Revista de la Facultad de Medicina Veterinaria y de Zootecnia
0120-2952
Facultad de Medicina Veterinaria y de Zootecnia Universidad Nacional de Colombia
https://doi.org/10.15446/rfmvz.v70n1.100631

Recibido: 23 de marzo de 2022; Aceptado: 6 de junio de 2022

Impacto ecológico del insecticida fipronil: valoración de riesgos en humanos

Ecological impact of fipronil insecticide: risk assessment in humans

D. Gómez-Beltrán, 1 J. Montes, 2 D. Villarl, 1*

Grupo CIBAV, Escuela de Medicina Veterinaria, Facultad de Ciencias Agrarias, Universidad de Antioquia, Medellín, Colombia. Universidad de Antioquia Facultad de Ciencias Agrarias Universidad de Antioquia Medellín Colombia
Facultad de Ciencias Agrarias, carrera 75 n.° 65-87, Ciudadela Robledo, Universidad de Antioquia, Medellín, Colombia. Universidad de Antioquia Facultad de Ciencias Agrarias Universidad de Antioquia Medellín Colombia

Autor de correspondencia. Correo electrónico: david.villar@udea.edu.co
Los autores manifiestan no tener conflicto de intereses en relación con el manejo de este documento.

RESUMEN

El fipronil es uno de los pesticidas más importantes usados en agricultura y animales domésticos. A concentraciones muy bajas para el control de especies destino, también es tóxico para especies no destino, incluyendo a las abejas y numerosos macroinvertebrados acuáticos y terrestres. Estudios de laboratorio y campo han demostrado que tanto el fipronil, como sus productos de degradación, a concentraciones medioambientales observadas son suficientes para poner en peligro numerosos taxones de la comunidad acuática, incluidos los peces. En esta revisión se describen estudios de ecotoxicología cuyo impacto en especies no destino ha sido clave para que la Unión Europea prohibiese el fipronil para uso agrícola en 2013 y Estados Unidos lo haya restringido en muchos cultivos y actualmente lo esté revisando para renovar los distintos registros. En Colombia se siguen registrando al menos 60 productos a base de fipronil y desde agosto de 2021 se prohíbe su uso en plantaciones de aguacate, café, cítricos y pasifloras. En 2017, a raíz de la contaminación de huevos con fipronil en Europa, la Agencia Europea para la Seguridad de Alimentos publicó varios estudios sobre el riesgo para la salud humana que podía tener el consumo de huevos y carne de pollos con residuos de fipronil. La conclusión fue que la ingesta de fipronil a las concentraciones detectadas en huevos y carne no superaba niveles esperados que produjesen efectos adversos para la salud.

Palabras clave:

aves, Colombia, fipronil, invertebrados terrestres, mamíferos, pesticida.

ABSTRACT

Fipronil is one of the most important pesticides used in agriculture and domestic animals. At very low concentrations used for controlling target species, it is also toxic to nontarget species including bees and numerous aquatic and terrestrial macroinvertebrates. Laboratory and field studies have shown that both fipronil, and its degradation products, at relevant environmental concentrations are sufficient to endanger numerous taxa in the aquatic community, including fish. In this review, ecotoxicology studies are described that show significant impact on non-target species that have been instrumental to ban fipronil for agriculture in the European Union since 2013 and restricting many uses in the United States. In Colombia, at least 60 fipronil-based products continue to be registered and since August 2021 its use has been prohibited in avocado, coffee, citrus and ornamental flower plantations. In 2017, following the widespread contamination of eggs with fipronil across Europe, the European Food Safety Authority (EFSA) conducted several risk assessments for the consumption of eggs and chicken meat contaminated with fipronil residues. The conclusion was that the consumption of fipronil at the concentrations detected in eggs and meat did not exceed levels expected to pose health hazard for humans.

Keywords:

fipronil, Colombia, pesticide, terrestrial invertebrates, mammals and birds.

INTRODUCCIÓN

El fipronil se ha venido usando como componente en una amplia gama de productos pesticidas para la agricultura y animales domésticos. Si bien se sintetizó por primera vez en 1987 por la compañía Bayer, no fue registrado para uso en Estados Unidos hasta 1996. Para finales de 1997, el fipronil estaba registrado para usos no agrícolas en 63 países, y para usos agrícolas, en 52 países (Tingle et al. 2003). Tiene un amplio espectro de acción que incluye especies como: hormigas, escarabajos, cucarachas, pulgas, garrapatas, moscas y otros insectos. En general, el fipronil es extremadamente tóxico para las larvas de la mayoría de mosquitos con CL50s de menos de 1 ppb y que incluye a los principales vectores de enfermedades en humanos de los géneros Aedes, Anopheles y Culex (Ali et al. 1998; Gunasekara et al. 2007). De igual manera, los metabolitos del fipronil también son extremadamente tóxicos. El problema es que, a concentraciones muy bajas usadas para el control de especies destino, también es tóxico para especies no destino, que incluyen a las abejas e insectos de los órdenes Coleoptera, Hymenoptera y Diptera. En el mundo están disminuyendo de forma dramática las poblaciones de abejas y se ha demostrado que exposiciones al fipronil, a tan solo concentraciones residuales que quedan en el polen y néctar de plantas tratadas, resultan ser letales para las abejas (Holder et al. 2018). A diferencia de otros pesticidas, el fipronil en las abejas se bioacumula con exposiciones repetidas hasta llegar a alcanzar dosis letales en cuestión de días. Esto hizo que en 2013 la Unión Europea restringiera su uso agrícola (solo para invernaderos), debido al riesgo que representaba para las abejas, y aparte prohibió su uso en animales de producción (Commission Implementing Regulation of the EU 2013). Aunque es ligeramente tóxico para mamíferos y aves acuáticas, es altamente tóxico para aves de caza (perdiz, codorniz y faisán), peces y macroinvertebrados. Si bien la mayoría de los estudios se han concentrado en el impacto del fipronil en el filo Artrópodos (insectos, arácnidos y crustáceos), también es tóxico para otros taxones en los filos Moluscos y Cnidaria (figura 1).

Los taxones en negrita tienen numerosas especies que son sensibles al fipronil.

FIGURA 1: Los taxones en negrita tienen numerosas especies que son sensibles al fipronil.

Fuente: elaboración propia.

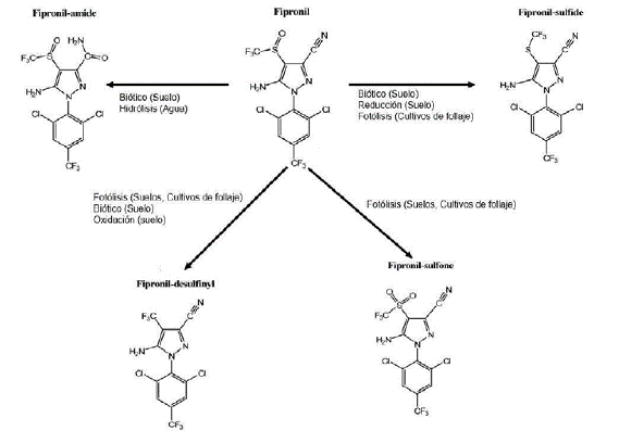
En el medio ambiente, el fipronil se degrada por reacciones de oxidación, reducción, hidrólisis y fotólisis, dando lugar a 4 metabolitos principales: fipronil- sulfona, fipronil-sulfuro, fipronil-amida, y fipronil desulfinilo (figura 2). La fotó-lisis (reacción con la luz UV) da lugar al fipronil-desulfinilo, la degradación a amida ocurre por hidrólisis, la oxidación a fipronil-sulfona ocurre en ambientes aerobios y la reducción a fipronil-sulfuro se da en sedimentos o suelos anaerobios.

