Revista de la Facultad de Medicina
0120-0011
Universidad Nacional de Colombia
https://doi.org/10.15446/revfacmed.v65n2.59595

Recibido: 16 de agosto de 2016; Aceptado: 13 de octubre de 2016

Intervención integral de ocho meses disminuye el peso y mejora los niveles de depresión y ansiedad en obesos severos y mórbidos

Comprehensive eight-month intervention reduces weight and improves depression and anxiety levels in severe and morbid obesity

A. Cofre-Lizama, 1P. Delgado-Floody, 2*P. Angulo-Díaz, 1D. Jerez-Mayorga, 3

Universidad Santo Tomás - Facultad de Ciencias Sociales - Escuela de Psicología - Programa de Tratamiento Integral de la Obesidad Mórbida - Temuco - Chile. Universidad Santo Tomás Universidad Santo Tomás Facultad de Ciencias Sociales Escuela de Psicología Temuco Colombia
Universidad de La Frontera - Departamento de Educación Física, Deportes y Recreación - Facultad de Educación, Ciencias Sociales y Humanidades - Temuco - Chile. Universidad de La Frontera Universidad de La Frontera Departamento de Educación Física, Deportes y Recreación Facultad de Educación, Ciencias Sociales y Humanidades Temuco Chile
Universidad Andres Bello - Facultad de Ciencias de la Rehabilitacion - Santiago - Chile. Universidad Andrés Bello Universidad Andres Bello Facultad de Ciencias de la Rehabilitacion Santiago Chile

Correspondencia: Pedro Delgado-Floody. Departamento de Educación Física, Deportes y Recreación, Universidad de La Frontera. Uruguay No. 1980. Teléfono: +56 45 2325206. Temuco. Chile. Correo electrónico: pedro.delgado@ufrontera.cl.

Resumen

Introducción.

La obesidad mórbida genera una disminución considerable de la expectativa y calidad de vida, según lo cual existen niveles aumentados de depresión y ansiedad.

Objetivo.

Determinar los efectos de un programa de tratamiento integral en la pérdida de peso y los niveles de ansiedad y depresión de obesos severos y mórbidos.

Materiales y métodos.

Se estudiaron 4 hombres y 12 mujeres de un promedio de 34 26 años, candidatos a cirugía bariátrica. 6 obesos severos y 10 pacientes con obesidad mórbida participaron en una intervención de tratamiento integral de 8 meses. Se evaluaron en preintervención y post intervención: peso, índice de masa corporal (IMC), contorno de la cintura, capacidad cardiorrespiratoria, ansiedad y depresión.

Resultados.

El peso y el IMC posterior a la intervención disminuyeron de forma significativa (p<0.001) en un 12.28% y 12.30%, respectivamente, el contorno cintura presentó una disminución de un 11.67% (p< 0.001). Además, la capacidad respiratoria mejoró bastante (p<0.001). Los síntomas ansiosos y depresivos disminuyeron de manera significativa (p<0.001).

Conclusión.

La intervención integral de 8 meses presenta beneficios significativos en la pérdida de peso de los participantes y en la mejora de los niveles de ansiedad y depresión. Por tal motivo, la intervención realizada puede recomendarse para el tratamiento de esta condición.

Palabras clave:

Ejercicio físico, Obesidad, Obesidad mórbida, Depresión, Ansiedad (DeCS).

Abstract

Introduction:

Morbid obesity generates a considerable decrease in expectations and quality of life, which causes increased levels of depression and anxiety.

Objective:

The purpose of this research was to determine the effects of a comprehensive treatment program on weight loss and anxiety and depression levels of severe and morbid obese patients.

Materials and methods:

4 men and 12 women with an average age of 34.0±26.0 years, and candidates for bariatric surgery were included in this study. 6 severe obese and 10 morbidly obese patients participated in a comprehensive eight-month treatment intervention. The following conditions were assessed pre- and post-intervention: weight, body mass index (BMI), waist circumference, cardiorespiratory capacity, anxiety and depression.

Results:

Postoperative weight and BMI decreased significantly (p< 0.001) by 12.28% and 12.30%, respectively, while waist circumference decreased by 11.67% (p< 0.001). In addition, respiratory capacity improved significantly (p< 0.001), and anxiety and depressive symptoms decreased significantly (p< 0.001).

Conclusion:

The comprehensive eight-month intervention had significant benefits for participants in weight loss and improved levels of anxiety and depression. For this reason, the intervention performed may be recommended for the treatment of this condition.

Keywords:

Exercise, Physical, Obesity, Morbid Obesity, Depression, Anxiety (MeSH).

