Revista Facultad Nacional de Agronomía Medellín
0304-2847
2248-7026
Facultad de Ciencias Agrarias - Universidad Nacional de Colombia
https://doi.org/10.15446/rfnam.v75n2.96791

Recibido: 29 de octubre de 2021; Aceptado: 30 de enero de 2022

Forage quality in a neotropical savanna based on different types of fertilization

Calidad del forraje en una sabana neotropical basada en diferentes tipos de fertilización

R. Elizabeth, 1 L. Zenaida, 2 H. Mary, 3 R. Rubén, 4

Universidad Estatal Amazónica, Ecuador. ec.ramirez@itme.org Universidad Estatal Amazónica Universidad Estatal Amazónica Ecuador
Universidad Central de Venezuela (UCV), Venezuela. zenaidalozano@gmail.com Universidad Central de Venezuela Universidad Central de Venezuela Venezuela
Universidad Nacional Experimental Simón Rodríguez, Venezuela. rmhhdo@gmail.com Universidad Nacional Experimental Simón Rodríguez Universidad Nacional Experimental Simón Rodríguez Venezuela
Universidad Internacional SEK (UISEK), Ecuador. jose.ramirez@uisek.edu.ec Universidad Particular Internacional Sek Universidad Internacional SEK Ecuador

ABSTRACT

The application of different sources of nutrients to the soil with varying degrees of solubility, as well as the use of organic and inorganic fertilizers, can generate different responses in agroecosystems. The objective of this study was to evaluate the effect of different fertilization options on the quality of forage in the conservation-based agroecosystems of neotropical savannas. Both perennial species Brachiaria dictyoneura and the legume Centrosema macrocarpum are associated with corn cultivation. Four fertilization treatments were evaluated within each cover crop, applying 150 kg ha-1 of nitrogen, 150 kg ha-1 of P2O5, 100 kg ha-1 of K2O, and varying the source of phosphorus, being the treatments distributed as follows: i) phosphoric rock, high dose of phosphorus (100% of P2O5 as phosphoric rock), ii) diammonium phosphate, high dose of P (50% of P2O5 as phosphoric rock and 50% as diammonium phosphate), iii) biological fertilization, low dose of P (25% of P2O5 as phosphoric rock and inoculation with biofertilizer based on native arbuscular mycorrhizal fungi, such as Gigaspora, Scutellospora, Acaulospora, and Glomus), and finally, iv) the unfertilized treatment. The results show that under direct sowing and the use of biological fertilization sources using phosphoric rock as a source of P, similar and even higher levels of raw protein can be reached than when using fertilization with soluble sources such as the diammonium phosphate, which induce greater sustainability of the cover biomass, being an alternative in the management of this types of agroecosystems.

Keywords:

Agroecosystems, Biomass, Cover crop, Nitrogen fixation.

RESUMEN

La aplicación de distintas fuentes de nutrientes al suelo, con variados grados de solubilidad, así como el uso de fertilizantes de tipo orgánico e inorgánico, pueden generar diferentes respuestas en los agroecosistemas. El objetivo de este estudio fue evaluar el efecto de diferentes opciones de fertilización sobre la calidad del forraje en el manejo conservacionista de sabanas neotropicales. Las especies introducidas fueron Brachiaria dictyoneura y la leguminosa Centrosema macrocarpum, ambas perennes, asociadas al cultivo de maíz. Dentro de cada cobertura se evaluaron cuatro tratamientos de fertilización, aplicando 150 kg ha-1 de nitrógeno, 150 kg ha-1 de P2O5, 100 kg ha-1 de K2O, y variando la fuente de fósforo, quedando los tratamientos distribuidos de la siguiente forma: i) roca fosfórica, dosis alta de fósforo (100% del P2O5 como roca fosfórica), ii) fosfato diamónico, dosis alta de P (50% del P2O5 como roca fosfórica y 50% como fosfato diamónico , iii) fertilización biológica, dosis baja de P (25% del P2O5 como roca fosfórica e inoculación con biofertilizante a base de hongos micorrízicos arbusculares nativos, como Gigaspora, Scutellospora, Acaulospora y Glomus) y por último, iv) el tratamiento sin fertilizar. Los resultados permiten concluir que bajo siembra directa y uso de fuentes de fertilización biológica empleando roca fosfórica como fuente de P, se pueden alcanzar niveles de proteína cruda similares e incluso mayores, que al utilizar fertilización con fuentes solubles como el fosfato diamonio, por lo cual se induce a una mayor sostenibilidad de la biomasa de las coberturas, siendo una alternativa en el manejo de este tipo de agroecosistemas.

Palabras clave:

Agroecosistemas, Biomasa, Cultivos de coberturas, Fijación de nitrógeno.

Well-drained savanna production systems in Venezuela are acidic, coarse-textured, with a low capacity to retain water and nutrients, especially phosphorus and calcium. The characteristic production systems of the zone are based on extensive cattle raising on low-quality natural pastures (Ramírez-Iglesias et al., 2021).

Agroecological technologies, such as cover crops have been tested to provide alternative soil uses for low-income farmers (Gwenzi, 2021). Such alternatives aim at augmenting the biomass of micro-and macrobiota in soils and its application in agroecosystems (Nascimento et al., 2021).

The inclusion of cover crops in agricultural or pastoral rotation systems is a very effective tool for the integrated management of weeds, being a key factor in the minimization of agrochemical applications (Campos et al., 2021; Watters, 2021). This occurs mainly because of the effect they have in lowering the weed pressure for the following crop. Besides, they have a leading role in soil conservation, since they get cover crops throughout the year, significantly reducing soil losses due to erosion. These benefits derived from the inclusion of cover crops favor the sustainability of productive systems and can be considered part of a gradual transition to agroecological production systems (Campos et al., 2021).