Degradación del fipronil a fipronil-sulfuro, fipronil-desulfinilo y fipronil-sulfona por reacciones de oxidación, reducción, fotolisis, hidrólisis. Entre paréntesis se muestra el medio en que se espera que la reacción ocurra.

FIGURA 2: Degradación del fipronil a fipronil-sulfuro, fipronil-desulfinilo y fipronil-sulfona por reacciones de oxidación, reducción, fotolisis, hidrólisis. Entre paréntesis se muestra el medio en que se espera que la reacción ocurra.

En suelos, el principal metabolito es el fipronil-sulfuro (reducción), mientras que en agua es el fipronil-desulfinilo (fotólisis). La toxicidad de los productos de degradación para muchos macroinvertebrados es mayor que la del propio fipronil. Por ejemplo, el fipronil-sulfona es 3,3 veces más tóxico para el pez de agallas azules y 6,6 veces más tóxico para invertebrados acuáticos (US EPA 1996). Además, dichos subproductos tienen un coeficiente de adsorción al carbono orgánico (Koc) mayor que la del propio fipronil, por lo que se tienden a acumular en el sedimento a concentraciones superiores que el propio fipronilo, e incluso cuando el fipronil ya es indetectable (USGS, 2003).

En general, la persistencia del fipronil en el medio ambiente es baja (<16 días) a moderada (16 a 59 días) y depende mucho de qué procesos degradativos predominen. En suelos persiste más que en agua, si bien eso depende de las condiciones físico-químicas de ambos. Por ejemplo, en agua expuesta a radiación solar se degrada en cuestión de horas, mientras que en ausencia de luz puede persistir varios meses (Tingle et al. 2003). En sedimentos acuáticos y condiciones anaerobias, la vida media es de 116 días (US EPA 1999). La clasificación con base en su persistencia en suelo es alta de acuerdo con el Soil Survey and Land Research Centre (SSLRC) del Reino Unido y oscila entre 18 y 117 días a 10° C y entre 61 y 246 días a 22°C (ACP, 1999). Su adsorción al suelo también es baja (Koc < 1.000) a moderada (Koc = 1.000-10.000), según el tipo de suelo y la cantidad de materia orgánica. Aunque es poco soluble en agua (≈2 mg/L), se ha detectado en aguas residuales municipales a concentraciones de entre 39 y 110 ng/L (=0,039-0,110 ppb), sin que el tratamiento por la planta recicladora sea capaz de reducir apenas las concentraciones en agua (Weston y Lidy 2014). De igual manera, tanto el fipronil como los productos de degradación, fipronil-sulfona y fipronil-desulfinilo se han detectado en arroyos urbanos a concentraciones medias de 21,2, 10,2 ng/L y 5,1 ng/L, respectivamente (Weston y Lidy 2014). En cuanto al uso de fipronil en plantaciones de arroz, se ha visto que contamina el agua de drenajes con concentraciones muy superiores a las urbanas, con valores entre 0,8 y 5,2 ppb de la molécula intacta; aparte, fue posible detectar los 3 productos de degradación mencionados tanto en el sedimento como en el agua (USGS 2003). Estos niveles son superiores a los establecidos por la EPA como concentraciones crónicas seguras (0,01 ppb = 10 ng/L) para la vida acuática.

MATERIALES Y MÉTODOS

Para valorar los impactos del fipronil en vertebrados e invertebrados, se hizo una revisión de la literatura usando Google Scholar y los términos vertebrados, mamíferos, aves, reptiles, anfibios y peces. Se seleccionó principalmente artículos científicos de revisión e hizo un seguimiento de las publicaciones referenciadas. Para efectos de exposiciones agudas, se registraron la Concentración Efectiva 50 (CE50) o Concentración Letal 50 (CL50). Para exposiciones crónicas, se registraron los efectos subletales, que pueden impactar las poblaciones a través de cambios de comportamiento, menor supervivencia, reproducción, o crecimiento y desarrollo. De acuerdo con los requerimientos de la Agencia de Protección Medioambiental americana (EPA) para el proceso de aprobación de registros, se seleccionó dos especies de aves (Colinus virginianus y Anas platyrhynchos) y dos especies de peces (Oncorhynchus mykissy Oreochromis niloticus) para determinar los riesgos para cada clase de vertebrados.

RESULTADOS Y DISCUSIÓN

Toxicidad para mamíferos y aves

La US EPA desarrolló una clasificación de toxicidad aguda basándose en la DL50 y la CL50 (US EPA 2004 y 2012). El fipronil es considerado como moderadamente tóxico para mamíferos con base en su toxicidad aguda (tabla 1) (Jackson et al. 2009). Los estudios que han investigado la toxicidad oral del fipronil en animales de laboratorio son parte de los estudios necesarios para determinar el riesgo de presentarse efectos tóxicos en humanos, si bien debido al "escándalo de los huevos" que hubo en Europa en 2017, se hicieron evaluaciones de riesgos específicas para humanos, como se describe posteriormente. La sensibilidad de los insectos y otros artrópodos al fipronil es de 700 a 1.300 veces mayor que en ratas. Esto parece ser debido a una mayor selectividad por los receptores del GABA de los insectos y a que los vertebrados no tienen canales de cloro acoplados al receptor de glutamato del GABA (Zhao et al. 2004). A pesar de su toxicidad aguda moderada en mamíferos, se presentan efectos subletales a dosis mucho más bajas que las DL50 y que pueden afectar la reproducción, crecimiento y desarrollo, o el comportamiento, y así poner en peligro la supervivencia de la especie. Por ejemplo, la DL50 en ratas es de 97 mg/Kg (tabla 1), mientras que la Lowest Observed Adverse Effect Level (LOAEL) para la reproducción (por ejemplo, menor tamaño de la camada, menor peso de las crías, menor supervivencia de la camada, menor índice de fertilidad, etc.) es de 26 mg/kg/día (US EPA 2000). En esos estudios, el nivel que no produce efectos adversos (NOAEL, del inglés no-observed-adverse-effect-level) para las crías fue de 2,5 mg/Kg/día. A dicha concentración, que no produjo efectos en la progenie, las madres desarrollaban mayor peso de la glándula tiroides e hígado con alteraciones histológicas. Igualmente, el metabolito del fipronil, fipronil-desulfinilo es más tóxico que el propio fipronil, con una DL50 en ratas de 16 mg/kg p.v. En perros Beagle, estudios de toxicidad crónica (52 semanas) establecieron que la NOAEL para efectos neurológicos (depresión, letargo y/o muerte) y gastrointestinales (pérdida de peso, inapetencia) era de 0,5 mg/Kg/día (Holmes et al. 1991). Puesto que el fipronil se emplea tópicamente en animales de compañía y de consumo, y su absorción sistémica es menor del 1% en 24 horas (Cheng 1995), es prácticamente imposible que se alcancen dosis tóxicas, por lo que se les considera como productos seguros. De hecho, la mayor parte de la dosis aplicada tópicamente se secuestra en las glándulas sebáceas y estrato córneo y es lentamente liberado sin llegar a penetrar hasta las capas hipodérmicas (Birckel et al. 1996). En humanos, los pocos estudios que han reportado signos de toxicidad por exposiciones inadvertidas muestran que el fipronil puede causar efectos leves y temporales predominando dolor de cabeza, mareo y parestesias (Lee et al. 2010). Con base en los estudios en ratas, las dosis aceptables en humanos (acute population-adjusted dose-aPAD) son de 0,025 mg/kg/día, mientras que la dosis crónica (cPAD) es de 0,0002 mg/kg/ día. En aves, la toxicidad aguda es muy variable, siendo poco tóxico para patos, palomas y gorriones, y altamente tóxico para codornices y faisanes (tabla 1). Esa gran variabilidad entre especies, de hasta 2 órdenes de magnitud, hace muy difícil poder predecir la toxicidad en especies salvajes no estudiadas y con alto riesgo de ser expuestas.

