Revista de la Facultad de Medicina
0120-0011
Universidad Nacional de Colombia
https://doi.org/10.15446/revfacmed.v65n2.57893

Recibido: 7 de junio de 2016; Aceptado: 30 de septiembre de 2016

La autoeficacia en el post-infarto

Self-efficacy after myocardial infarction

M. Medina-Garzón, 1Y. Rubiano, 1*

Universidad Nacional de Colombia - Sede Bogotá - Facultad de Enfermería - Maestría en Enfermería con énfasis en la Salud Cardiovascular - Grupo de investigación Cuidado de Enfermería a la Salud Cardiovascular - Bogotá D.C. - Colombia. Universidad Nacional de Colombia Universidad Nacional de Colombia Facultad de Enfermería Bogotá D.C Colombia

Correspondencia: Yuriam Lida Rubiano. Facultad de Enfermería, Universidad Nacional de Colombia. Carrera 30 No. 45-03, edificio 101, oficina 401. Teléfono: +57 1 3165000, ext.: 17004. Bogotá D.C. Colombia. Correo electrónico: ylrubianom@unal.edu.co.

Ninguno declarado por los autores.

Resumen

Introducción.

Después de un infarto agudo de miocardio, los pacientes experimentan altos niveles de estrés emocional y ansiedad. Estas percepciones limitan sus comportamientos saludables.

Objetivo.

Determinar el nivel de autoeficacia general en pacientes post-infarto agudo de miocardio según la edad, género, estado de rehabilitación y atención en una unidad de cardiología en Girardot.

Materiales y métodos.

Investigación descriptiva, evaluada a través de la Escala general de autoeficacia versión ll, en una población de 149 personas entre los 35 y 65 años. Para el análisis estadístico de los resultados se utilizaron medidas estadísticas descriptivas y pruebas de correlación.

Resultados.

La edad de los participantes tuvo una media de 52 años. El análisis de la autoeficacia por grupo de edad evidenció incidencia mínima de la autoeficacia en el grupo de edad. Según el género, los hombres se percibieron más autoeficaces que las mujeres. Además, los pacientes que no asistieron a la rehabilitación cardíaca tuvieron un nivel de autoeficacia general ligeramente mayor en comparación con los rehabilitados.

Conclusiones.

No hubo relación entre la edad, el género y la rehabilitación frente al nivel de autoeficacia. Estas variables dependieron de otras diferentes a las del estudio.

Palabras clave:

Infarto agudo de miocardio, Autoeficacia, Enfermería en rehabilitación (DeCS).

Abstract

Introduction:

After an acute myocardial infarction, patients experience high levels of emotional stress and anxiety, which limit healthy behaviors.

Objective:

To determine the general level of self-efficacy in post-acute myocardial infarction patients according to age, sex, rehabilitation status and care in a cardiology unit of Girardot.

Materials and methods:

Descriptive study in which the general scale of self-efficacy version II was used in a population of 149 people aged between 35 and 65 years. Descriptive statistical measures and correlation tests were used to perform the statistical analysis of the results.

Results:

The average age of the participants was 52. The analysis by age group showed a minimal incidence. A sex analysis showed that men perceive themselves as more self-efficacious than women. In addition, patients who did not attend cardiac rehabilitation had a slightly higher overall self-efficacy rate compared to rehabilitated patients.

Conclusions:

There was no correlation between age, sex, and rehabilitation versus the self-efficacy level. In fact, these variables depended on others not considered in this study.

Keywords:

Myocardial Infarction, Self-efficacy, Rehabilitation Nursing (MeSH).

Introducción

Es importante realizar un seguimiento interdisciplinar a los pacientes después de un infarto agudo de miocardio con el fin de identificar conductas o comportamientos que puedan afectar su estado de salud y poder tratarlos con anticipación para evitar su agudización. Según Alsén et al. y Eriksson et al.1,2, los pacientes que sufren un infarto agudo de miocardio experimentan altos niveles de estrés emocional y ansiedad, al punto de percibirse a sí mismos como incapaces de desempeñar sus labores diarias 3,4 o, más aún, al borde de la muerte ante un nuevo episodio 5. Estas percepciones se presentan con mayor frecuencia en la fase aguda del período post-infarto 6 y se reflejan en conductas que reducen la calidad de vida y disminuyen la adherencia a los tratamientos 7.