The wide use of cover crop mixes still requires many adjustments both in technical parameters and in agronomic management, in order to achieve a high balanced biomass mix (Ramírez-Iglesias et al., 2020). In general, this technique succeeds in increasing the fertility of the surface soil in the short term, due to the beneficial contribution of the roots, reducing erosion to a minimum, in conservation agriculture systems with total coverage, compared to studies in non-coverage and tillage systems (Albarracín-Zaidiza et al., 2019; Correa et al., 2020). This practice significantly reduces the use of industrial chemical synthesis fertilizers. Thus, in addition to the direct benefits on the soil, others of an economic, social, and environmental nature point towards a more sustainable agriculture (Albarracín-Zaidiza et al., 2019; Francisquini et al., 2020).

The use of phosphoric rock (RF) in acid soils has also been widely reported as a beneficial option. The principle of this benefit lies in the variable dissolution rate of RF, which depends on the concentration of protons (H+) and the reaction products, Ca2+ and H2PO4 - in solution, around the RF granules (Beura et al., 2021). Thus, the rate of RF dissolution increases as the acidity increases and the concentrations of P and Ca+2 in the soil decreases (Niswati et al., 2021). In this sense, Alewell et al. (2020) pointed out that there is a strong influence on the size of the Ca sink in the RF dissolution, therefore, a high Ca extraction by the crop could maintain a low level of Ca+2 in the soil solution, which would allow the RF dissolution to continue.

It has further been proved that the association of grasses and leguminous plants provides greater efficiency to the soil for RF dissolution since it is associated with the dependence of biological fixation of N and the greater Ca absorption in leguminous plants, in relation to grasses. The latter contributes to an excess of accumulated cations and greater efficiency in the use and dissolution of RF (Maiquetía et al., 2020), and therefore to greater use by the crop.

The use of cover crops such as grasses and legumes is presented as a key to livestock with ruminants (Nascimento et al., 2021) because it generates multiple benefits including the conservation of soil moisture, and legumes to consider the symbiosis that occurs in its rhizosphere (Chippano et al., 2021; Moura et al., 2020).

The fixation of biological N2, originating in the Rhizobium-Leguminosae association, is enriched in otherwise N deficient soils (Hernández et al., 2020), which favors the application of ATP by bacteria to generate a capitation process by the nitrogenase enzyme complex, reducing N2 to NH3, and eventually to NH4 +, which is absorbed in its soluble form by roots and transformed to organic N. A symbiotic relation occurs when bacteria provide plants with the needed NH4 +, while the plants generate radical carbohydrate-rich exudates, which can be captured by bacteria in the formation of microbial biomass (Chippano et al., 2020).

Ramírez-Iglesias et al. (2021) observed a mutualistic association between roots and arbuscular mycorrhiza, in which plants form nutrient-poor savanna, shape and stabilize soils, improving fertility and the formation of aggregates from mechanical and chemical activities. Chippano et al. (2021) support this since these authors described mycelial webs catching and compacting primary soil particles to greater depths, improving the caption of PO4 -3 and N mineralization together with microbial activity. The forage improvements related to the productivity of agroecosystems were elucidated in improved forage and favor a balance of N in the agroecosystem that is reflected in its productivity (Hernández et al., 2020; Maiquetía et al., 2020).

This variability in the amount of forage is essential to estimate it at different times of the year, which consequently will allow predicting, among others, indicators associated with the management of grazing. These indicators analyzed systematically will allow minimizing the risks that lead to degradation conditions of the pasture ecosystem in the production unit (over and under grazing), associated mainly with decisions of grazing time and rest of the pasture and animal load (Ramírez-Iglesias et al., 2021).

In this context, this research aimed to evaluate the dynamics of aerial biomass (green, dry, and stem), leaf/stem relationships, and crude protein content under different types of phosphoric fertilization in a cereal-livestock conservation management system.

MATERIALS AND METHODS

Characteristics of the study area

The research was developed in the Experimental Station "La Iguana", which belongs to the National Experimental University Simón Rodríguez located at 8°25' N; 65°25' W and 80-120 masl, in the well-drained savannas of Venezuela, corresponding to the Tropical Dry Forest, where the climate is seasonal with two climatic periods; a dry one from November to May, and a rainy one from June to October.

Establishment and management of the trial

Before this work was carried out, a conservationist management was established in the area for the development of cereal-livestock production units. For this purpose, two types of perennial coverings were introduced in the agroecosystem: a leguminous, Centrosema macrocarpum (Cm), and a grass, Brachiaria dictyoneura (Bd). The natural vegetation of the savanna was considered as the control treatment. Both covers were established for two years and a first cut was made before the direct sowing of the corn.

Centrosema macrocarpum is a perennial herbaceous legume with an ascending, vigorous, and curly habit. It is adapted to various types of soils, such as acidic and medium fertility soils, but well-drained, which shows resistance to drought. It has high contents of minerals and proteins. It is desirable for livestock and resists intensive grazing (Akdeniz et al., 2019; Bondaruk et al., 2020; Chippano et al., 2020). Brachiaria dictyoneura is a perennial cespitose grass with semi-erect to prostrate and dense growth, pubescent, with long and green lanceolate leaves and dark purple coloring on its edges, and it grows to heights of 0.4 and 0.9 m. Due to the aggressiveness of its growth, it has been recommended to sow it alone and not in association (Correa et al., 2020).

The establishment of the covers was between 2002 and 2004, for which the area was deforested for the trial. Then, the preparation of land was carried out using two cross passes of a light harrow. The replanting of the plots under the introduced covers was conducted as well as a sampling of soil and vegetation for initial characterization. They were later fertilized with 300 kg ha-1 of phosphoric rock, applied by broadcasting, and incorporated with a pass of harrow, all in 14 days. Six days later, the introduced covers were sown with 4 kg ha-1 for the grass (Brachiaria dictyoneura) and 3 kg ha-1 for the legume (Centrosema macrocarpum), and two years later the sampling was carried out to evaluate the effect of the covers on the soil properties.

During the period 2005-2006, the first cycle of corn-cattle was made, starting with the demarcation of the fertilization management plots (18x350 m), with sampling before the cut of covers. Then, a rotary pass for the uniformization of covers was carried out. Control weed was performed using 2 L ha-1 of Paraquat. Later, the direct sowing of hybrid corn variety Imeca 3005 treated with Thiodicarb was performed (60000 plants ha-1).