Organismos acuáticos

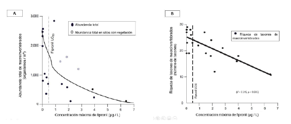
El fipronil es extremadamente tóxico (<100 ppb) para numerosas especies acuáticas. En la tabla 2, se muestra la toxicidad aguda del fipronil y sus productos de degradación para organismos no diana, observándose que los metabolitos son tan e incluso más tóxicos que la molécula integra del fipronil. Por ejemplo, los productos de degradación tienen una toxicidad similar para algunas especies como el cangrejo de río, pero son hasta 3 veces más tóxicas para otras como el pez de agallas azules y la trucha arcoíris, y de casi dos órdenes de magnitud más tóxica para la pulga de agua. El estudio de Weston y Lydy (2014) determinó la toxicidad del fipronil y sus derivados en 14 especies de invertebrados acuáticos. En dicho estudio, midieron valores de CE50, que aparte de ser más bajas que las CL50, son más representativas de lo que puede ocurrir a concentraciones subletales que afecten la supervivencia de las especies. Los parámetros usados para calcular la CE50 fueron de alteraciones del comportamiento: incapacidad de nadar, arrastrarse, fijarse a superficies, movimientos anormales. Se asume que la supervivencia del individuo está comprometida si no es capaz de tener movimientos normales. Como era de esperar, las CE50 para especies de invertebrados eran mucho más bajas que las CL50. Por ejemplo, para la especie más sensible, el quirómido Chironomus dilutus, los valores de CL50 para el fipronil eran de > 0,081 ppb, mientras que la CE50 era de 0,030 ppb para el fipronil, de 0,007 ppb para el fipronil-sulfona, y 0,009 ppb para el fipronil-sulfuro. En dicho estudio, la especie menos sensible resultó ser el anfípodo crustáceo Hyalella azteca, con valores de CE50 y CL50 de 0,729 y 1,593ppb, respectivamente. En otro estudio en el que compararon las LC50 y CE50 para los camarones, la diferencia fue dos órdenes de magnitud menor: 0,14 ppb (96-hr CL50) versus 0,005 ppb (CE50) (US EPA 1996). Es importante resaltar que estos valores de toxicidad aguda están dentro de un orden de magnitud para concentraciones de fipronil que se han detectado en aguas residuales municipales y arroyos urbanos (Weston y Lidy 2014), y cuencas de drenaje de cultivos de arroz (Mize et al. 2008). La concentración media que se obtuvo en 19 cursos de agua cercanos a las plantaciones de arroz fue de 0,230 ppb, con valores máximos de 6,41 ppb (Mize et al. 2008). Las concentraciones que se detectaron para los subproductos del fipronil, fipronil-sulfona y fipronil-sulfuro, fueron de diez veces menores que el fipronil; por su parte, el fipronil-desulfinilo se detectó a concentraciones 30 veces menores que el fipronil. También se observó que la abundancia total de macroinvertebrados, que abarcaba 7 órdenes taxonómicos, disminuía a medida que la concentración de fipronil era mayor (figura 3a). Otro hallazgo importante fue que disminuía la riqueza del número total de grupos taxonómicos, es decir, la diversidad de especies; en particular se afectaban más los de las subfamilias Chironominae y Orthocladinae (figura 3b). A su vez, los géneros más afectados de cada subfamilia eran el Rheotanytarsus y Caenis (Chironomidos) y el Corynoneura y Cricotopus (Orthocladinos). Estudios de laboratorio con el camarón marrón de aguas costeras, Farfantepenaeus aztecus, mostraron una 96-hr CL50 de 1,3 ppb (Al-badran et al. 2018). Sin embargo, a concentraciones desde 0,1 ppb a 10 ppb, se reducía progresivamente la supervivencia hasta el punto de que todos los individuos morían tras 28 días de exposición (figura 4). El tiempo medio letal requerido para que el 50% de los animales muriese fue de 6,6 días a la concentración menor testeada de 0,1 ppb. Una observación importante de dicho estudio fue describir los cambios de comportamiento y color que se producían y predecían a la muerte, ya que si solo se hubiesen limitado a reportar la 96-hr CL50, el estudio hubiese omitido los efectos a las concentraciones más bajas. Por tanto, es de esperar que la contaminación de cursos acuáticos por fipronil ponga en riesgo la supervivencia de muchas especies en distintos taxones y así altere toda la estructura de la comunidad de macroinvertebrados. Por otra parte, usar la CL50 para hacer valoración de riesgos claramente va a infravalorar el riesgo que implican concentraciones típicas halladas en el medio ambiente, así como los efectos que podrían producirse por exposiciones más largas a las que se suele usar para calcular la CL50.

TABLA 1: Toxicidad aguda del fipronil para mamíferos y aves

(a) Relación entre la abundancia total de macroinvertebrados y las concentraciones máximas de fipronil detectadas en curvos fluviales del Suroeste de Luisiana que recogen aguas de plantaciones de arroz tratadas con fipronil. (b) Relación entre la diversidad de macroinvertebrados y las concentraciones máximas de fipronil detectadas en agua.

FIGURA 3: (a) Relación entre la abundancia total de macroinvertebrados y las concentraciones máximas de fipronil detectadas en curvos fluviales del Suroeste de Luisiana que recogen aguas de plantaciones de arroz tratadas con fipronil. (b) Relación entre la diversidad de macroinvertebrados y las concentraciones máximas de fipronil detectadas en agua.

Curva de supervivencia de Kaplan-Meier del camarón marrón a distintas concentraciones de fipronil durante 29 días de exposición. Todos los tratamientos fueron significativamente distintos del control de acuerdo con la prueba no paramétrica de Log-Rank.

FIGURA 4: Curva de supervivencia de Kaplan-Meier del camarón marrón a distintas concentraciones de fipronil durante 29 días de exposición. Todos los tratamientos fueron significativamente distintos del control de acuerdo con la prueba no paramétrica de Log-Rank.

TABLA 2: Toxicidad del fipronil y sus derivados en organismos acuáticos

CE50: concentraciones efectivas que alteran la movilidad, reproducción, crecimiento o desarrollo de los organismos.

Fuente: US EPA 2017.