El incremento en los índices de morbimortalidad de las enfermedades cardiovasculares para el 2011 8 mostró la muerte de casi 17 millones de personas, de los cuales 7 millones corresponden a infarto agudo de miocardio. Además, se afirma que para el 2030, cerca de 23.3 millones de personas morirán por causa de cardiopatías isquémicas. Para las próximas décadas en Colombia, se considera que una de las causas de mortalidad será la enfermedad isquémica del corazón o infarto de miocardio 9.

Diferentes estudios realizados por enfermería confirman la importancia de la autoeficacia para modelar comportamientos y conductas saludables. Según Jaramillo & Valencia 10, los estímulos y la promoción de la autoeficacia pueden aumentar la calidad de vida y disminuir el sufrimiento. De acuerdo con Everett 11, la práctica de algún deporte o de cierta actividad física en personas con enfermedad cardiovascular representa una gran herramienta para motivar, aconsejar, sensibilizar al paciente y conducirlo hacia mejores hábitos como la eliminación del consumo del tabaco, teniendo en cuenta sus capacidades y habilidades 12. Al aumentar la autoeficacia a través de estas actividades, hay mayor adhesión al tratamiento, aumento de las conductas de cuidado y disminución de los síntomas físicos y psicológicos 13.

Profesionales de enfermería han dedicado sus esfuerzos en la identificación de patrones de conductas e intervenciones para el cuidado de la salud cardiovascular. En ese sentido, su participación activa es imprescindible, así como sus capacidades y creencias respecto al desempeño de acciones, los cuales permiten obtener los resultados deseados, en este caso comportamientos saludables con base en la autoeficacia 14.

La autoeficacia se ha abordado desde las ciencias humanas y las ciencias sociales mediante el análisis en diferentes tipos de población siguiendo los planteamientos de la teoría social cognitiva. Según Bandura 15, esta se define como "los juicios de las personas acerca de sus capacidades para alcanzar niveles determinados de rendimiento" (15, p65). Desde la enfermería, de acuerdo con Bárbara Resnick 16, la autoeficacia es el juzgamiento del individuo acerca de sus capacidades para organizar y ejecutar cursos de acción. Así, la teoría de la autoeficacia se basa en la capacidad de las personas para influir sobre lo que hacen, a través del pensamiento reflexivo, en los diferentes aprendizajes, las destrezas y otras herramientas de autoinfluencia, donde la persona decidirá cómo comportarse y mejorar su calidad de vida 16.

El objetivo de este estudio es determinar el nivel de autoeficacia general en paciente post-infarto agudo de miocardio según la edad, género, estado de rehabilitación y atención en una unidad de cardiología en Girardot. En la investigación se observaron datos interesantes para plantear estrategias y acciones que fomenten comportamientos y conductas saludables en pacientes con enfermedad isquémica a través del reporte de beneficios para la salud y la mejora de las conductas de la misma.

Materiales y métodos

Se llevó a cabo un estudio descriptivo con enfoque cuantitativo y un muestreo no probabilístico intencional conformado por 149 personas (69 hombres y 80 mujeres) que presentaron infarto agudo de miocardio. Los criterios de inclusión fueron que estuvieran entre los 35 y 65 años, que hubieran sufrido un primer episodio de infarto agudo de miocardio (6 meses antes del estudio), que asistieran o no al programa de rehabilitación cardíaca y que se encontraran en la consulta de cardiología en una IPS de Girardot.

Posterior a la firma del consentimiento informado, se diligenció una ficha de seguimiento del paciente post-infarto, con variables como la edad, la asistencia al programa de rehabilitación y el género -ideas, normas y comportamientos que la sociedad ha establecido para cada sexo- 17. Después, se aplicó la escala general de autoeficacia versión ll, diseñada por Schwarzer et al.18 , cuya versión española fue validada en Chile por Cid et al.19 y adaptada en Colombia por Cruz 20. Esta escala permite la descripción efectiva del constructo de autoeficacia y está conformada por 10 ítems con puntaje mínimo de 10 correspondiente a baja autoeficacia y mayor de 40 puntos, alta autoeficacia. Las respuestas son tipo Likert, donde la persona responde a cada reactivo de acuerdo a lo que ella percibe de su capacidad en el momento: nunca (1 punto), algunas veces (2 puntos), pocas veces (3 puntos) y siempre (4 puntos). Así, evalúa la autoeficacia general para manejar de forma eficaz una gran variedad de situaciones estresantes 21.

