) found that P. islandicum and A. flavus were completely inhibited by cinamaldehyde-fortified in vapor phase. Tunc et al. (2007) found that cinamaldehyde is one of the strongest growth inhibitors of Penicillium notatum. Antimicrobial polypropylene films incorporating 2% cinamaldehyde also showed complete inhibition of A. flavus, Penicillium comuna, P. expansum, Penicillium nalgiovense, Penicillium roqueforti, and P. islandicum (López et al., 2007b). Plotto et al. (2003) reported that carvacrol, thymol, and citral compounds showed inhibition of mycelial growth of Botrytis cinerea, Alternaria arborescens, and Rhizopus stolonifer. Essential oils may affect stages of fungal development such as germination of spores and development of mycelium.

Table 3: Fungi and yeast growing on fresh-cut Tommy Atkins mango coated with C, SSA or SCT stored for 12 days at 8 °C and 90% relative humidity.

CONCLUSIONS

The use of edible chitosan-based coatings reduces textural and weight loss changes in mango slices stored in refrigeration, compared to coated samples with starch and uncoated samples. There was no difference in soluble solids between coated and uncoated samples during the whole storage, whereas differences in color were observed after the 8 day. The starch-based coatings reduce the changes of acidity during storage. Chitosan and starch-based coatings inhibits the growth of fungi and yeasts on mango slices. Further studies could examine the solubilization of chitosan in other acids, as well as sensory analysis of coated samples for consumer acceptability

Acknowledgements

ACKNOWLEDGEMENTS

The author thanks to Marlon Castro and Christian Rivadeneira for their valuable contribution for the lab work.