Los estudios anteriores sobre la toxicidad del fipronil a dosis muy bajas para controlar plagas indican que este puede tener un impacto importante en especies no destino, bien por efectos directos de toxicidad o indirectos matando sus fuentes de alimentación. A continuación, se describe la importancia ecológica de algunas de las especies no destino. Los quironómidos se consideran como especies indicadoras de contaminación en medios fluviales (Zhang et al. 2020); constituyen una familia con más de 7.000 especies descritas. Sus larvas y pupas sirven de alimento a peces, anfibios y otros animales acuáticos. Los adultos también son comidos por peces y aves insectívoras como las golondrinas. Por su parte, los anfípodos crustáceos como la Hyalella azteca son la base de la dieta de numerosas aves acuáticas. Como viven en sedimentos, se han empleado en numerosos estudios de toxicidad acuática. Los camarones, aparte de ser buenos centinelas de calidad del agua, también constituyen una fuente de alimento para muchos organismos marinos. En el orden Mysidacea existen 160 géneros, con más de 1.000 especies distintas. Tradicionalmente se han usado dos de ellas para estudios de toxicidad de pesticidas, Americamysis bahía y Americamysis almyra, que viven en estuarios y constituyen parte importante de la cadena alimenticia por ser el alimento de muchos peces. Otra especie crustácea que es importante del punto de vista comercial es el camarón marrón (Farfantepenaeus aztecus), que aparte constituye la dieta de otros numerooas organismos acuáticos. En 2016 se estimó que el valor comercial tan solo en Estados Unidos era de 166.542 millones de dólares (National Marine Fisheries Service 2017). Los estadios juveniles viven en estuarios, lo que les hace potencialmente susceptibles a pesticidas que llegan de usos agrícolas. Por último, los cangrejos de río también son altamente sensibles a la acción del fipronil, y tan solo en Estados Unidos existen más de 300 especies. La especie más corriente es el Procambarus clarkii, que tiene gran importancia económica, ya que se crían para consumo en Estados Unidos y otros países, y aparte se venden comercialmente como cebo para pescados. Aunque su potencial colonizador constituye una amenaza grave para las especies autóctonas en países como España (Boletín Oficial del Estado 2013), también es una presa favorita de muchas aves, incluidas la garza real, garcilla bueyera, cicónidos, y láridos. El uso de semillas de arroz tratadas con fipronil ha producido múltiples incidentes de mortalidad masiva del cangrejo de río en Estados Unidos (US EPA 2007). En 8 de 16 lagunas de monitoreo se midieron concentraciones de fipronil medias de 1,67 ppb, llegando a 3,2 ppb en algunas de ellas. Ello hizo que se prohibiese el fipronil para uso en semillas de arroz en Estados Unidos. En el memorándum de la EPA para la revisión de los registros del fipronil de 2020, la compañía química BASF Corporation expresó que no iba a comercializar más el fipronil para uso en cultivos de arroz en los Estados Unidos (US EPA 2020).

Sin embargo, expresó su intención de continuarlo en otros países.

Invertebrados terrestres

El fipronil es extremadamente tóxico para las abejas y causa mortandades masivas en todo el mundo (Holder et al. 2018; Zaluski et al. 2015). El estudio de Holder et al. (2018) ha demostrado que es el fipronil, y no el neonicotinoide imidacloprid, el que causó mortandades masivas en apiarios de Francia entre 1994 y 1998. Ambos pesticidas se empezaron a usar simultáneamente para cultivos de girasol. Los investigadores cuantificaron la toxicidad de ambos pesticidas y usaron bioensayos para determinar la posibilidad de bioacumularse en abejas. La información la incorporaron a simulaciones de ordenador de una colonia de abejas para predecir qué ocurriría a concentraciones típicas que se alcanzan en el medio ambiente. Los hallazgos mostraron que las abejas eliminan rápidamente el imidacloprid, pero acumulan en fipronil y en pocos días se alcanzan concentraciones letales. Las simulaciones predijeron que durante la primera semana de exposición habría entre 4.000 y 9.000 más muertes que en ausencia del fipronil, y que eso produciría el colapso total de una colonia. Cabe decir que las abejas representan la mitad de los animales que polinizan las plantas tropicales, por lo que poseen una gran importancia económica y ecológica en los agrosistemas.

El fipronil es un tipo de insecticida que ha mostrado no ser selectivo para tratar plagas, ya que a su vez afecta numerosas especies terrestres que son beneficiosas e incluso depredadoras de la especie destino. A continuación, se describen varios ejemplos. El chinche Orius insidious es depredador de muchos otros insectos y ácaros que resultan ser plagas de numerosos cultivos agrícolas como son: Frankliniella occidentalis (plaga de frutales y hortalizas), Helicoverpa zea (plaga del maíz y algodón), Macrosiphum euphorbiae (plaga de patatas), Panonychus ulmi (plaga de frutales y ornamentales), Tetranychus urticae (hortalizas y ornamentales) (figura 5) (Elzen 2001).

Ejemplo del insecto beneficioso Orius insidious, que es depredador de otros insectos que resultan ser plagas en cultivos agrícolas. Es una especie que se comercializa en programas de control biológico.

FIGURA 5: Ejemplo del insecto beneficioso Orius insidious, que es depredador de otros insectos que resultan ser plagas en cultivos agrícolas. Es una especie que se comercializa en programas de control biológico.

Fuente: Elzen 2001.

Otro insecto considerado beneficioso y muy susceptible al fipronil es el Geocoris punctipes (Elzen 2001), valioso frente al gusano rosado del algodón (Pectinophora gos-sypiella), la oruga de la col (Trichoplusia ni), mosquita blanca de los invernaderos ( Trialeurodesfloccosus), mosquita blanca del repollo (Aleyrodesproletella), entre otros. Se calcula que las ninfas de G. punctipes pueden comer hasta 1.600 ácaros durante su desarrollo, mientras que los adultos comen hasta 80 ácaros por día. El estudio de Elzen (2001) demostró que el fipronil no solo causaba mortalidad sobre Orius insidious y G. punctipes, sino que, de 10 insecticidas distintos, era el que más afectaba la fecundidad y capacidad de alimentarse de huevos de Helicoverpa zea. Hay que resaltar que muchos de los insectos que dañan los cultivos son polífagos, es decir, se pueden alimentar de muchas plantas diferentes durante el periodo larval. Así, por ejemplo, la oruga de Helicoverpa zea se conoce como gusano del algodón cuando ataca al algodón, y como gusano elotero cuando consume maíz.

Otro ejemplo de impacto colateral del fipronil para tratar la langosta (saltamontes) del desierto (Schistocerca gregaria) es el efecto que tiene sobre los órdenes Coleópteros (comúnmente conocidos como escarabajos) e Himenópteros (Balanca and Visscher, 1997). Entre los Coleópteros, la familia más afectada fue la de los Carabidae, que incluye entre 30.000 y 37.000 especies en todo el mundo y que tanto los adultos como las larvas suelen ser depredadores, cazando principalmente insectos, lombrices y caracoles. Aparte son un importante eslabón en las cadenas tróficas, ya que a su vez son depredados por rapaces, sapos, topos, etc. La segunda familia más afectada de los Coleópteros fueron los tenebriónidos, que reúnen hasta 20.000 especies descritas. Los tenebriónidos son principalmente detritívoros y viven en el suelo en hábitats esteparios y desérticos. Son un eslabón clave en la cadena trófica de dichos ecosistemas, ya que son la base de la alimentación de numerosos reptiles y aves. El estudio de Balanca y Visscher (1997) mostró que, independientemente de la dosis aplicada de fipronil, se producía una mortalidad de más del 90% de Carábidos y Tenebriónidos en dos días, y que perduraba al menos 4 semanas (dosis alta) y 2 semanas (dosis baja). En otras reflexiones del estudio, resulta muy probable que la capacidad de recuperación de las especies no destino sea inferior a la plaga que se trata de controlar, con lo cual tratamientos repetidos podrían llevar a la desaparición completa de especies no destino. En otro estudio que valoró el impacto del fipronil sobre la langosta Schistocerca gregaria se observó que este hacía desaparecer las poblaciones de termitas Coarctotermes clepsidra, y consecuentemente se producía un descenso de dos poblaciones de lagartos que se alimentan de termitas: Chalarodon madagascariensis (52,7%) y Mabuya elegans (45,2%) (Peveling et al. 2003). Este es de los pocos estudios que demuestra el impacto a nivel de población de un insecticida, donde el efecto viene dado indirectamente por afectar la cadena trófica.