Introducción

La obesidad mórbida presenta graves consecuencias en la salud por las comorbilidades asociadas y genera una disminución considerable de la expectativa de vida 1. La cirugía bariátrica demuestra ser efectiva para la reducción ponderal y comorbilidades asociadas, lo cual mejora la calidad de vida de manera notable 2-5. Sin embargo, es necesario considerar que entre mayor sea el peso preoperatorio, hay más probabilidad de aumentar la morbimortalidad 6 y, viceversa si el peso preoperatorio es óptimo 7. Además, es importante señalar que la cirugía no tendrá éxito sin un posterior cambio en el estilo de vida de los pacientes.

El papel de la actividad física en la optimización de los resultados de la cirugía bariátrica ha recibido cada vez más atención y se considera un complemento importante en el tratamiento de la obesidad severa 8. Esta ha sido un factor determinante en el mantenimiento a largo plazo de la pérdida de peso que le sigue a la cirugía bariátrica 9, lo cual evita la recuperación de peso y el retorno de comorbilidades asociadas a esta condición. Asimismo, es un contribuyente importante para la prevención o el tratamiento de trastornos psicológicos como la depresión y ansiedad y se relaciona con una mejor calidad de vida posterior 10. También puede servir como intermediario para mejorar la participación de los pacientes bariátricos en actividades sociales, a fin de reducir sus sentimientos de vergüenza y aumentar su confianza en sí mismo 11.

A su vez, existen varios métodos psicológicos para ayudar a perder peso en las personas que padecen sobrepeso u obesidad que pueden realizarse de forma individual o grupal 12 y tienen enfoque en la disminución de los síntomas ansiosos y depresivos, estados que propician que se coma en exceso 13-16.

Lo anterior crea la necesidad de determinar los efectos de intervenciones integrales, compuestas por actividad física y tratamiento psicológico, sobre variables nutricionales, físicas y psicológicas, lo cual busca proporcionar la realización personal e integración en la vida social de los pacientes como aspectos que una vez se les negó 17.

Así, el propósito de esta investigación fue determinar los efectos de un programa de tratamiento integral sobre la pérdida de peso y los niveles de ansiedad y depresión de obesos severos y mórbidos.

Materiales y métodos

La población está conformada por 4 hombres y 12 mujeres de un promedio de 34.0±26.0 años de edad, candidatos a cirugía bariátrica, 6 obesos severos y 10 con obesidad mórbida. La muestra es de tipo no probabilística, con sujetos elegidos de manera no aleatoria por conveniencia y que participaron en la intervención de forma voluntaria de abril a noviembre de 2015.

Para participar en el grupo de estudio, se estableció una asistencia mayor al 80% del total de 96 sesiones planificadas (>76 sesiones). De los 22 sujetos que iniciaron el programa, 16 cumplieron con las exigencias, mientras que los otros 6 se descartaron por no cumplir los requerimientos de la investigación (asistencia y evaluaciones).

En los criterios de inclusión se estableció que los sujetos debían tener entre 18 y 60 años de edad, un índice de masa corporal (IMC) ≥40 kg/m2 o ≥35 kg/m2 y comorbilidades como diabetes mellitus tipo II, hipertensión arterial, dislipidemia y resistencia a la insulina. También debían participar en el Programa de Tratamiento Integral de la Obesidad Mórbida de la Universidad Santo Tomás, tener habilitación médica para la práctica de ejercicio físico y no estar en programas previos de actividad física.

Por otro lado, los criterios de exclusión fueron: presentar limitaciones físicas para realizar ejercicios y patologías respiratorias, crónicas no transmisibles descompensadas o no controladas, enfermedades cardiacas crónicas con alguna agudización, lesiones o patologías en el sistema osteomioarticular que impidan la realización de ejercicios físicos y participación menor al 80% del total de sesiones del programa.

La investigación respetetó los acuerdos de la declaración de Helsinki (revisión de 2013) y contó con la aprobación del Comité de Ética de la Universidad Santo Tomás. Todo paciente firmó un consentimiento informado antes del estudio.

Procedimientos

Los pacientes se citaron durante un día para realizar las evaluaciones antropométricas preintervención entre las 8:00 y 10:00 de la mañana con ayuno ≥12. Las demás variables fueron medidas entre las 4:00 y 6:00 de la tarde. Las mediciones finales se realizaron 72 horas después de que se ejecutara la última sesión de ejercicios y se estableció el mismo orden usado en el pretest. Además, se informó a todos los sujetos que no modificaran sus hábitos de alimentación y actividad física durante la intervención.