REFERENCES

  1. Abadias M, Usall J, Oliveira M, Alegre I, Viñas I. 2008. Efficacy of neutral electrolyzed water (NEW) for reducing microbial contamination on minimally-processed vegetables. International Journal of Food Microbiology 123: 151-158. doi: 10.1016/j.ijfoodmicro.2007.12.008 [DOI] 🠔
  2. AOAC. 1984. Association of Official Analytical Chemist. 1984. Official methods of analysis of the Association of Official Analytical Chemists. 14th Edition. Association of Official Analytical Chemists, Washington DC. 🠔
  3. AOAC. 1990. Association of Official Analytical Chemist. 1990. Official methods of analysis of the Association of Official Analytical Chemists . 15th Edition. Association of Official Analytical Chemists, Washington DC. 🠔
  4. Asghari M, Hajitagilo R and Shirzad H. 2007. Postharvest treatment of salicylic acid effectively controls pear fruit diseases and disorders during cold storage. In: Proceedings of the International Congress on Novel Approaches for the Control of Postharvest Diseases and Disorders. COST action 924: 355-360 🠔
  5. Asghari M, Hajitagilo R and Jalilimarandi R. 2009. Postharvest application of salicylic acid before coating with chitosan affects the pattern of quality changes in table grape during cold storage. In: 6th International Postharvest Symposium, Antalya, Turkey. 🠔
  6. Babalar M, Asghari M, Talaei A and Khosroshahi A. 2007. Effect of pre- and postharvest salicylic acid treatment on ethylene production, fungal decay and overall quality of Selva strawberry fruit. Food Chemistry 105: 449-453. doi: 10.1016/j.foodchem.2007.03.021 [DOI] 🠔
  7. Badawy M and Rabea E. 2009. Potential of the biopolymer chitosan with different molecular weights to control postharvest gray mold of tomato fruit. Postharvest Biology and Technology 51: 110-117. doi: 10.1016/j.postharvbio.2008.05.018 [DOI] 🠔
  8. Báez S. 1998. Norma mexicana de calidad para mango fresco de exportación. Comité Técnico Científico de Empacadores de Mango de Exportación, A.C. (EMEX, A.C.), Guadalajara, Jalisco. México. 4 p. 🠔
  9. Bautista S, Hernández M, Bósquez E and Wilson C. 2003. Effects of chitosan and plant extracts on growth of C. gloeosporioides, anthracnose levels and quality of papaya fruit. Crop Protection 22: 1087-1092. doi: 10.1016/S0261-2194(03)00117-0 [DOI] 🠔
  10. Bautista S, Hernández M and Bósquez E. 2004. Growth inhibition of selected fungi by chitosan and plant extracts. Mexican Journal of Phytopatholy 22: 178-186. 🠔
  11. Begin A and Van Calsteren M. 1999. Antimicrobial films produced from chitosan. International Journal of Biological Macromolecules 26: 63-67. doi: 10.1016/S0141-8130(99)00064-1 [DOI] 🠔
  12. Bezerra A, Fitzgerald A and Lins L. 2015. Impact of edible chitosan-cassava starch coatings enriched with Lippia gracilis Schauer genotype mixtures on the shelf life of guavas (Psidium guajava L.) during storage at room temperature. Food Chemistry 171: 108-116. doi: 10.1016/j.foodchem.2014.08.077 [DOI] 🠔
  13. Bierhals V, Chiumarelli M and Hubinger M. 2011. Effect of cassava starch coating on quality and shelf life of fresh‐cut pineapple (Ananas comosusL. Merril cv "Pérola"). Food Science 76: E62-E72. doi: 10.1111/j.1750-3841.2010.01951.x [DOI] 🠔
  14. Bueno S, Boas J, Elisabeth E and Pinheiro T. 2005. Avaliação da qualidade do abacaxi "pérola" minimamente processado armazenado sob atmosfera modificada. Ciência e Agrotecnologia 29: 353-361. doi: 10.1590/S1413-70542005000200012 [DOI] 🠔
  15. Burnett S and Beuchat L. 2000. Human pathogens associated with raw produce and unpasteurized juices, and difficulties in decontamination. Journal of Industrial Microbiology & Biotechnology 25: 281-287. doi: 10.1038/sj.jim.7000106 [DOI] 🠔
  16. Caballero B, Finglas P and Toldra F. 2015. Encyclopedia of Food and Health. Academic Press. Waltham. 🠔
  17. Castro M, Rivadeneira C, Mantuano M, Santacruz S and Ziani K. 2014. Aplicación de recubrimientos comestibles a base de quitosano y áloe vera sobre papaya (Carica papaya L. cv. "Maradol") cortada. Alimentos, Ciencia e Ingeniería 22: 05-12. 🠔
  18. Castro M, Mantuano M, Coloma J and Santacruz S. 2017. Utilisation of Cassava starch edible films containing salicylic acid on papaya (Carica papaya L.) preservation. Revista Politécnica 39(1): 7-12. 🠔
  19. Cedeño J y Cerón O. 2018. Industrialización de frutas tropicales: impacto y desarrollo socioeconómico de los productores del Cantón Flavio Alfaro-Ecuador. Revista Observatorio de la Economía Latinoamericana enero. 🠔
  20. Chiumarelli M, Pereira L, Ferrari C, Sarantópoulos C and Hubinger M. 2010. Cassava starch coating and citric acid to preserve quality parameters of fresh‐cut "Tommy Atkins" Mango. Food Science 75: E297-E304. doi: 10.1111/j.1750-3841.2010.01636.x [DOI] 🠔