Situación en Colombia

En Colombia, el fipronil se usa desde 1993 y actualmente está en el mercado en unos 60 productos agrícolas que, según sus registros ante el ICA, pueden ser utilizados en más de 40 cultivos. Según el ICA, entre 2019 y 2020 unas 64.000 colmenas murieron por pesticidas (16.000 colmenas/año), y cada una de ellas albergaba alrededor de 50.000 abejas (ICA, 2021). Las pruebas de laboratorio realizadas en 42 de estos enjambres mostraron que 33 (73%) tenían rastros de fipronil, seguidos por clorpirifos en 19 casos (42%). A comienzos de marzo de 2021, y ante la presión de apicultores, el ICA suspendió por 6 meses (hasta el 2 de septiembre de 2021) el registro de plaguicidas con ingrediente activo fipronil que eran utilizados en cultivos de aguacate, cítricos, café y pasifloras (ICA 2021). Hay que resaltar que los tres primeros cultivos requieren del uso de polinizadores como las abejas para su fertilización y poder dar frutos. Esos 6 meses se consideraban un periodo de gracia para que los fabricantes agotasen sus existencias y en ese plazo pudiesen tramitar nuevos registros, excluyendo su uso en las cuatro plantaciones mencionadas. Si después de esos 6 meses no se retiraba el uso de su etiqueta para dichas plantaciones, el ICA procedería a cancelar dicho registro en todos sus usos. No obstante, la norma no impide su uso en otro tipo de plantaciones y además los agricultores podrían comprarlo y no se podría controlar si lo aplican a cualquier tipo de plantación. Si bien la mortandad de abejas se ha concentrado en los alrededores de esas cuatro plantaciones, no se están teniendo en cuenta los efectos del fipronil sobre otros macroinvertebrados beneficiosos, tanto terrestres como acuáticos.

Una de las principales plagas que se tratan con fipronil en pasturas de kikuyu del alto trópico colombiano es el chinche de los pastos (Collaria scenica). La mayoría de los productos son suspensiones concentradas de fipronil al 20% que se aplican como emulsiones con equipos de aspersión; las hojas técnicas indican que el ganado no debe ingresar a los potreros hasta 14 días de su aplicación. Efectos colaterales que se podrían esperar del tratamiento de pasturas con fipronil son la desaparición de sus dos enemigos principales, el cucarrón depredador Eriopis connexa y las arañas araneomorfas del género Alpaida. El ciclo de vida de Eriopis connexa es mucho más largo que el de la Collaria scenica; los adultos viven 2-3 meses comparado con 3-4 semanas para C. scenica (Zazycki et al. 2015). Por su parte, la tasa de reproducción neta o tasa de reemplazo de E. connexa es de 16 nuevos individuos al cabo de una generación, mientras que la de C. scenica es de alrededor de 75 individuos por hembra (Zazycki et al. 2015). Por tanto, sería de esperar que, suponiendo que la eficacia del fipronil fuese del 100% para ambas especies, las Collarias se recuperarían más rápidamente que las poblaciones de Eriopis connexa.

Valoración de efectos del fipronil sobre salud humana por consumo de productos animales con residuos

El fipronil es un insecticida cuyo uso en animales de consumo está prohibido en Europa y Estados Unidos, si bien en Colombia hay productos permitidos en animales de consumo (por ejemplo, Alliance® pour on). En 2017, se desató un escándalo en Europa por la detección de huevos contaminados con fipronil, lo que llevó a retirar de la venta millones de huevos distribuidos en supermercados de una decena de países europeos. Además, se sacrificaron 300.000 gallinas y cerraron 180 granjas avícolas. Si bien no se excedieron concentraciones potencialmente tóxicas, el centro de la polémica radicó en la violación de las regulaciones europeas sobre el uso del fipronil. A continuación se resumen estudios de valoración de riesgo por consumo de huevos y carne de pollo que se realizaron en Europa por "el escándalo de los huevos".

La Agencia Europea para la Seguridad de Alimentos (European Food Safety Authority, EFSA) publicó varios estudios sobre el riesgo que para la salud humana podía tener el consumo de huevos y carne de pollos con residuos de fipronil (FASFC 2017; ANSES 2017; German Federal Institute for Risk Assessment 2017, 2018a y 2018b). Para estimar el riesgo, se usaron los valores de ADI (Acceptable Daily Intake) y ARfD (Acute Reference Dose) (German Federal Institute for Risk Assessment 2017, 2018a y 2018b). La ADI sería la dosis ingerida diariamente por una persona durante toda su vida que no supone un riesgo para la salud humana. Por su parte, la ARfD sería la dosis ingerida en un periodo de 24 horas sin producir riesgo para la salud. Puesto que la exposición a fipronil fue temporal, se empleó la ARfD, y no la ADI, para la valoración de riesgos. Debido a que tanto la ADI como la ARfD derivan de usar factores de seguridad de 100 por debajo de las dosis NOAEL, que la ingesta de fipronil supere los valores de ambas variables no implicaría que se vayan a producir efectos indeseables en el consumidor, "si bien no se podrían descartar". No obstante, y como se verá a continuación, aunque las concentraciones que se detectaron en huevos y carne no superaron los valores de la ARfD, por ley huevos y carne que contengan concentraciones superiores al Maximum Risk Level (MRL o concentración máxima permisible), que para el fipronil está en 0,005 mg/Kg/huevo y carne, no se pueden comercializar. Dicho valor sería la suma de fipronil y su metabolito sulfona. Es importante resaltar que el MRL no implica un límite toxicológico, ya que se basa en el límite de detección para el fipronil en productos de consumo donde no está tolerado su uso.

La dosis ingerida aceptable (ADI) se calculó en 0,0002 mg/Kg p.v. con base en estudios en ratas donde la NOAEL en exposiciones crónicas era de 0,02 mg/ kg p.v./día (FASFC, 2017). El factor de seguridad para llegar a la ADI era de 100 (10x para estudios en animales y 10x para variabilidad de la población humana), tal que la AID era de 0,02x100=0,0002 mg/kg p.v./día. La ADI para un adulto (66,7Kg) corresponde a 0,013 mg por persona (0,0002 mg/kg x 66,7 Kg = 0,013 mg por persona) y para un niño (8,7 kg) la ADI sería de 0,0017 mg de fipronil (0,0002 mg/kg x 8,7 Kg = 0,0017 mg por niño). La ADI no se excedió en estudios de valoración de riesgos (German Federal Institute for Risk Assessment 2018a).