A conservationist approach to fertilization was used in sandy soils, with basic fertilization of 40 - 100 - 40 kg ha-1 N-P2O5-K2O, in the form of Urea - Diammonium Phosphate - Potassium Chloride; a first re-sowing with 30 kg ha-1 N - 40 kg ha-1 K2O, 23 days after sowing with Urea - Potassium Chloride, and a second re-sowing with 30 kg ha-1 N at 41 days after sowing, as Urea. Then a sampling was carried out during the corn flowering period and later the corn was harvested.

Once the cereal was harvested at the beginning of the dry season, an intensive grazing was made with cattle equivalent to 1.04 UA ha-1 for 110 days so that they could feed with the covers and corn stubble, culminating with a sampling after the grazing.

Experimental design

A completely randomized design with a 2x4 factorial arrangement (2 types of cover crop and 4 types of fertilization) and 12 repetitions distributed in three sampling units were used in each treatment. Due to the need to use large experimental units to evaluate the effect of management on the plant, animal, and soil properties (Turner and Carpenter, 1999, Ramírez-Iglesias et al., 2020), plots of approximately 2.6 ha (75x350m) were used for each cover crop (Bd and Cm).

Within each cover crop, fertilization types were placed in 18x350 m plots and within each fertilization type, sampling units were 900 m2 (15x60 m). The dimensions, orientation, and the number of samples to be taken in each of the experimental plots were determined based on a previous study of spatial variability (Bravo et al., 2004; Lozano et al., 2004). The experiment was performed in the dry season since part of the management includes the harvest of corn and the introduction of livestock to take advantage of corn residues, as part of the management of grazing.

Within each cover, four types of fertilization were established, with basic fertilization with 150 kg ha-1 of N - 150 kg ha-1 P2O5 - 100 kg ha-1 K2O, and variation of the phosphorus source, being the treatments as follows Io: control without fertilization (0 N - 0 P2O5 - 0 K2O); RF: high dose of phosphorus (100% of P2O5 as phosphate rock); IR: high dose of P (50% of P2O5 as RF and 50% as diammonium phosphate, FDA); FB: low dose of P (25% of P2O5 as RF and inoculation with biofertilizer based on native arbuscular mycorrhizal fungi).

Determination of biomass and forage quality

For the quantification of the total aerial biomass of the forage, a ring of 50 cm in diameter was used, taking the plant material located on the surface of the soil that was enclosed in the ring. This procedure was carried out by throwing the ring 6 times randomly, in five punctual moments during the grazing period (n=24), at 0, 41, 60, 81, and110 days after the animals were introduced (DAIA) in each paddock of the cover crop and fertilization treatments. The total number of samples in the analysis for the five sampling moments was n=120.

The material was weighed and separated into green, dry, and stem biomass fractions, then was dried in an oven at 40 °C for 72 h (Ciavatta et al., 1989), and processed in a Wiley mill for further analysis. Likewise, the green: dry and leaf: stem ratios were performed.

The crude protein was determined for each sample (CP) through wet digestion with H2SO4 and H2O2 and the CP was determined, from the % of N (Bremmer, 1982; Ciavatta et al., 1989).

Statistical analysis

The results obtained in the different stages were subjected to descriptive exploratory analysis, verification of statistical assumptions, and the detection and elimination of anomalous values, per cover treatment (green and dry biomass, and leaf), soil (0-15 and 15-30 cm) fertilization (RF, IR, FB, Io), and seasons (5-moment sampling).

The normality of data was evaluated with descriptive analysis of mode, mean, asymmetry, and kurtosis. Data distribution was illustrated as variance (S2), standard deviation (SD), variance coefficient (CV), and maximum and minimum values.

The interactions between the covers of Brachiaria dyctioneura, Centrosema macrocarpum, and natural savanna exposed vegetation to four fertilization levels: i) phosphoric rock (RF), high dose of phosphorus (100% of P2O5 as phosphoric rock), ii) diammonium phosphate (IR), high dose of P (50% of P2O5 as RF and 50% as FDA), iii) biological fertilization (FB), low dose of P (25% of P2O5 as RF and inoculation with biofertilizer based on native arbuscular mycorrhizal fungi, such as Gigaspora, Scutellospora, Acaulospora, and Glomus), and finally, iv) the unfertilized treatment (Io) and the effects of grazing

The linear statistical model was applied as follows:

Where:

µ= population mean

Yijkl= response of the variable in the i-th treatment and the l-th repetition.

Cijkl= effect of cover crops in the i-th treatment and the l-th repetition

Fijkl= effect of fertilization treatments (IR, Io, FB, RF) in the i-th treatment and the l-th repetition. l-th replicate

Gijkl= effect of livestock on the j-th treatment and the l-th repetition

Eijkl= epoch (sampling times during maize growth) at the i-th treatment and the l-th repetition

ɛijkl= experimental error in the i-th treatment and the l-th repetition.

The ANOVA and comparison of means among cover crops were carried out, times, and types of fertilization with Duncan's test (Duncan, 1974) at a level of significance of P<0.05. The statistical program InfoStat was used for the analyses (Di Rienzo et al., 2020).

RESULTS AND DISCUSSION

Effects of phosphorus fertilization on the dynamics of biomass fractions of cover crops during the grazing cycle

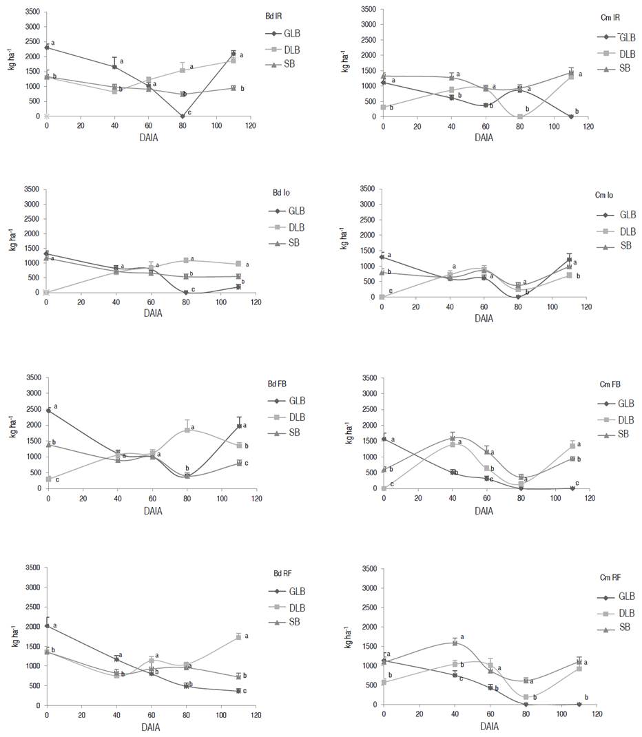
The results obtained in the research, refer to the effects of the type of phosphoric fertilization on the production of the green leaf biomass (GLB), dry leaf biomass (DLB), and stem biomass (SB) fractions in corn-livestock agroecosystems, which are shown in Figure 1.