Para evaluar la capacidad cardiorrespiratoria se utilizó el Test de la marcha de 6 minutos (6MWT), como prueba funcional cardiorrespiratoria que consiste en medir la distancia máxima que puede recorrer un sujeto durante 6 minutos 18, realizada, en este caso, dentro del gimnasio deportivo de la universidad.

La depresión se midió mediante el Inventario de la Depresión de Beck-II (BDI-II), que es un instrumento de autoinforme de 21 ítems que también evalúa la gravedad de la sintomatología depresiva. Este estudio usó la versión española del BDI-II 19. La ansiedad se midió a través del Inventario de Ansiedad Rasgo/Estado (STAI) 20, diseñado para evaluar dos formas relativamente independientes de la ansiedad que constituyen la ansiedad como estado (condición emocional transitoria) y como rasgo (propensión ansiosa relativamente estable).

La intervención psicológica se basó en el modelo transteórico de motivación al cambio, el cual sostiene que, en la mayoría de las personas, los cambios ocurren en forma gradual; además, se pasa de forma progresiva por las etapas de cambio (precontemplación, contemplación, preparación para la acción, acción y mantenimiento) y la psicoterapia cognitiva 21, lo cual promueve los procesos de regulación emocional y autobservación.

También se diseñó un programa de intervención orientado a la disminución de los síntomas ansiosos y depresivos en los participantes. Se identificó el nivel de la sintomatología ansiosa y depresiva en todos los participantes del programa para luego realizar entrevistas clínicas de motivación al cambio, de modo que se visualice el compromiso con el tratamiento y los cambios que deben realizar para mejorar su calidad de vida. Los participantes recibieron psicoeducación con una comprensión cognitiva de la obesidad, la sintomatología ansiosa y la depresiva.

Se utilizaron técnicas de regulación cognitiva, en especial la reevaluación 22, con lo cual se reinterpretó un evento emocional, llevando la mirada del paciente hacia la comprensión de su propio estilo afectivo y de las reglas de coherencia interna que constituyen el origen de la sintomatología clínica, proceso constante de autoobservación (metodología).Además, se tomaron en cuenta técnicas de reestructuración cognitiva, solución de problemas y relajación progresiva. Asimismo, se realizó una sesión grupal por semana con un total de 32 sesiones y una individual cada mes para un total de 8 sesiones.

Respecto al ejercicio, se aplicaron de 6 a 8 sesiones de sobrecarga para los grandes grupos musculares (flexores y extensores del antebrazo, flexores de tronco, pectorales, elevadores del hombro, extensores de rodilla y plantiflexores) y se ejecutaron tres series durante 60 segundos por cada una, con una intensidad que inducía fallo muscular al final de este periodo y con dos minutos de pausa entre series; por semana se aumentaron de 2kg a 4kg, lo cual permitió que los sujetos llegaran al minuto de ejercicio con fallo muscular. Después de 2 meses, los tiempos de descanso fueron 1.5 minutos hasta el cuarto mes y, después, solo 1 min hasta finalizar la intervención. Cada sesión incluyó 10 minutos de un calentamiento que consistió en carrera continua, ejercicios de locomoción y movilidad articular, desplazamientos laterales y elongación. Al finalizar la fase principal, se realizó un enfriamiento y estiramiento post sesión. Las actividades se realizaron en forma grupal, tres veces por semana, en dependencias de la Universidad Santo Tomás.

Análisis estadístico

Las variables se expresaron como frecuencias, porcentajes, media y desviación estándar. Para evaluar la normalidad de variables se realizó la prueba Shapiro Wilk. Para la comparación de las variables paramétricas cuantitativas se utilizó el test t-Student y en el caso de variables no paramétricas se utilizó la prueba de Wilcoxon. Todos los análisis se realizaron con el programa SPSS, versión 23.0. Se utilizó un margen de error del 5% (p< 0,05).

Resultados

En la Tabla 1 se aprecia que de los 10 sujetos que iniciaron como obesos morbidos (62.5%), solo 5 mantuvieron esta condición, los otros 5 redujeron su valores y al final de la intervención terminaron con obesidad severa.

Tabla 1: Número de obesos mórbidos y severos. Datos presentados como frecuencias y porcentajes.

Fuente: Elaboración propia.

El peso y el IMC posterior a la intervención disminuyeron de forma significativa (p<0.001) en un 12.28% y 12.30%, respectivamente. El contorno de cintura (CC) presentó una disminución del 11.67% (Tabla 2).

Tabla 2: Variaciones antropométricas. Datos presentados como media ± desviación estándar.

Fuente: Elaboración propia.