Por su parte, la ARfD se calculó con base en estudios de neurotoxicidad en ratas expuestas durante el desarrollo fetal con una NOAEL = 0,9 mg/Kg p.v./día. Al aplicarle un factor de seguridad de 100, se obtuvo una ARfD de 0,009 mg/Kg p.v. Para un adulto (66,7 Kg) la ARfD sería de 0,6 mg por persona (0,009 mg/kg x 66,7 Kg = 0,6 mg por persona) y para un niño (8,7 Kg) sería de 0,078 mg de fipronil (FASFC 2017). Con base en dicho umbral de la ARfD, la EFSA calculó la concentración máxima de fipronil en huevos y leche que no superaría dicho umbral, asumiendo un consumo medio o excesivo de dichos alimentos. Asumiendo el peor de los casos de consumo excesivo, se consideró que un adulto podría consumir 5 huevos al día (250 g huevos/día o 3,78 g de huevos/kg p.v.) y un niño podría consumir 2 huevos al día (100 g huevos o 12,4 g de huevos/kg p.v.). Por su parte, el consumo de carne se estimó en 783 g al día para un adulto y de 181 g para un niño. Por tanto, a una concentración por debajo de 2,38 mg/kg en huevos (5 huevos x 50 g/huevo = 250 g; 2,38 mg x 250 g/1000 g = 0,6 mg por adulto) o de 0,77 mg/kg de carne de pollo no supondría cantidades que superen el umbral de la ARfD (FASFC 2017). Para niños, las concentraciones eran de 0,72 mg/ Kg de huevos (2 huevos x 50 g/huevo = 100 g; 0,72 mg x 100 g /1000 mg = 0,072 mg por niño) y 0,8 mg/kg de carne de pollo. Para alimentos procesados con huevos o carne de pollo, se estimó que el consumo podría estar en 500 g al día para un niño, por lo que concentraciones de 0,15 mg/ kg no alcanzarían el umbral de la ARfD (0,15 mg/kg alimento x 0,5 kg = 0,075 mg de fipronil), que es más baja que la ARfD para un niño (8,7Kg) de 0,078 mg fipronil/día. Suponiendo que los huevos llevasen una concentración de 0,72 mg/ kg (que son concentraciones alcanzadas en el escándalo de los huevos), un adulto debería ingerir 17 huevos al día para llegar a la ARfD (17 huevos x 50 mg/huevo = 850 g; 850 g x 0,72 mg/1000 g = 0,6 mg por adulto), mientras que para un niño sería de 3 huevos. En los estudios que se hicieron en Europa durante la crisis de los huevos, solo 3 huevos de miles analizados mostraron concentraciones superiores a 0,72 mg/kg de fipronil, uno de ellos tenía 1,2 mg/kg.

En la tabla 3, se resume el consumo máximo tolerable para niños y adultos de productos alimenticios elaborados con huevos que tienen tres concentraciones distintas de fipronil: 1,2 mg/kg, 0,72 mg/ kg, y 0,45 mg/kg. Las porciones teoréticas (en Kg) que se podría consumir sin superar la ARfD (0,009 mg/kg p.v.) se muestran en las dos columnas últimas (German Federal Institute for Risk Assessment 2017a).

TABLA 3: Consumo diario máximo tolerable para niños y adultos de distintos productos alimenticios con alta o moderada proporción de huevos basándose en una ARfD (acute reference dose) para el fipronil de 0,009 mg/kg de peso vivo

Fuente: German Federal Institute for Risk Assessment 2017.

Un estudio similar en Francia que utilizó concentraciones de 0,23 mg/kg, más cercanas a las alcanzadas en la crisis de los huevos, mostró que el consumo de dichos productos alimenticios también debía ser muy alto para alcanzar la ARfD (tabla 4) (ANSES 2017). Por ejemplo, un niño de 10 Kg tendría que consumir cantidades por encima de 391 g para estar expuesto a una dosis superior a la ARfD.

TABLA 4: Cantidad de alimento que se puede consumir sin alcanzar el valor de dosis de referencia aguda (ARfD) de 0,009 mg/Kg de peso corporal

*Alimentos que pueden contener huevos o productos derivados del huevo.

Fuente: French Agency for Food, Environmental and Occupational Health & Safety 2017.

CONCLUSIONES

El fipronil es uno de los insecticidas y acaricidas más usados en agricultura y animales domésticos a nivel mundial. Si bien la toxicidad selectiva se debe a su mayor potencia para unirse a los receptores GABA de los invertebrados comparada con el de los vertebrados (mamíferos y aves), en el medio ambiente dicha selectividad se pierde porque los productos de degradación tienden a ser igual o más tóxicos que la propia molécula del fipronil. Además, algunos de ellos son más persistentes en el medio ambiente que el propio fipronil.

Los análisis de aguas en muchos cursos fluviales han mostrado que, después de aplicaciones típicas en plantaciones, se alcanzan concentraciones superiores a las estipuladas por la EPA (0,01 ppb) como seguras para la vida acuática. Los peligros para especies no destino de invertebrados (terrestres y acuáticos), así como los efectos indirectos sobre las cadenas alimenticias, han hecho que se prohíba o restrinja mucho su uso en numerosos países, incluidos todos los de la Unión Europea, China y Estados Unidos. Algunas de las especies muy susceptibles al fipronil tienen gran importancia económica y ecológica, incluyendo el cangrejo de río, el camarón marrón y las abejas. En particular, el impacto decimando apiares de todo el mundo es un ejemplo de efectos indeseados del fipronil en agricultura. Otras especies, sobre las que apenas existen estudios, pero también se afectan por el fipronil, son las que juegan un papel esencial como depredadores biológicos de las mismas plagas que se intenta controlar. Considerando todos los impactos en especies no destino, la comercialización y el uso indiscriminado del fipronil en agricultura parece totalmente irresponsable. En Colombia, a partir de septiembre de 2021, y producto de la presión de los apicultores, el ICA ha prohibido su uso en plantaciones de aguacate, café, cítricos y pasifloras. No obstante, mientras no se prohíba su uso en todas sus aplicaciones agrícolas, agricultores podrían comprarlo y no se podría controlar si lo aplican a cualquier tipo de plantación.

La conclusión de la valoración de riesgos realizada por varias autoridades europeas fue que la ingesta de friponil a las concentraciones detectadas en huevos y carne no superaban ni la ADI, ni la ARfD para ningún grupo de consumidores, incluidos niños, por lo que no se esperaría que produjesen efectos adversos para la salud.