Dynamics of the effect of phosphorus fertilization on the total aerial biomass fractions of Brachiaria dyctioneura (Bd) and Centrosema macrocarpum (Cm) during grazing. IR: high dose of P (50% of P2O5 as RF and 50% as FDA); Io: control without fertilization (0 N - 0 P2O5 - 0 K2O); FB: low dose of P (25% of P2O5 as RF and inoculation with biofertilizer based on native arbuscular mycorrhizal fungi; RF: high dose of phosphorus (100% of P2O5 as phosphate rock). GLB: green leaf biomass; DLB: dry leaf biomass; SB: stem biomass. DAIA: days after the introduction of the animals (different letters indicate statistically significant differences in each moment of sampling, bars indicate standard deviation. Duncan P<0.05, n=24).

Figure 1: Dynamics of the effect of phosphorus fertilization on the total aerial biomass fractions of Brachiaria dyctioneura (Bd) and Centrosema macrocarpum (Cm) during grazing. IR: high dose of P (50% of P2O5 as RF and 50% as FDA); Io: control without fertilization (0 N - 0 P2O5 - 0 K2O); FB: low dose of P (25% of P2O5 as RF and inoculation with biofertilizer based on native arbuscular mycorrhizal fungi; RF: high dose of phosphorus (100% of P2O5 as phosphate rock). GLB: green leaf biomass; DLB: dry leaf biomass; SB: stem biomass. DAIA: days after the introduction of the animals (different letters indicate statistically significant differences in each moment of sampling, bars indicate standard deviation. Duncan P<0.05, n=24).

On average, Bd in GLB was significantly higher (P<0.05) when IR fertilization was used (1416 kg ha-1), followed by FB (1378 kg ha-1), RF (966 kg ha-1), and finally without Io fertilization (621 kg ha-1). In this same species, significant changes were also observed when evaluating the fractions of dry leaf biomass and stem biomass, due to the effect of fertilization, appearing in the following descending order FB>RF≥IR>Io.

It can be observed that the GLB of the grass decreased in the first 80 days of grazing in all fertilizations, exhausting this fraction in both IR and Io. Except for RF, all fertilization operations resulted in a recovery of GLB production at the end of the grazing cycle.

This trend is possibly related to better soil moisture preservation under this type of fertilization, which is possibly associated with nutrient availability and leaf regeneration in the short term. In this regard, Niswati et al. (2021) mentioned that the use of rock in acidic soils improves the yield of plant biomass, as well as the availability of phosphorus such as phosphates and orthophosphates since it promotes the creation of a microclimate in the soil that favors processes of chemical transfer from the soil to the plant and foliar development.

It is important to highlight that the fractions of the grass plants under the three types of phosphorus fertilization plus the control treatment, showed a higher GLB, especially in the treatment where an association with mycorrhizal fungi was established. These findings support the thesis that the FB treatment provided cattle with a greater amount of green leaves during grazing time.

Regarding the DLB, both in IR and RF, this fraction decreased until 40 days, and then there was an increase, which in the case of IR showed to be sustained until the end of the cycle, while in RF just decreased to 80 days and then increased. The DLB of the grass in the FB treatment had similar behavior to the Io treatment, that is when the corn and the grass are not fertilized.

When comparing the dynamics of GLB and grass DLB (Bd), it was observed that as the drought progressed in the grazing cycle, part of the GLB fraction was transformed into DLB. This experiment was carried out during the dry season when the cattle feeding resource is scarcer.

At that stage, the process of photosynthesis and respiration can be affected, and, therefore, the production of green leaves was limited. Analyses conducted on similar crops (Bondaruk et al., 2020; Ojo et al., 2020) indicated that the leaf and its characteristic features are important in carbon assimilation, water relations, and the energy balance of the plant.

Concerning the SB, the dynamics presented few variations in time, especially in IR and Io, probably because that fraction of the plant is less palatable and less digestible (Francisquini et al., 2020; Ramírez-Iglesias et al., 2020).

In the case of legumes, the biomass production of the fractions was lower, especially in GLB. A decrease was experimented until disappearance after 80 days, except for the treatment that used high soluble P sources (IR), where GLB remained longer until completely disappearing 110 days later. The green leaf fraction recovered at the end of the cycle, only under the control treatment (Io). Studies in this type of agroecosystem (Chippano et al., 2020) indicate that the contents of neutral detergent fiber (NDF) may relate to the stem disappearance of the green fraction since these contents tend to be lower in the green leaves, as it was reported in other studies (Mora et al., 2019).

In relation to SB, it can be said that its contribution was significant, increasing throughout the grazing cycle because the cattle did not consume the stems due to their low palatability and lower digestibility (Mora et al., 2019; Ramírez-Iglesias et al., 2020), so its behavior over time was similar to that presented by the dry leaf biomass. As previously mentioned, this behavior is in accordance with Cm, since despite being an herbaceous legume, its stem has woody characteristics (Bondaruk et al., 2020; Campos et al., 2021; Hernández et al., 2020). In Cm, GLB was lower compared to DLB and SB, causing higher consumption by cattle, since this indicator is a measure of hemicellulose, cellulose, and lignin, which represents the entire fibrous component of the forage.

The production of both grass and legume fractions is influenced by the type of phosphorus fertilization, which favors the production of GLB in the case of grass by the FB, while Cm tends to be more persistent over time in the case of IR. Under these types of cover-fertilization, the plant/animal relationship during grazing is likely improved, making it more persistent and sustainable in the long term.