El coeficiente alfa de Cronbach de la escala general de autoeficacia indica un 84% de la variabilidad de las puntuaciones obtenidas y el 16% restante refleja fluctuaciones al azar. Este resultado ayudó a corroborar la homogeneidad de los elementos y la consistencia de la medición de los caracteres estipulados.

A su vez, se realizó un estudio de frecuencias y determinación de prevalencias mediante un análisis estadístico de tipo descriptivo y se planteó una asociación estadística de la autoeficacia con edad, género y fases de rehabilitación cardíaca, al utilizar el aporte de la estadística descriptiva inferencial para relacionar las hipótesis estadísticas. El manejo de la información fue anónimo y confidencial. No hubo ninguna intervención durante el desarrollo del estudio.

Resultados

El promedio de edad de los participantes fue de 52 años. El 38.9% correspondió a una alta frecuencia de infarto agudo de miocardio entre 46 y 55 años.

En cuanto al nivel de autoeficacia con respecto a la edad, los participantes exhibieron puntuaciones con una media de 32, significativa para intervenir sobre las conductas saludables frente al infarto de miocardio, lo que evidenció heterogeneidad entre los grupos.

Como lo muestra la Figura 1, la autoeficacia no fue afectada significativamente de acuerdo con la edad, pues se comportó de modo similar. Sin embargo, en esta gráfica de box-plot se encuentran los casos de dos mujeres y un hombre -registrados en la base de datos con su respectivo código- ubicados en el rango de edad entre 46 y 55 años, que reportaron niveles mínimos de autoeficacia.

Autoeficacia en pacientes post-infarto agudo de miocardio por grupos de edad.

Figura 1: Autoeficacia en pacientes post-infarto agudo de miocardio por grupos de edad.

Fuente: Elaboración propia.

En la búsqueda de argumentos adicionales ante la discrepancia antes mencionada, se utilizó la prueba de Kruskal-Wallis para evaluar el comportamiento estadístico de la autoeficacia por grupo de edad. En esta prueba, se halló un valor de p=0.10, lo que confirma la hipótesis estadística que la edad no modifica la autoeficacia en un paciente post-infarto.

En la Figura 2 se evidencia una sutil variabilidad entre mujeres y hombres: las primeras presentaron, en general, niveles ligeramente más bajos de autoeficacia en comparación con los de los hombres.

Nivel de autoeficacia según el género.

Figura 2: Nivel de autoeficacia según el género.

Fuente: Elaboración

Sin embargo, hubo casos de hombres con bajo nivel de autoeficacia, etiquetados con código 120-17 y 78. No se observó una diferencia considerable en los niveles de autoeficacia entre hombres y mujeres, al reportar la prueba un valor de 0.783 con el uso de la prueba U de Mann-Whitney. Por tanto, el género no se consideró como un factor diferenciador del nivel de autoeficacia.

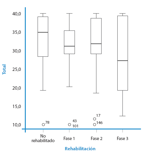
De acuerdo con la Figura 3, los pacientes no rehabilitados tendieron a mantener un nivel de autoeficacia general ligeramente mayor que el de aquellos rehabilitados. Se manifestó una diferencia de 5 puntos en la escala entre la mediana de la autoeficacia general de los no rehabilitados y la de los rehabilitados. Cabe anotar que se dieron casos de la muestra del grupo de rehabilitados con niveles de autoeficacia mínimos -puntajes entre 10 y 15, correspondientes a los códigos 43, 101, 146, 120-. Estos casos se consideraron outliers.

Nivel de autoeficacia en pacientes rehabilitados y no rehabilitados.

Figura 3: Nivel de autoeficacia en pacientes rehabilitados y no rehabilitados.