REFERENCIAS

  1. Al-Badran AA, Fujiwara M, Gatlin DM y Mora MA. 2018. Lethal and sub-lethal effects of the insecticide fipronil on juvenile brown shrimp Farfantepenaeus aztecus. Scientific Reports. 8(1):10769. https://doi.org/10.1038/s41598-018-29104-3 [URL] 🠔
  2. Ali A, Nayar JK y Gu WD. 1998. Toxicity of a phenyl pyrazole insecticide, fipronil, to mosquito and chironomid midge larvae in the laboratory. Journal of the American Mosquito Control Association. 14(2):216-218. 🠔
  3. Balança G y De Visscher M. 1997. Impacts on nontarget insects of a new insecticide compound used against the desert locust [Schistocerca gregaria (Forskâl 1775)]. Archives of Environmental Contamination and Toxicology. 32(1):58-62. https://doi.org/10.1007/s002449900155 [URL] 🠔
  4. Birckel P, Cochet P, Benard P y Weil A. 1998. Cutaneous distribution of 14C-fipronil in the dog and in the cat following a spot-on administration. Butterworth-Heinemann Ltd. Disponible en: https://scholar.google.com/scholar_lookup?title=Cutaneous+distribution+of+14C-fipronil+in+the+dog+and+in+the+cat+following+a+spot-on+administration&author=Birckel%2C+P.&publication_year=1998 [URL] 🠔
  5. Boletín Oficial del Estado. 2013. Real Decreto 630/2013, de 2 de agosto, por el que se regula el Catálogo español de especies exóticas invasoras. Ministerio de Agricultura, Alimentación y Medio Ambiente. BOE-A-2013-8565. Disponible en: https://www.boe.es/eli/es/rd/2013/08/02/630 [URL] 🠔
  6. Cheng T. 1995. Dermal absorption of 14C-fipronil REGENT 80WDG in male rats (preliminary and definitive phases). In Unpublished report No. HWI 6224-210 from Hazleton Wisconsin, Inc. (Research Triangle Park, NC, USA, Submitted to WHO by Rhone-Poulenc, Inc.). 🠔
  7. Commission Implementing Regulation. 2013. (EU) No. 781/2013 amending Implementing Regulation (EU) No. 540/2011, as regards the conditions of approval of the active substance fipronil, and prohibiting the use and sale of seeds treated with plant protection products containing this active substance. Official Journal of the European Union. L 219:22-25. 🠔
  8. Elzen GW. 2001. Lethal and sublethal effects of insecticide residues on Orius insidiosus (He-miptera: Anthocoridae) and Geocoris punctipes (Hemiptera: Lygaeidae). Journal of Economic Entomology. 94(1):55-59. https://doi.org/10.1603/0022-0493-94.1.55 [URL] 🠔
  9. Eshra ES, El-Shahaat M y Dewer Y. 2016. Molluscicidal Potential of Two Neonicotinoids and Fipronil Against Three Terrestrial Snail Species. International Journal of Zoological Investigations. 2:1-8. 🠔
  10. Federal Agency for the Safety of the Food Chain (FASFC). 2017. Risk assessment and risk management with regard to the presence of fipronil in eggs, egg products, poultry meat, and processed products. Nota del 23 de Agosto de 2017. 🠔
  11. Flores F, Kaserzon S, Elisei G, Ricardo G y Negri AP. 2020. Toxicity thresholds of three insecticides and two fungicides to larvae of the coral Acropora tenuis. PeerJ, 8, e9615. https://doi.org/10.7717/peerj.9615 [URL] 🠔
  12. French Agency for Food, Environmental and Occupational Health & Safety (ANSES). 2017. The maximum concentration of fipronil not to be exceeded in egg products and other processed products containing eggs, to ensure that consumer exposure remains below the acute toxicological reference value. ANSES scientific and technical support. Request No 2017-SA-0183. 🠔
  13. German Federal Institute for Risk Assessment (BfR).2017a. Fipronil in foods containing eggs: Estimations of maximum tolerable daily consumption. No 019/2017 of August 2017. Disponible en: https://www.bfr.bund.de/cm/349/fipronil-in-foods-containing-eggs-estimations-of-maximum-tolerable-daily-consumption.pdf. [URL] 🠔
  14. German Federal Institute for Risk Assessment (BfR). 2017b. Health assessment of fipronil levels in chicken meat in Germany based on the first analysis results for pullets and laying hens from the few affected businesses in Germany. No. 020/2017 of August 2017. Disponbile en: https://mobil.bfr.bund.de/cm/349/health-assessment-of-fipronil-levels-in-chicken-meat-in-germany-based-on-the-first-analysis-results.pdf [URL] 🠔
  15. German Federal Institute for Risk Assessment (BfR). 2018a. Updated assessment of the health risks posed by longer-term consumption of foods containing fipronil. No. 002/2018 of January 2018. Disponible en: https://www.anses.fr/en/system/files/ERCA2017SA0183EN.pdf [URL] 🠔
  16. German Federal Institute for Risk Assessment (BfR). 2018b. Updated assessment of the health risks posed by longer-term consumption of foods containing fipronil. No. 002/2018 of January 2018. Disponible en: https://mobil.bfr.bund.de/cm/349/updated-assessment-of-the-health-risks-posed-by-longer-term-consumption-of-foods-containing-fipronil.pdf [URL] 🠔
  17. Gunasekara AS, Truong T, Goh KS, Spurlock F y Tjeerdema RS. 2007. Environmental fate and toxicology of fipronil. Journal of Pesticide Science. 32(3):189-199. https://doi.org/10.1584/jpestics.R07-02 [URL] 🠔
  18. Holder P, Jones A, Tyler C y Cresswell J. 2018. Fipronil pesticide as a suspect in historical mass mortalities of honey bees. Proceedings of the National Academy of Sciences. https://doi.org/10.1073/pnas.1804934115 [URL] 🠔
  19. Holmes P. 1991. M&B 46030: Toxicity study by oral (capsule) administration to Beagle dogs for 52 weeks. In Unpublished report No. 92/ RHA31o/0842 from Life Science Research Ltd. (Research Triangle Park, NC, USA, Submitted to WHO by Rhone-Poulenc, Inc. 1991. 🠔
  20. Instituto Colombiano Agropecuario (ICA). 2021. Resolución N.° 092101 "Por medio de la cual se suspende temporalmente el registro de los productos formulados que contengan como ingrediente activo fipronil y que dentro de los usos aprobados estén los cultivos de aguacate, café, cítricos y/o pasifloras. 2 de marzo de 2021. 🠔
  21. Ismail BS, Nuraziah A, Nor-Aini D, Maimon A. 2004. Effect of repeated applications of fipronil on arthropod populations in experimental plot studies. Pertanika Journal of Tropical Agriculture Science (Malaysia). 27(2):135-142. http://agris.upm.edu.my:8080/dspace/handle/0/9706 [URL] 🠔
  22. Jackson D, Cornell CB, Luukinen B, Buhl K, Stone D. 2009. Fipronil Technical Fact Sheet [Internet]. National Pesticide Information Center. 2009 [citado 25 de noviembre de 2021]. Disponible en: Disponible en: http://npic.orst.edu/factsheets/archive/fiptech.html [URL] 🠔
  23. Kandil MA, Fouad EA, El Hefny DE y Abdel-Mobdy YE. 2020. Toxicity of Fipronil and Emamectin Benzoate and Their Mixtures Against Cotton Leafworm, Spodoptera litto-ralis (Lepidoptera: Noctuidae) With Relation to GABA Content. Journal of Economic Entomology. 113(1):385-389. https://doi.org/10.1093/jee/toz232 [URL] 🠔