In intensive grazing, the resprouts emerge depending on the severity of the grazing (Bondaruk et al. 2020). The proportion of young leaves left in the remnants of recently grazed plants is what makes the photosynthetic potential of the pasture possible (Chippano et al., 2021; Nascimento et al., 2021), which in turn is related to the speed of recovery of reserve carbohydrates (de Melo Lisboa et al., 2021).

Research in production systems with corn (Mora et al., 2019; Lozano et al., 2004) indicate that when using different organo-mineral mixtures for crop fertilization green biomass can be obtained. Consequently, it can be a congruent alternative with the sustainable management of the soil in similar edaphoclimatic conditions.

Dynamics of the leaf/stem ratio (L/S) of the covers under different types of phosphorus fertilization

Figure 2 shows the variations in L/S ratios overtime during grazing, according to the types of cover and fertilization applied.

Dynamics of the leaf/stem ratio during grazing in A) the Brachiaria dictyoneura grass and B) the Centrosema macrocarpum legume under different sources of fertilization during cover growth. IR: high dose of P (50% of P2O5 as RF and 50% as FDA); Io: control without fertilization (0 N - 0 P2O5 - 0 K2O); FB: low dose of P (25% of P2O5 as RF and inoculation with biofertilizer based on native arbuscular mycorrhizal fungi); RF: high dose of phosphorus (100% of P2O5 as RF); DAIA: days after animals are introduced. Bars indicate standard deviation (different letters show statistically significant differences between fertilization treatments for each moment of sampling, Duncan P<0.05, n=24).

Figure 2: Dynamics of the leaf/stem ratio during grazing in A) the Brachiaria dictyoneura grass and B) the Centrosema macrocarpum legume under different sources of fertilization during cover growth. IR: high dose of P (50% of P2O5 as RF and 50% as FDA); Io: control without fertilization (0 N - 0 P2O5 - 0 K2O); FB: low dose of P (25% of P2O5 as RF and inoculation with biofertilizer based on native arbuscular mycorrhizal fungi); RF: high dose of phosphorus (100% of P2O5 as RF); DAIA: days after animals are introduced. Bars indicate standard deviation (different letters show statistically significant differences between fertilization treatments for each moment of sampling, Duncan P<0.05, n=24).

At the end of the grazing stage, the order of the L/S ratio in the treatments was in the case of the grass: FB>IR>RF>Io, indicating the important recovery of leaf biomass over the stem biomass of the grass when biofertilizers or FDA mixed with RF were used (Figure 2A). Subsequently, the dynamics passed without significant differences between treatments. However, after 80 days, there was a significant increase in the proportion of L/S, in the use of biofertilizers mixed with 25% of P as phosphate rock FB, which was maintained until the end of grazing.

The tendency to maintain the L/S dynamics in the long term under FB could be associated as it is mentioned by Moura et al. (2020) with the presence of some bacterial genera such as Stenotrophomonas sp, Burkholderia sp, Pseudomonas sp, Rhizobium sp, among others, that participate in the solubilization of phosphates since they tend to increase the presence of phosphorus ions when being hydrolyzed with enzymes as the phytases, facilitating the mobility of this element in the soil and transform it into a compound available immediately for the plant (Chippano et al., 2020; Hernández et al., 2020). This management strategy is to be considered, especially in systems where there are important limitations of P in the soil.

For the legume Cm, no significant differences in L/S dynamics were observed in the different fertilization treatments during grazing, although the trend was to slowly decrease until 80 days, with a slight increase at the end of that stage (Figure 2B). This behavior may be because animals tend to select more leaves for consumption, leaving aside the thicker and more lignified stem, since cattle move in a horizontal plane, but select their diet in a vertical plane (Lebbink et al., 2018).

The L/S ratio was lower for Cm compared with Bd because of the high proportion of stems in Cm.

Tapia et al. (2019) regarding productivity and quality of forage, indicate that the L/S ratio is an index that allows expressing the quality of forage. In general, ratios>1, indicate that there were a greater proportion of leaves than stems, which could indicate that the plants are young or are sprouting from a cut, and therefore, there is greater availability of higher quality food for the animal.

Related studies in this type of agroecosystems (Morantes et al., 2010; Morantes et al., 2018) where grasses such as Brachiarias, Andropogon, and Panicum were used, report lower L/S values (between 0.8 and 0.6) for dry and rainy seasons in savanna ecosystems compared to those found in the present study, indicating the low quality of native savanna pastures.

Research on similar agroecosystems for milk production (Ramírez-Iglesias et al., 2017), showed a decrease in L/S in cattle production systems, reporting values between 1.7 and 2 in pastures with better forage quality, where it is indicated that L/S dynamics are related to management, type of grazing, and a lesser extent, to the activation of growth or regrowth of the pasture as a result of rainfall, therefore, an adequate combination of management (cover-fertilization and grazing) in the evaluated agroecosystem will allow improving the relationships between soil-plant and animal components in the long term in a critical time for livestock such as the dry season.

Effects of different sources of phosphorus fertilization on the dynamics of the crude protein in the biomass fractions of the covers

The CP content in the GLB fraction in Bd, presented significant statistical differences (P<0.05) when the animals were introduced to grazing (Figure 3), showing the following trend: IR>FB>RF>Io, and then decrease their levels at the end of the cycle, except for the treatment where only RF was used, which maintained more stable percentages over time, presenting the highest values at 60 and 80 days. At the end of the cycle, the effect of the type of fertilization was lost, therefore, no significant differences were observed between treatments.

Dynamics of raw protein concentration, in the fractions of green leaf biomass (GLB), dry leaf biomass (DLB), and stem biomass (SB) in Brachiaria dictyoneura and Centrosema macrocarpum during grazing and under different fertilization sources. IR: high dose of P (50% of P2O5 as RF and 50% as FDA); Io: control without fertilization (0 N - 0 P2O5 - 0 K2O); FB: low dose of P (25% of P2O5 as RF and inoculation with biofertilizer based on native arbuscular mycorrhizal fungi); RF: high dose of phosphorus (100% of P2O5 as phosphate rock) DAIA: days after the animals are introduced. Bars indicate standard deviation. The dotted line indicates the critical value of CP 7% for cattle feeding (Herrera et al., 2008). (Different letters show statistically significant differences between fertilization treatments for each moment of sampling, Duncan P<0.05, n=24).