Fuente: Elaboración propia.

En la figura 4, respecto a las fases de rehabilitación cardíaca, el estudio mostró que el 59.7% de la muestra, correspondiente a 40 pacientes, asistió a las fases I y II, es decir, a la etapa de prevención secundaria. En la gráfica se demuestra una sutil variabilidad en las fases de la rehabilitación cardíaca con un nivel ligeramente menor que el de la autoeficacia. Pese a esto, se reafirmaron los niveles ligeramente más altos de autoeficacia de los pacientes que no asistieron a la rehabilitación cardíaca en relación con aquellos que sí fueron.

Autoeficacia según las fases de rehabilitación cardíaca.

Figura 4: Autoeficacia según las fases de rehabilitación cardíaca.

Fuente: Elaboración propia.

Se empleó la prueba de Kruskal-Wallis con el fin de buscar una vez más argumentos adicionales ante la discrepancia antes mencionada. De ese modo, se evaluó el comportamiento estadístico de la autoeficacia según las fases de rehabilitación. Los resultados mostraron un valor p=0.34, por lo que se exhibió el mismo nivel de autoeficacia en las distintas fases de rehabilitación cardíaca.

Correlaciones no paramétricas: hipótesis estadística

Se estableció una correlación entre R=autoeficacia en no rehabilitados y P=edad con el uso del coeficiente de Spearman. No se observó alguna correlación global entre la edad y la autoeficacia en pacientes no rehabilitados, siendo el valor de p=0.41. De igual manera, se estableció una correlación entre R=autoeficacia en rehabilitados y P=edad mediante el coeficiente de Spearman. Al respecto, se evidenció correlación global entre la edad y la autoeficacia en pacientes rehabilitados. Siendo el valor p=0.91, las variables no se relacionaron. Este resultado se debió al tamaño reducido de la muestra en la justificación del uso de la estadística descriptiva inferencial.

Discusión

La edad de los participantes de este estudio en fase del post-infarto al miocardio comprendió entre 35 y 65 años, con una media de 52, los cuales fueron datos similares a los de la investigación de Rubiera-Jiménez et al.22. En el último, se concluyó que se presentan casos de infarto al miocardio en las edades comprendida entre 51 y 60 años y que son más frecuentes en mujeres que en hombres.

Con respecto al nivel de autoeficacia y los datos obtenidos en este estudio, se observó un puntaje promedio de 32, equivalente a un nivel ligeramente alto de autoeficacia. En un estudio similar 23, la puntuación promedio de la autoeficacia general fue de 30.54, con una diferencia en la variable de género debido a desigualdades en la capacidad cardíaca y el umbral de fatiga. Además, en el mismo estudio, el nivel de autoeficacia se midió cuatro meses después del suceso cardíaco, lo que demostró mejor nivel de calidad de vida relacionada con la salud. Sin embargo, las personas con altos puntajes en las escalas de autoeficacia experimentaron sensaciones, por lo general, equiparadas con una buena calidad de vida, puesto que la autoeficacia puede ser una característica de la personalidad moldeable 24.

Por otra parte, la autoeficacia se asocia con conductas saludables y es determinante durante la rehabilitación cardíaca 25. Pero se ha evidenciado que el nivel de autoeficacia es afectado por fuentes de información como la retroalimentación fisiológica y se asegura que niveles bajos de autoeficacia se relacionan con el funcionamiento deficiente del corazón en pacientes con enfermedad coronaria 26.

Por lo tanto, un alto nivel de autoeficacia es vital a fin de prevenir la enfermedad cardiovascular, teniendo en cuenta los juicios, habilidades y capacidades de cada individuo para realizar una conducta exitosa y las expectativas de sus propias habilidades y aptitudes 27.

Autoeficacia y edad

Se demostró que la edad no influye en la determinación de la autoeficacia. Tampoco se manifestaron diferencias de acuerdo con los diferentes grupos de edad. Respecto a la edad, Arroyave & Cepeda 28 presentaron resultados similares en el análisis de individuos que recibieron tratamiento para el IAM: el 71% de la población correspondió a pacientes con promedio de edad de 59 años 29.