  21. Chiumarelli M, Ferrari C, Sarantópoulos C and Hubinger M. 2011. Fresh cut Tommy Atkins mango pre-treated with citric acid and coated with cassava (Manihot esculenta Crantz) starch or sodium alginate. Innovative Food Sci & Emerging Technologies 12: 381-387. doi: 10.1016/j.ifset.2011.02.006 [DOI] 🠔
  22. Cissé M. 2015. Preservation of mango quality by using functional chitosan-lactoperoxidase systems coatings. Postharvest Biology and Technology 101: 10-14. doi: 10.1016/j.postharvbio.2014.11.003 [DOI] 🠔
  23. Dash M, Chiellini F, Ottenbrite R and Chiellini E. 2011. Chitosan: A versatile semi-synthetic polymer in biomedical applications. Progress in Polymer Science 36: 981-1014. doi: 10.1016/j.progpolymsci.2011.02.001 [DOI] 🠔
  24. Dávila J. 1998. Manual poscosecha de mango. Proyecto BID-Fundacyt-Escuela Politécnica Nacional-090, Quito. 🠔
  25. Devlieghere F, Vermeulen A and Debevere J. 2004. Chitosan: antimicrobial activity, interactions with food components and applicability as a coating on fruit and vegetables. Food Microbiology 21: 703-714. doi: 10.1016/j.fm.2004.02.008 [DOI] 🠔
  26. Dussan S, Torres C and Hleap J. 2014. Effect of edible coating and different packaging during cold storage of fresh-cut mango. Información Tecnológica 25: 123-130. doi: 10.4067/S0718-07642014000400014 [DOI] 🠔
  27. Dutta P, Tripathi S, Mehrotra G and Dutta J. 2009. Perspectives for chitosan based antimicrobial films in food applications. Food Chemistry 114: 1173-1182. doi: 10.1016/j.foodchem.2008.11.047 [DOI] 🠔
  28. Fiallo J. 2017. Importancia del sector agrícola en una economía dolarizada. Tesis. Universidad San Francisco de Quito. Quito. 48 p. 🠔
  29. Flores S, Famá L, Rojas A, Goyanes S and Gerschenson L. 2007. Physical properties of tapioca-starch edible films: influence of filmmaking and potassium sorbate. Food Research International 40: 257-265. doi: 10.1016/j.foodres.2006.02.004 [DOI] 🠔
  30. Fontes L, Sarmento S, Spoto M and Dias C. 2008. Preservation of minimally processed apple using edible coatings. Ciência e Tecnologia de Alimentos 28: 872−880. 🠔
  31. Freire M, Lebrun M, Ducamp M and Reynes M. 2005. Evaluation of edible coatings in fresh cuts mango fruits. In: Information and Technology for Sustainable Fruit and Vegetable Production. FRUTIC O5. Montpellier-France. 🠔
  32. González-Aguilar G, Celis J, Sotelo-Mundo R, de la Rosa L, Rodrigo-García J and Álvarez-Parrilla E. 2008. Physiological and biochemical changes of different fresh-cut mango cultivars stored at 5 °C. International Journal of Food Science and Technology 43: 91-101. doi: 10.1111/j.1365-2621.2006.01394.x [DOI] 🠔
  33. Hernández M, Velázquez M, Guerra M and Melo G. 2007. Actividad antifúngica del quitosano en el control de R. stolonifer y Mucor spp. Revista Mexicana de Fitopatología 25: 109-113. 🠔
  34. Hernández A, Bautista S, Velázquez M, Méndez M, Sánchez M and Bello L. 2008. Antifungal effects of chitosan with different molecular weights on in vitro development of R. stolonifer. Carbohydrate Polymers 73: 541-547. doi: 10.1016/j.carbpol.2007.12.020 [DOI] 🠔
  35. Hernández P, Burbano A, Mosquera S, Villada H and Navia D. 2011. Efecto del recubrimiento a base de almidón de yuca modificado sobre la maduración del tomate. Revista Lasallista de Investigación 8: 96-103. 🠔
  36. Kader A. 2002. Postharvest technology of horticultural crops. Publication 3311. Agriculture and Natural Resources, University of California, Oakland CA. 535 p. 🠔
  37. Kampeerapappun P, Aht-Ong D, Pentrakoon D and Srikulkit K. 2007. Preparation of cassava starch/montmorillonite composite film. Carbohydrate Polymers 67: 155-163. doi: 10.1016/j.carbpol.2006.05.012 [DOI] 🠔
  38. Kweon H, Ha H, Um I and Park Y. 2001. Physical properties of silk fibroin/chitosan blend films. Journal of Applied Polymer Science 80: 928-934. Doi: 10.1002/app.1172 [DOI] 🠔
  39. Leceta I, Guerrero P, Ibarburu I, Dueñas M and Caba K. 2013. Characterization and antimicrobial analysis of chitosan-based films. Journal of Food Engineering 116: 889-899. doi: 10.1016/j.jfoodeng.2013.01.022 [DOI] 🠔
  40. Lee J, Park H and Choi W. 2003. Extending shelf-life of minimally processed apples with edible coatings and antibrowning agents. LWT Food Science and Technology 36: 323−329. doi: 10.1016/S0023-6438(03)00014-8 [DOI] 🠔
  41. Liu J, Tian S, Meng X and Xu Y. 2007. Effects of chitosan on control of postharvest diseases and physiological responses of tomato fruit. Postharvest Biology and Technology 44: 300-306. doi 10.1016/j.postharvbio.2006.12.019 [DOI] 🠔
  42. López P, Sánchez C, Batlle R and Nerin C. 2007a. Vapor-phase activities of cinnamon, thyme, and oregano essential oils and key constituents against foodborne microorganisms. Journal of Agriculture and Food Chemistry 55: 4348-4356. doi: 10.1021/jf063295u [DOI] 🠔