Figure 3: Dynamics of raw protein concentration, in the fractions of green leaf biomass (GLB), dry leaf biomass (DLB), and stem biomass (SB) in Brachiaria dictyoneura and Centrosema macrocarpum during grazing and under different fertilization sources. IR: high dose of P (50% of P2O5 as RF and 50% as FDA); Io: control without fertilization (0 N - 0 P2O5 - 0 K2O); FB: low dose of P (25% of P2O5 as RF and inoculation with biofertilizer based on native arbuscular mycorrhizal fungi); RF: high dose of phosphorus (100% of P2O5 as phosphate rock) DAIA: days after the animals are introduced. Bars indicate standard deviation. The dotted line indicates the critical value of CP 7% for cattle feeding (Herrera et al., 2008). (Different letters show statistically significant differences between fertilization treatments for each moment of sampling, Duncan P<0.05, n=24).

CP contents in the BD at the beginning of the cycle were higher and decreased as grazing progressed in Bd, reaching the lowest values at 60 and 80 days, except in the treatment in which only phosphate rock was used, where even levels of 12% CP were reached at the end of grazing (110 days). The dynamics suggest that under this type of slow-release P fertilization, the senescent material will provide more N in less time, compared to the dry leaf biomass under another type of fertilization. This considered, and depending on the C content, the C/N ratios favor a greater and faster decomposition in RF (100% phosphate rock), which will influence the cycling of nutrients within the agroecosystem.

The CP percentages obtained for DLB fractions for Bd were similar to those reported in conservationist systems, where dry leaves of grasses were evaluated, finding contents of up to 9.7% CP (Lebbink et al., 2018; R. Vera-Infanzón and Ramírez-Restrepo, 2020). Concerning other works carried out in Venezuela, specifically in the studied zone, values of 10.5% of CP, in foliar weave have been indicated, not specifying if it was in green or dry biomass (Berroterán, 2000).

Bd in SB, CP percentages showed fluctuations in the cycle, starting with lower values in RF, but increasing rapidly after 40 days. While IR, in the treatment where the mixture of FDA and RF was used, this fraction had higher CP contents at the beginning of the studies, but decreased in the same period, exhibiting the lowest levels among all the treatments. In the treatment with the use of biofertilizers, the % CP was presented above the critical values during the first 40 days.

It is important to mention that in this fraction the highest CP contents were reached in comparison with GLB and DLB. It is possible that the high N contents in the SB could be due to the continuous defoliation during the process, which could have promoted the translocation of N to that area, to guarantee the necessary reserves for the next regrowth (Chippano et al., 2020; Depablos and Ordóñez, 2009).

In similar works, under conservationist systems and the use of cover crops, Akdeniz et al. (2019); Morantes et al. (2010), and Ramírez-Iglesias et al. (2020) reported similar values to those obtained in this research on stems for agricultural systems.

In the case of Cm, the averages of %CP in the GLB during grazing showed the following pattern: RF>IR>FB>Io. At the time the animals entered grazing, no significant differences were observed between fertilization treatments. However, at 40 days, the use of FB and RF produced the highest values of crude protein in the GLB.

In Cm, the CP content in the DLB did not present differences between IR and RF treatments at the beginning of grazing. Later, and as the cycle advanced in the middle of the dry season, the CP decreased below the critical levels for grazing, except for the DLB of the treatment with BS. The positive effect of the use of biofertilizers with RF was also observed in the stem biomass.

In the legume, the CP content was low in Io, while in the other treatments it showed a tendency to increase, especially at the end of the grazing cycle, observing a greater increase in the GLB, which could be associated with the fact that there was greater availability of N in the soil, improving the quality of the covers under the indicated fertilizations, as reported by Mora et al. (2019). High crude protein values obtained even without fertilization may be related to the N-fixing condition of Cm.

Investigations related to leguminous grazing (Akdeniz et al., 2019; de Melo Lisboa et al., 2021; Mora et al., 2019), point out that CP contents in C3 plants vary between 15 and 25% of dry matter, with the advantage of having a lower rate of decrease in CP content while plant age increases.

Figure 3 depicts different crude protein dynamic patterns in the studied cover crops, Bd and Cm, according to the plant fraction analyzed and the type of fertilizer used. The dotted line indicates the critical value of CP for cattle feeding, which is located at 7% (Berroterán, 2000; Morantes et al., 2010).

In the agroecosystem for both grass and legumes, there were treatments in which the type of fertilization possibly contributed to achieving CP percentages above critical levels (7%) in a more sustained way during the cycle (Depablos and Ordóñez, 2009).

In the case of legumes, the capacity to conserve their protein level in the forage despite their senescence, consequently helps to greater use of the dry matter, especially when associations with grasses are established, as the evaluated agroecosystem.

Bd, under a fertilization source of slow solubilization and use of mycorrhizae, achieved a higher production of green leaf biomass, unlike what was observed in Cm, which although showed better nutritional contents, because it presented a lower production of green leaf biomass, this positive effect was possibly masked in the agroecosystem (Mora et al., 2019; Morantes et al., 2010).

The review and analysis of the trials show that in the context of agriculture with a sustainability approach, agroecological practices have evolved as a result of traditional experiences accumulated by individual producers, associations, and territorial development projects, assuming different scales of application and mechanisms (Campos et al., 2021; Francisquini et al., 2020; Watters, 2021), where the combination of cover-fertilization as part of agroecosystem management can improve soil-plant-animal relationships in terms of long-term biomass and nutrient availability.

CONCLUSIONS

Using low solubility fertilizers (phosphoric rock) aids in reaching crude protein contents at similar and higher levels than when using soluble fertilizers (diammonium phosphate), which induces greater sustainability of the cover biomass over time.