Autoeficacia y género

Esta investigación mostró una sutil variabilidad en la autoeficacia según el género. Los niveles fueron ligeramente más bajos en las mujeres que en los hombres -la mediana del primer grupo fue superior a la del segundo-. Los hombres se percibieron más autoeficaces que las mujeres con puntaciones alrededor de 35 según la escala de autoeficacia, es decir, se observó que los hombres eran capaces de enfrentarse a los cambios y comportamientos generados por el infarto al miocardio en una mayor medida en comparación con las mujeres.

En esta investigación hubo una diferencia significativa de acuerdo con la apreciación de la escala general de autoeficacia para hombres y mujeres, lo que es similar al contexto propuesto por Cerquera-Córdoba & Meléndez-Merchán 30. Estos investigadores plantearon que los hombres escudan los síntomas en otras áreas y no se manifiestan como comportamientos hacia sí mismos. Asimismo, la baja autoeficacia en mujeres se debe a una percepción latente de angustia y vulnerabilidad -aunque exista voluntad de lucha contra el miedo- sentimientos y reacciones que pueden aparecer después del alta hospitalaria luego de un infarto agudo de miocardio 31. Las mujeres presentan una actitud más flexible hacia el desempeño de actividades o roles comparadas con los hombres, comportamiento que no se refiere al constructo de la autoeficacia como tal. En cambio, los hombres consideran mantener cierto nivel de autoeficacia debido a la posibilidad de delegar funciones y apoyarse en ellas 32.

Autoeficacia y la asistencia a la rehabilitación cardíaca

De los 149 participantes en esta investigación, 67 asistieron a la rehabilitación cardíaca y 82 no lo hicieron. Este ausentismo considerable fue causado porque ninguna de las instituciones ubicadas en Girardot, epicentro de la investigación, ofrecía las fases I, II y III del programa de rehabilitación 33-35. Otra causa probable evidenciada por la literatura es la no remisión de los pacientes por parte del médico tratante 36. Al respecto, Cano et al.37 señalan que "la probabilidad de remisión a los programas de rehabilitación cardiaca es menor, si el enfermo es de mayor edad, presenta un infarto sin elevación del segmento ST y coinciden comorbilidades" (p10). En adición, los programas de rehabilitación cardíaca son poco frecuentados por los pacientes asociados a ingresos económicos a causa del desplazamiento a otras ciudades.

Los altos niveles de autoeficacia correspondieron a los pacientes no rehabilitados. Es posible que esto tuviera que ver con el aprendizaje obtenido en las sesiones educativas y el seguimiento realizado por la consulta de cardiología. Esto, gracias a diferentes fuentes de información como la persuasión verbal -información persuasiva dada por enfermeras, médicos y familiares- y la experiencia vicaria -modelada de las actividades realizadas por otras personas como los pacientes que se recuperan después de un infarto al miocardio-. Estas fuentes pueden presentarse en los procesos educativos que se desarrollan en la consulta de cardiología de la IPS de Girardot. Fuentes de información como la persuasión verbal y la experiencia vicaria demostraron que pueden generar mayor expectativa en los pacientes con enfermedad cardíaca, en comparación con otras fuentes 38.

Los pacientes rehabilitados, según los estudios 39, afirman que la autoeficacia se vincula con el comportamiento saludable y la actividad física, aspectos esenciales de la rehabilitación cardíaca con tendencia hacia la respuesta y control de los síntomas 40. No obstante, es evidente que las personas que asisten a la rehabilitación cardíaca están mejor preparadas y más motivadas para llevar a cabo la prevención secundaria que aquellos que no asisten al programa 41. A pesar de eso, en este estudio los pacientes no rehabilitados alcanzaron un nivel de autoeficacia ligeramente alto.

Conclusiones

Esta investigación, originada desde la enfermería, hizo una descripción de la autoeficacia en personas en situación de infarto agudo de miocardio y brindó bases conceptuales con el fin de formular investigaciones posteriores y estudios correlacionales. Además, a partir de los resultados, se pretende que los enfermeros reflexionen sobre la posibilidad de generar intervenciones orientadas a la prevención de conductas riesgosas, la promoción de comportamientos que beneficien la salud 42 e intervenciones que favorezcan el afrontamiento de la enfermedad.