  43. López P, Sánchez C, Batlle R and Nerin C. 2007b. Development of flexible antimicrobial films using essential oils as active agents. Journal of Agriculture and Food Chemistry . 55: 8814-8824. doi: 10.1021/jf071737b [DOI] 🠔
  44. Moradinezhad F. 2020. Quality improvement and shelf-life extension of minimally fresh-cut mango fruit using chemical preservatives. Journal of Horticulture and Postharvest Research 4: 13-24. doi: 10.22077/jhpr.2020.3456.1151 [DOI] 🠔
  45. Norma Oficial Mexicana. 1994. NOM-111-SSA1-1994. Bienes y Servicios. Método para la cuenta de mohos y levaduras en alimentos. Sociedad Mexicana de Normalización y Certificación, S.C. México 🠔
  46. Palacín J. 2012. Efectos de recubrimientos de almidón de yuca, ácido ascórbico, n-acetil-cisteína en la calidad del plátano (Musa paradisiaca). (Tesis maestría). Universidad Nacional de Colombia. Cartagena. 55 p. 🠔
  47. Perdones A, Sánchez L, Chiralt A and Vargas M. 2012. Effect of chitosan-lemon essential oil coatings on storage of strawberry. Postharvest Biology and Technology 70: 32-41. doi: 10.1016/j.postharvbio.2012.04.002 [DOI] 🠔
  48. Plotto A, Roberts D and Roberts R. 2003. Evaluation of plant essential oils as natural postharvest disease control of tomato. Acta Horticulturae 628: 737-745. doi: 10.17660/ActaHortic.2003.628.93 [DOI] 🠔
  49. Rathore H, Masud T and Soomro A. 2007. Effect of storage on physico-chemical composition and sensory properties of mango. Pakistan Journal of Nutrition 6: 143-148. doi: 10.3923/pjn.2007.143.148 [DOI] 🠔
  50. Robles R, Rojas M, Odriozola I, Gonzales G and Martin O. 2013. Influence of alginate-based edible coating as carrier of antibrowning agents on bioactive compounds and antioxidant activity in fresh-cut Kent mangoes. LWT Food Science and Technology 50: 240-246. doi: 10.1016/j.lwt.2012.05.021 [DOI] 🠔
  51. Russo P, de Chiara M, Vernile A, Amodio M, Arena M, Capozzi V, Massa S and Spano G. 2014. Fresh-cut pineapple as a new carrier of probiotic lactic acid bacteria. BioMed Research International 2014: 9 pages. doi: 10.1155/2014/309183 [DOI] 🠔
  52. Santacruz S, Rivadeneira C and Castro M. 2015. Edible films based on starch and chitosan. Effect of starch source and concentration, plasticizer, surfactant's hydrophobic tail and mechanic al treatment. Food Hydrocolloids 49: 89-94. doi: 10.1016/j.foodhyd.2015.03.019 [DOI] 🠔
  53. Singh Z, Singh R, Sane V and Nath P. 2013. Mango postharvest biology and biotechnology. Critical Reviews in Plant Sciences 32: 217-236. doi: 10.1080/07352689.2012.743399 [DOI] 🠔
  54. Souza A, Benze R, Ferrão E, Ditchfield C, Coelho A and Tadini C. 2012. Cassava starch biodegradable films: Influence of glycerol and clay nanopaticle content on tensile and barrier properties and glass transition temperature. LWT Food Science and Technology 46: 110-117. doi: 10.1016/j.lwt.2011.10.018 [DOI] 🠔
  55. Srivastava M and Dwivedi U. 2000. Delayed ripening of banana fruit by salicylic acid. Plant Science 158: 87 - 96. doi: 10.1016/S0168-9452(00)00304-6 [DOI] 🠔
  56. Sung S, Sina L, Tee T, Bee S, Rahmat A and Rahman W. 2013. Antimicrobial agents for food packaging applications. Trends in Food Science and Technology 33: 110-123. doi: 10.1016/j.tifs.2013.08.001 [DOI] 🠔
  57. Tovar B, García H and Mata M. 2001. Physiology of pre-cut mango II. Evolution of organic acids. Food Research International 34: 705-714. doi: 10.1016/S0963-9969(01)00092-8 [DOI] 🠔
  58. Tournas, V. 2005. Moulds and yeasts in fresh and minimally processed vegetables, and sprouts. International Journal of Food Microbiology 99: 71-77. doi: 10.1016/j.ijfoodmicro.2004.08.009 [DOI] 🠔
  59. Tunc S, Chollet E, Chalier P and Gontard N. 2007. Combined effect of volatile antimicrobial agents on the growth of P. notatum. International Journal of Food Microbiology 113: 263-270. doi 10.1016/j.ijfoodmicro.2006.07.004 [DOI] 🠔
  60. Vega A, Palacios M, Boglio F, Pássaro C, Jeréz C y Lemus R. 2007. Deshidratación osmótica de la papaya chilena (Vasconcellea pubescens) e influencia de la temperatura y concentración de la solución sobre la cinética de transferencia de materia. Food Science and Technology 27: 470-477. doi: 10.1590/S0101-20612007000300008 [DOI] 🠔
  61. Zheng LY and Zhu JF. 2003. Study on antimicrobial activity of chitosan with different molecular weights. Carbohydrate Polymers 54: 527-530. doi: 10.1016/j.carbpol.2003.07.009 [DOI] 🠔
  62. Zhu X, Qiuming W, Jiankang C and Weibo J. 2008. Effects of chitosan coating on postharvest quality of mango. Journal of Food Processing and Preservation 32: 770-784. doi: 10.1111/j.1745-4549.2008.00213.x [DOI] 🠔