Similarly, the application of mycorrhiza in association with Leguminosae improves the absorption of ammonium and nitrate and the transformation to organic N. This process possibly augmented the presence of P solubilizing microorganisms and better absorption of inorganic P by the cover vegetation of pastures and represents an alternative in agroecosystems limited in N and P.

The use of agroecological strategies facilitates food security with an alternative approach, directed to the recovery and conservation of natural resources and proposals for sustainable development.

Acknowledgements

ACKNOWLEDGMENTS

The authors express gratitude to the National Fund for Science and Technology (FONACIT), Project G-2002000368, and to the World Bank for the IBRD Project 4572-VE-2002. Likewise, to the Iguana Experimental Station, belonging to the Universidad Nacional Experimental Simón Rodríguez Caracas-Venezuela.

REFERENCES

  1. Akdeniz H, Hosaflioglu I, Koç A, Hossain A, Islam S, Iqbal M, Imtiaz H, Gharib H and El Sabagh A. 2019. Evaluation of herbage yield and nutritive value of eight forage crop species. Applied Ecology and Environmental Research, 17(3): 5571-5581. https://doi.org/10.15666/aeer/1703_55715581 [URL] 🠔
  2. Albarracín-Zaidiza A, Fonseca-Carreño E and López-Vargas L. 2019. Agroecological Practices as Contribution to the Sustainability of Agroecosystems. Case Study of Sumapaz Province. Ciencia y Agricultura 16(2): 39-55. https://doi.org/10.19053/01228420.v16.n2.2019.9139 [URL] 🠔
  3. Alewell C, Ringeval B, Ballabio C, Robinson D, Panagos P and Borrelli P. 2020. Global phosphorus shortage will be aggravated by soil erosion. Nature Communications 11(1): 1-12. https://doi.org/10.1038/s41467-020-18326-7 [URL] 🠔
  4. Berroterán L. 2000. Modelo de utilización cereal-pasto en sistemas de producción de sabanas bien drenadas con suelos ácidos en Venezuela. Interciencia 25 (4): 203-209 🠔
  5. Beura S, Ghosh K, Pradhan K, Kohli A, Singh M, Shambhavi S and Kumar S. 2021. Fractional release kinetics of phosphorus from compost amended with phosphate rock. Communications in Soil Science and Plant Analysis. 52(10): 1115-1120. https://doi.org/10.1080/00103624.2021.1872606 [URL] 🠔
  6. Bondaruk V, Lezama F, del Pino A and Piñeiro G. 2020. Overseeding legumes in natural grasslands: Impacts on root biomass and soil organic matter of commercial farms. Science of the Total Environment 743: 140771. https://doi.org/10.1016/j.scitotenv.2020.140771 [URL] 🠔
  7. Bravo C, Lozano Z, Hernández RM, Piñango L and Moreno B. 2004. Efecto de diferentes especies de coberturas sobre las propiedades físicas de un suelo de sabana con siembra directa de maíz. Bioagro, 16(3): 163-172. 🠔
  8. Bremmer M. 1982. Total nitrogen. Methods of soil analysis. American Society Agronomy 10 (2): 594-624. https://ci.nii.ac.jp/naid/10008236329 [URL] 🠔
  9. Campos V, Sanchis R and Talavera C. 2021. The importance of social value in agroecological farms: Adjusting the common good balance sheet to improve their sustainable management. Sustainability 13(3): 1184. https://doi.org/10.3390/su13031184 [URL] 🠔
  10. Chippano T, García I, Cofré N and Mendoza R. 2020. Forage biomass yield and arbuscular mycorrhizal symbiosis in a legume and C3 and C4 grasses under increasing soil phosphorus availability. Crop and Pasture Science 71(10): 907. https://doi.org/10.1071/CP20030 [URL] 🠔
  11. Chippano T, Mendoza R, Cofré N and García I. 2021. Divergent root P uptake strategies of three temperate grassland forage species: P uptake strategies of forage species. Rhizosphere 17: 100312. https://doi.org/10.1016/j.rhisph.2021.100312 [URL] 🠔
  12. Ciavatta C, Antisari V and Sequi P. 1989. Determination of organic carbon in soils and fertilizers. Communications in Soil Science and Plant Analysis 20(7-8): 759-773. https://doi.org/10.1080/00103628909368115 [URL] 🠔
  13. Correa A, Peres D and Holdbrook R. 2020. Patterns of alimentary resource use by dung beetles in introduced Brazilian pastures: Cattle versus sheep dung. Entomological Science 23(3): 271-279. https://doi.org/10.1111/ens.12425 [URL] 🠔
  14. de Melo Lisboa M, Silva R, da Silva F, de Carvalho P, da Silva D, Paixão T and de Lima M. 2021. Replacing sorghum with palm kernel cake in the diet decreased intake without altering crossbred cattle performance. Tropical Animal Health and Production 53(1): 1-6. https://doi.org/10.1007/s11250-020-02460-x [URL] 🠔
  15. Depablos L and Ordóñez J. 2009. Suplementación mineral proteica de novillas a pastoreo en los Llanos Centrales de Venezuela. Zootecnia Tropical. 27(3): 249-262. 🠔
  16. Di Rienzo A, Casanoves F, Balzarini G, Gonzalez L and Tablada C. 2020. InfoStat versión 2020. Centro de Transferencia InfoStat, FCA, Universidad Nacional de Córdoba. Argentina. 🠔
  17. Duncan A. 1974. Quality control and industrial statistics 4th Edition. R. D. Irwin, 1974, la Universidad de Michigan. 🠔
  18. Francisquini A, Calonego C, Rosolem A, dos Santos H and Tiritan S. 2020. Increase of nitrogen-use efficiency by phosphorus fertilization in grass-legume pastures. Nutrient Cycling in Agroecosystems 118(2): 165-175. https://doi.org/10.1007/s10705-020-10091-9 [URL] 🠔
  19. Gwenzi W. 2021. Rethinking restoration indicators and end-points for post-mining landscapes in light of novel ecosystems. Geoderma, 387: 114944. https://doi.org/10.1016/j.geoderma.2021.114944 [URL] 🠔