En este sentido, vale la pena resaltar que los resultados de esta investigación invitan a los profesionales de enfermería a considerar los juicios, las decisiones y el nivel de autoeficacia de las personas en situaciones de salud de post-infarto y apoyar los cambios requeridos con la mayor asertividad para preservar la salud. El objetivo central de esta investigación no consistió en evaluar los programas de rehabilitación cardíaca; los resultados dejan ver la necesidad de implementar estrategias que contribuyan a reforzar la autoeficacia de las personas que asisten a los programas y, de esa manera, mejorar la adherencia a los mismos.

La autoeficacia se debe involucrar en la práctica de enfermería a fin de brindar un cuidado integral a los pacientes post-infarto agudo de miocardio, ya sea que haya asistido o no a programas de rehabilitación cardíaca. Por tanto, es de gran importancia acudir a las fuentes de información e intentar alimentar las expectativas de autoeficacia para que los pacientes realicen conductas saludables y obtengan resultados benéficos que ayuden a preservar la buena salud cardiovascular.

Acknowledgements

Agradecimientos

A la Facultad de Enfermería de la Universidad Nacional de Colombia, Sede Bogotá.

Referencias

  1. 1. Alsén P, Brink E, Persson LO, Brändström, Karlson B. Illness perceptions after myocardial infarction: relations to fatigue, emotional distress, and health-related quality of life. J Cardiovasc Nurs. 2010;25(2):E1-10. http://doi.org/f23fzd. [URL] 🠔
  2. 2. Eriksson M, Asplund K, Svedlund M. Couples' thoughts about and expectations of ir future life after the patient's hospital discharge following acute myocardial infarction. J Clin Nurs. 2010;19(23-24):3485-93. http://doi.org/bk8m5s. [URL] 🠔
  3. 3. Thombs BD, Bass EB, Ford DE, Stewart KJ, Tsilidis KK, Patel U, et al. Prevalence of depression in survivors of acute myocardial infarction. J Gen Intern Med. 2006;21(1):30-8. http://doi.org/cqv5xw. [URL] 🠔
  4. 4. Téllez-Vargas J. Depresión, ansiedad y enfermedad cardiovascular. Revista Avances. 2002;3(1):58-69. 🠔
  5. 5. Vargas-Toloza RE, Ordoñez-Pabón E, Montalvo-Miranda OE, Díaz-Torres VL. Calidad de vida relacionada con la salud de los pacientes postinfarto de miocardio. Rev Cien y Cuid. 2008;5(1):40-50. 🠔
  6. 6. Baldacchino D. Myocardial infarction: a turning point in meaning in life over time. Br J Nurs. 2011;20(2):107-14. http://doi.org/b8m8. [URL] 🠔
  7. 7. Alvarez ML, Gomes SW, Alvarez OD. Depresión como factor de riesgo en el post infarto. Rev. posgrado Vía. Cátedra Med. 2007;165(26):26-8. 🠔
  8. 8. Organización Mundial de la Salud. Estadísticas sanitarias mundiales 2011. Informe de un grupo científico de la OMS. Ginebra: OMS; 2011. Available from: http://goo.gl/AqZIa. [URL] 🠔
  9. 9. DANE. Bogotá D.C: DANE; 2013 [cited 2017 Jun 22]. Estadísticas vitales de Colombia 2013. Available from: Available from: https://goo.gl/DSH9bE . [URL] 🠔
  10. 10. Jaramillo-Naranjo N, Valencia-Muriel GI. Presencia de sintomatología ansiosa, depresiva o mixta (trastornos adaptativos) en un grupo de 20 mujeres con diagnóstico de cáncer de mama y en tratamiento oncológico. Pereira: Universidad Católica de Pereira; 2011. 🠔
  11. 11. Everett B, Salamonson Y, Davidson PM. Bandura's exercise self-efficacy scale: Validation in an Australian cardiac rehabilitation setting. Int J Nurs Stud. 2009;46(6): 824-9. http://doi.org/fqktzc. [URL] 🠔