  24. Lee SJ, Mulay P, Diebolt-Brown B, Lackovic MJ, Mehler LN, Beckman J, Waltz J, Prado JB, Mitchell YA, Higgins SA, Schwartz A y Calvert GM. 2010. Acute illnesses associated with exposure to fipronil-Surveillance data from 11 states in the United States, 2001-2007. Clinical Toxicology (Philadelphia, Pa.), 48(7):737-744. https://doi.org/10.3109/15563650.2010.507548 [URL] 🠔
  25. Mize SV Porter SD y Demcheck DK. 2008. Influence of fipronil compounds and rice-cultivation land-use intensity on macroinvertebrate communities in streams of southwestern Louisiana, USA. Environmental Pollution. 152(2):491-503. https://doi.org/10.1016/j.envpol.2007.03.021 [URL] 🠔
  26. NMFS. 2021. Fisheries N. Office of Science and Technology | NOAA Fisheries [Internet]. NOAA. 2021 [citado 26 de noviembre de 2021]. Disponible en: Disponible en: https://www.fisheries.noaa.gov/about/office-science-and-technology [URL] 🠔
  27. Peveling R, McWilliam AN, Nagel P, Rasolomanana H, Raholijaona Rakotomianina L, Ravoninjatovo A, Dewhurst CF, Gibson G, Rafanomezana S y Tingle CCD. 2003. Impact of locust control on harvester termites and endemic vertebrate predators in Madagascar. Journal of Applied Ecology. 40(4):729-741. https://doi.org/10.1046/j.1365-2664.2003.00833.x [URL] 🠔
  28. Scott JG y Wen Z. 1997. Toxicity of Fipronil to Susceptible and Resistant Strains of German Cockroaches (Dictyoptera: Blattellidae) and House Flies (Diptera: Muscidae). Journal of Economic Entomology. 90(5):1152-1156. https://doi.org/10.1093/jee/90.5.1152 [URL] 🠔
  29. Tingle CCD, Rother JA, Dewhurst CF, Lauer S y King WJ. 2003. Fipronil: Environmental fate, ecotoxicology, and human health concerns. Reviews of Environmental Contamination and Toxicology. 176:1-66. https://doi.org/10.1007/978-1-4899-7283-5_1 [URL] 🠔
  30. U.S. Environmental Protection Agency (USE-PA).1996. New Pesticide Fact Sheet-Fipronil; EPA 737-F-96-005; U.S. Environmental Protection Agency, Office of Prevention, Pesticides and Toxic Substances.1996 Office of Pesticide Programs, U.S. Government Printing Office Washington, DC.; pp 1-10. Disponible en: https://nepis.epa.gov/Exe/ZyPURL.cgi?Dockey=P1001KCY.TXT [URL] 🠔
  31. US Environmental Protection Agency (USEPA). 1999. Memorandum: EFED's section 3 Registration Eligibility Decision Chapter for fipronil use on rice as a pre-plant broadcast treatment. Office of Prevention Pesticides and Toxic Substance, Washington DC. Disponible en: https://archive. epa.gov/pesticides/chemicalsearch/chemical/foia/web/pdf/129121/129121-123.pdf [URL] 🠔
  32. US Environmental Protection Agency (USEPA). Fipronil: Third Reevaluation-Report ofthe Hazard Identification Assessment Review Committee; HED Doc. No. 014400. Disponible en: https://www3.epa.gov/pesticides/chem_search/clea-red_reviewsZcsr_PC-129121_18-Apr-07_a.pdf [URL] 🠔
  33. US Environmental Protection Agency (USEPA). 2000. Health Effects Division, U.S. Government Printing Office 2000: Washington DC, pp. 1-24. Disponible en: https://www.cdc.gov/nchs/data/hp2000/hp2k01.pdf [URL] 🠔
  34. U.S. Environmental Protection Agency (USE-PA). 2004. Overview of the Ecological Risk Assessment Process in the Office of Pesticide Programs. Office of Prevention, Pesticides, and Toxic Substances. Office of Pesticide Programs. Washington DC. Disponible en: https://www.epa.gov/sites/default/files/2014-11/documents/ecorisk-overview.pdf [URL] 🠔
  35. U.S. Environmental Protection Agency (USEPA). 2007. Updated Section 18, Ecological Risk Assessment for fipronil Use to Control Cabbage Maggot in Turnip and Rutabaga. 2007; Environmental Protection Agency, Washington, D.C. Disponible en: https://archive.epa.gov/pesticides/chemicalsearch/chemical/foia/web/pdf/129121/129121-2007-04-18a.pdf [URL] 🠔
  36. U.S. Environmental Protection Agency (USEPA). 2016. Review of Toxicity Studies with fipronil Degradates (Fipronil Sulfone, Fipronil Sulfide, and Fipronil Desulfinyl).2016; Office of Chemical Ssafety and Pollution Prevention. Washington, D. C. Disponible en: https://www.regulations.gov/docket/EPA-HQ-OPP-2011-0448/document [URL] 🠔
  37. US Environmental Protection Agency (USEPA). 2020. Fipronil: acute and chronic aggregate dietary exposure for the registration review of fipronil. Office of Chemical Safety and Pollution Prevention. Disponible en: https://downloads.regulations.gov/EPA-HQ-OPP-2011-0448-0075/content.pdf [URL] 🠔
  38. US Environmental Protection Agency (USEPA). United States Environmental Protection Agency. 2012 Ecological Risk Assessment. http://www.epa.gov/oppefed1/ecorisk_ders/toera_analysis_eco.htm . Accessed Nov 2021. [URL] 🠔
  39. US Geological Survey (USGS). 2003. Fipronil and Degradation Products in the Rice-Producing Areas of the Mermentau River Basin, Louisiana, February- September 2003; USGS Fact Sheet FS-010-0; U.S. Department of the Interior, US Geological Survey. Disponible en: Disponible en: https://pubs.er.usgs.gov/publication/fs01003 (accessed Nov 2021). [URL] 🠔
  40. Weston DP y Lydy MJ. 2014. Toxicity of the Insecticide Fipronil and Its Degradates to Benthic Macroinvertebrates of Urban Streams. Environmental Science & Technology. 48(2):1290-1297. https://doi.org/10.1021/es4045874 [URL] 🠔
  41. Zaluski R, Kadri SM, Alonso DP Martins Ribolla PE y De Oliveira Orsi, R. 2015. Fipronil promotes motor and behavioral changes in honey bees (Apis mellifera) and affects the development of colonies exposed to sublethal doses. Environmental Toxicology and Chemistry. 34(5):1062-1069. https://doi.org/10.1002/etc.2889 [URL] 🠔
  42. Zazycki LCF, Semedo RES, Silva A, Bisognin AZ, Bernardi O, García MS y Nava DE. 2015. Biology and fertility life table of Eriopis connexa, Harmonia axyridis and Olla v-nigrum (Coleoptera: Coccine-llidae). Brazilian Journal of Biology. 75:969-973. https://doi.org/10.1590/1519-6984.03814 [URL] 🠔
  43. Zhang L, Yang J, Li H, You J, Chatterjee N y Zhang X. 2020. Development of the transcriptome for a sediment ecotoxicological model species, Chironomus dilutus. Chemosphere, 244:125541. https://doi.org/10.1016/j.chemosphere.2019.125541 [URL] 🠔
  44. Zhao X, Yeh JZ, Salgado VL y Narahashi T. 2004. Fipronil is a potent open-channel blocker of glutamate-activated chloride channels in cockroach neurons. The Journal of Pharmacology and Experimental Therapeutics. 310(1):192-201. https://doi.org/10.1124/jpet.104.065516 [URL] 🠔
Para llevar a cabo este proyecto de investigación no se recibieron fondos de ninguna entidad.
Gómez-Beltrán DA, Pérez Montes JE, Villar D. 2023. Impacto ecológico del insecticida fipronil: situación en Colombia. Rev Med Vet Zoot. 70(1):65-84. https://doi.org/10.15446/rfmvz.v70n1.100631