  20. Hernández I, Estévez L, Peña M and Nápoles M. 2020. Selection of promising rhizobia to inoculate herbaceous legumes in saline soils. Cuban Journal of Agricultural Science 54(3):435-449 http://cjascience.com/index.php/CJAS/article/view/971 [URL] 🠔
  21. Herrera P, Birbe B, Colmenares O, Hernández RM, Bravo C and Hernández D. 2008. Sistemas de producción con ganadería de doble propósito en condiciones de sabanas bien drenadas. Acta biológica venezuelica 28(1): 29-38. 🠔
  22. Lebbink G, Fensham R and Cowley R. 2018. Vegetation responses to fire history and soil properties in grazed semi-arid tropical savanna. The Rangeland Journal 40(3): 271-285. https://doi.org/10.1071/RJ17075 [URL] 🠔
  23. Lozano Z, Bravo C, Ovalles F and Hernández-Hernández RM. 2004. Selección de un diseño de muestreo en parcelas experimentales a partir del estudio de la variabilidad espacial de los suelos. BIOAGRO. 16(1): 61-72 🠔
  24. Maiquetía M, Vargas T, Toro M and García C. 2020. Estudios en la germinación y propagación in vitro de tres especies de Leguminosae: Calopogonium sp.,Stylosantes capitata y Cassia moschata. Revista Científica Ecosiencia 7(6): 1-25. https://doi.org/10.21855/ecociencia.76.393 [URL] 🠔
  25. Mora E, Lopez-Hernández D and Toro M. 2019. Arbuscular Mycorrhizae and PGPR Applications in Tropical Savannas. In: Zúñiga-Dávila D., González-Andrés F., Ormeño-Orrillo E. (eds) Microbial Probiotics for Agricultural Systems. Sustainability in Plant and Crop Protection. Springer, Cham. https://doi.org/10.1007/978-3-030-17597-9_11 [URL] 🠔
  26. Morantes M, Herrera P, Colmenares O, Romero E, Jáuregui D, Hernández-Chong L., ... and Rivas J. 2018. Effect of mixed grazing by ovine and cattle in the selection of herbaceous in Venezuela's well drained savannas. Revista Cientifica, Facultad de Ciencias Veterinarias, Universidad Del Zulia 28(6): 437-444. 🠔
  27. Morantes M, Ojeda Á, Hernández-Chong L, Baldizán A, Rivas J. and Vargas D. 2010. Selection in the herbaceous stratum by cattle grazing in Venezuela's well drained savannas during the transitional rainy-dry period. Revista de La Facultad de Agronomía. Universidad Central de Venezuela 36(1): 28-33. 🠔
  28. Moura G, Carvalho S, Bucher C, Souza B, Aguiar F, Ferraz J, Bucher C. and Coelho P. 2020. Diversity of Rhizobia and importance of their interactions with legume trees for feasibility and sustainability of the tropical agrosystems. Diversity 12(5): 206-216. https://doi.org/10.3390/d12050206 [URL] 🠔
  29. Nascimento B, Pedreira C, Sollenberger E, Pereira D, Magalhães S and Chizzotti M. 2021. Herbage accumulation, canopy structure and tiller morphology of marandu palisadegrass growing in open pasture and in silvopasture. Agroforestry Systems 95(2): 339-352. https://doi.org/10.1007/s10457-020-00590-7 [URL] 🠔
  30. Niswati A, Fajrianto D, Hidayat F, Yusnaini S and Rivaie A. 2021. Changes in soil phosphorus availability and nutrient uptake by maize following the application of wastewater-acidulated phosphate rock. IOP Conference Series: Earth and Environmental Science 724(1): 012016. https://doi.org/10.1088/1755-1315/724/1/012016 [URL] 🠔
  31. Ojo A, Olufemi J, Adetokunbo A, Odunaye T, Bakare A and Adeyemi A. 2020. Growth components and chemical composition of some improved dual-purpose cowpea (Vigna unguiculata L. Walp) varieties as influenced by manure application. Nigerian Journal of Animal Production 44(2): 299-310. https://doi.org/10.51791/njap.v44i2.1122 [URL] 🠔
  32. Ramírez-Iglesias E, Hernández-Hernández RM and Herrera P. 2017. Dinámica del fósforo en un agroecosistema conservacionista maíz-ganado de sabanas neotropicales. Revista Colombiana de Ciencia Animal - RECIA 9(2): 147. https://doi.org/10.24188/recia.v9.n2.2017.552 [URL] 🠔
  33. Ramírez-Iglesias E, Hernández-Hernández RM, Bravo C, Ramírez-Iglesias JR and Herrera P. 2020. Consumption, digestibility and cattle condition according to forage composition and quality in maize-cattle from conservation-based agroecosystems. AIMS Agriculture and Food 5(3): 480-499. https://doi.org/10.3934/agrfood.2020.3.480 [URL] 🠔
  34. Ramírez-Iglesias E, Hernández-Hernandez RM and Iglesias JR. 2021. Nutrient dynamics of corn fed to livestock in conservation-based agroecosystems in neotropical savannas. Revista de Ciências Agroveterinárias 20(1): 086-092. https://doi.org/10.5965/223811712012021086 [URL] 🠔
  35. Tapia J, Atencio M, Mejía L, Paternina Paternina Y and Cadena J. 2019. Evaluación del potencial productivo de nuevas gramíneas forrajeras para las sabanas secas del Caribe en Colombia. Agronomía Costarricense 43(2): 45-60. https://doi.org/10.15517/rac.v43i2.37943 [URL] 🠔
  36. Turner G and Carpenter R. 1999. Tips and Traps in Interdisciplinary Research. Ecosystems 2(4): 275-276. www.jstor.org/stable/3659016 [URL] 🠔
  37. Vera-Infanzón R and Ramírez-Restrepo A. 2020. Long term beef production in extensive cow-calf systems in the tropical savannas of eastern Colombia. https://doi.org/10.15446/rfmvz.v67n1.87678 [URL] 🠔
  38. Watters, R. 2021. The Agroecological Revolution. In: Rural Latin America in Transition. Governance, Development, and Social Inclusion in Latin America. Palgrave Macmillan, Cham. https://doi.org/10.1007/978-3-030-65033-9_3 [URL] 🠔