  12. 12. De la Rosa LJ, Alayo-Jústiz I, Briñones-Ibarra I. Papel de la enfermera en la aplicación de una escala de medición de la autoeficacia para dejar de fumar. Rev Cubana Enfermer. 2003;19(3):3. 🠔
  13. 13. Contreras F, Espinosa JC, Esguerra GA. Calidad de vida, autoeficacia, estrategias de afrontamiento y adhesión al tratamiento en pacientes con insuficiencia renal crónica sometidos a hemodiálisis. Psicología y Salud. 2013;18(2):165-79. 🠔
  14. 14. Olivari C, Urra E. Autoeficacia y conductas de salud. Cienc. enferm. 2007;13(1):9-15. http://doi.org/b9dc99. [URL] 🠔
  15. 15. Bandura A. Modelo de Causalidad en la Teoría del Aprendizaje Social. In: Mahoney M, Freeman A. Cognición y Psicoterapia. Buenos Aires: Paidós; 1988. 🠔
  16. 16. Smith MJ, Liehr PR, editors. Middle range theory for nursing self-efficacy. New York: Springer; 2013. 🠔
  17. 17. Lamas M. La antropología feminista y la categoría "género". Nueva Antropología. 1996;8(30):97-125. 🠔
  18. 18. Grau R, Salanova M, Peiró JM. Efectos moduladores de la autoeficacia en el estrés laboral. Apuntes de Psicología. 2000;18(1):57-75. 🠔
  19. 19. Cid P, Orellana A, Barriga O. Validación de la escala de autoeficacia general en Chile. Rev.Méd. Chile. 2010;138(5):551-7. http://doi.org/czgzmg. [URL] 🠔
  20. 20. Cruz S. Instrumento de Autoeficacia General, validación Facial Girardot. Bogotá D.C.: Universidad de La Sabana; 2013. 🠔
  21. 21. Bäbler J, Schwarzer R. Evaluación de la autoeficacia: adaptación española de la escala de autoeficacia general. Ansiedad y Estrés. 1996;2(1):1-8. 🠔
  22. 22. Rubiera-Jiménez R, Lara-Negret A, Ramos NI, Palacio H, Vignier D. Síndrome coronario agudo. Caracterización clínico epidemiológica. A propósito de nuestro primer año. Revista Cubana de Medicina Intensiva y Emergencias. 2009;8(3). 🠔
  23. 23. Brink E, Alsén P, Herlitz J, Kjellgren K, Cliffordson C. General self-efficacy and health-related quality of life after myocardial infarction. Psychol Health Med. 2012;17(3):346-55. http://doi.org/fx4nnp. [URL] 🠔
  24. 24. Sarkar U, Ali S, Whooley MA. Self-efficacy as a marker of cardiac function and predictor of heart failure hospitalization and mortality in patients with stable coronary heart disease: findings from the Heart and Soul Study. Health Psychol. 2009;28(2):166-73. http://doi.org/c9c3br. [URL] 🠔
  25. 25. Berkhuysen MA, Nieuwland W, Buunk BP, Sanderman R, Rispens P. Change in self-efficacy during cardiac rehabilitation and the role of perceived overprotectiveness. Patient Educ Couns. 1999;38(1):21-32. 🠔
  26. 26. Sarkar U, Ali S, Whooley MA. Self-efficacy and health status in patients with coronary heart disease: findings from the heart and soul study. Psychosom Med. 2007;69(4):306-12. http://doi.org/b5kwxq. [URL] 🠔
  27. 27. Acuña-Gurrola M, González-Celis AL. Autoeficacia y red de apoyo social en adultos mayores. Journal of Behavior, Health & Social Issues. 2010;2(2):71-81. 🠔
  28. 28. Arroyave J, Cepeda M. Caracterización de la restenosis de stents coronarios convencionales y liberadores de medicamentos en pacientes incluidos en el registro Drug Eluting Stent (DREST). Rev Col Cardiol. 2012;19(3):121-31. http://doi.org/f2tdbt. [URL] 🠔
  29. 29. Sánchez N, Pérez J, Del Pino E, Martínez G, Suárez A, Guevara G. Caracterización por sexo de los pacientes con síndrome coronario agudo con elevación del segmento ST sometidos a intervencionismo coronario. Rev Cubana Cardiol Cir Cardiovasc. 2011;17(3):225-33. 🠔
  30. 30. Cerquera-Córdoba AM, Meléndez-Merchán C. Factores culturales asociados a las características diferenciales de la depresión a través del envejecimiento. Pensamiento Psicológico. 2010;7(14):63-71. 🠔
  31. 31. Jackson D, Daly J, Davidson P, Elliott D, Cameron-Traub E, Wade V, et al. Women recovering from first-time myocardial infarction (MI): a feminist qualitative study. J Adv Nurs. 2000;32(6):1403-11. http://doi.org/cz46bc. [URL] 🠔
  32. 32. Rocha-Sánchez TE, Ramírez RM. Identidades de género bajo una perspectiva multifactorial: Elementos que delimitan la percepción de autoeficacia en hombres y mujeres. Acta de Investigación Psicol. 2011;1(3):454-72. 🠔
  33. 33. Svedlund M, Axelsson I. Acute myocardial infarction in middle-aged women: narrations from the patients and their partners during rehabilitation. Intensive Crit Care Nurs. 2000;16(4):256-65. http://doi.org/bw34xn. [URL] 🠔
  34. 34. European Association of Cardiovascular Prevention and Rehabilitation Committee for Science Guidelines, Corrà U, Piepoli MF, Carré F, Heuschmann P, Hoffmann U. Secondary prevention through cardiac rehabilitation: physical counselling and exercise training: key components of the position paper from the Cardiac Rehabilitation Section of the European Association of Cardiovascular Prevention and Rehabilitation. Eur Heart J. 2010;31(16):1967-76. Htttp://doi.org/dkkzdx. 🠔
  35. 35. Giannuzzi P, Saner H, Bjornstad H, Fioretti P, Mendes M, Co-hen-Solal A, et al. Secondary prevention through cardiac rehabilitation: Position paper of the Working Group on Cardiac Rehabilitation and Exercise Physiology of the European Society of Cardiology. Eur Heart J . 2003;24(13):1273-8. http://doi.org/fc6r8j. [URL] 🠔
  36. 36. García-Porrero E, Andrés-Esteban E, De Pablo-Zarzosa C, León-Latre M. Cardiología preventiva y rehabilitación. Rev Esp Cardiol. 2010;63(Suppl 1):40-8. http://doi.org/fwshbf. [URL] 🠔
  37. 37. Cano R, Alguacil IM, Alonso JJ, Molero A, Miangolarra JC. Programas de rehabilitación cardiaca y calidad de vida relacionada con la salud. Situación actual. Rev Esp Cardiol . 2012;65(1):72-9. http://doi.org/d29fs6. [URL] 🠔
  38. 38. Parent N, Fortin F. A randomized, controlled trial of vicarious experience through peer support for male first-time cardiac surgery patients: impact on anxiety, self-efficacy expectation, and self-reported activity. Heart Lung. 2000;29(6):389-400. http://doi.org/b7x2hf. [URL] 🠔
  39. 39. Gillis CL, Gortner SR, Hauck WW, Shinn JA, Sparacino PA, Tom-pkins C. A randomized clinical trial of nursing care for recovery from cardiac surgery. Heart Lung . 1993;22(2):125-33. 🠔
  40. 40. Berkhuysen MA, Nieuwland W, Buunk BP, Sanderman R, Rispens P. Change in self-efficacy during cardiac rehabilitation and the role of perceived overprotectiveness. PatientEduc Couns. 1999;38(1):21-32. 🠔
  41. 41. Urzainqui-Senosiain L, Moro-Blázquez A, Ramos-Elvira C, García-Martí C, Portuondo-Maseda MT, Hernández T. Efecto de la rehabilitación cardiaca en la vivencia de la enfermedad tras el IAM. Enfermería en Cardiología. 2011;53:72-81. 🠔
  42. 42. Hernández D. Relación entre estados de salud y riesgos de no adherencia al tratamiento en pacientes en rehabilitación cardiaca. Av Enferm. 2015;33(1):114-23. http://doi.org/b8m9. [URL] 🠔

Ninguna declarada por los autores.