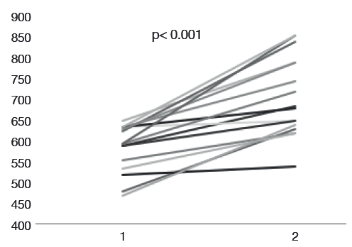
En la Figura 1 se aprecia el incremento de la capacidad cardiorrespiratoria de cada paciente medida a través del 6MWT.

Variaciones por paciente entre preintervención= 1 y post-internación= 2 en el 6MWT (test de seis minutos), según la distancia recorrida en metros.

Figura 1: Variaciones por paciente entre preintervención= 1 y post-internación= 2 en el 6MWT (test de seis minutos), según la distancia recorrida en metros.

Fuente: Elaboración propia.

Los síntomas ansiosos y depresivos disminuyeron de manera significativa (p<0.001), lo cual mejoró sus niveles en todos los pacientes (Figura 2).

Variación en los niveles de ansiedad según estado, rasgo y depresión. Valores presentados como media en pre y post-intervención.

Figura 2: Variación en los niveles de ansiedad según estado, rasgo y depresión. Valores presentados como media en pre y post-intervención.

Fuente: Elaboración propia.

Discusiones

Los principales hallazgos del estudio fueron la disminución de los síntomas ansiosos y depresivos, y el incremento de la capacidad cardiorrespiratoria y la mejora de las variables antropométricas. El peso presentó una disminución significativa de un 12.28% y un promedio de 14.34kg (Tabla 1), valores superiores a los reportados por Sánchez et al.23, en cuyo estudio existió una disminución promedio de 5.17kg en pacientes obesos mórbidos pendientes de cirugía, para lo cual se aplicó un programa de 2 meses con ejercicio de intensidad moderada, pero sin tratamiento integral.

Un estudio realizado durante 3 meses en obesos mórbidos y con comorbilidades donde se aplicaron ejercicios con intervalos similares a la metodología utilizada en la presente investigación obtuvo una disminución de 1.41kg 24, valor inferior al aquí encontrado, lo que podría ser resultado del mayor tiempo de adaptación y tratamiento. Al comparar los resultados con una investigación de 6 meses de duración, la cual aplicó ejercicio físico aeróbico, se observó una disminución de 5.3kg 25, como valor inferior. La disminución del peso antes de la cirugía bariátrica se asocia a una reducción notable del riesgo de complicaciones post-operatorias 26 y a mejoras en la morfología y en la función cardíaca, así como a una disminución en los factores de riesgo cardiovasculares 27.

En el presente estudio, el CC disminuyó en 15.37cm, con promedio 11.67%, lo cual mejoró las condiciones y la salud de los participantes. Estos resultados son superiores a los reportados por una investigación de mujeres candidatas a cirugía bariátrica (7.57cm) 28 y a un estudio que realizó una intervención en el estilo de vida de obesos severos, la cual implicó una dieta combinada con actividad física que obtuvo cambios favorables en los factores de riesgo cardiometabólico 29. Estos resultados son relevantes en la investigación debido a que el exceso de masa grasa abdominal y visceral está considerado en los estudios epidemiológicos como uno de los más importantes factores de riesgo de enfermedad cardiovascular 30,31, por lo que la disminución del CC debe ser un objetivo importante en los programas de intervención para este tipo de pacientes.

Los resultados muestran un efecto positivo del tratamiento psicológico, mostrando que se logra la reducción de sintomatología en todas las dimensiones evaluadas (depresión y ansiedad). De esta forma, es posible plantear cambios psicológicos en dichos pacientes, sobre todo en su estilo de vida y forma de enfrentarse a la enfermedad 32. Los síntomas depresivos disminuyeron de forma significativa (p<0.001) luego del tratamiento psicológico realizado, lo cual indica resultados similares a los encontrados por Delgado et al. en 4 meses de tratamiento 33. A su vez, se demostró que la pérdida de peso disminuye los síntomas depresivos 34.

De igual manera, los síntomas ansiosos disminuyeron bastante después del tratamiento de ocho meses (Figura 2), contrario a un estudio de obesos sometidos a cirugía bariátrica 35. Esto es un indicador relevante, pues la evidencia científica disponible sobre obesidad y su relación con trastornos ansiosos genera contradicciones 36-38. Además, los procesos psicoterapéuticos orientados al trabajo de las cogniciones, emotividad, subjetividad y motivación al cambio son importantes para el trabajo con esta población.

Conclusión

La intervención integral de 8 meses de duración permitió mejorar los síntomas ansiosos y depresivos de los pacientes, lo que aumentó su capacidad cardiorrespiratoria y generó una pérdida de peso significativa de un 12%. Las actividades no presentaron efectos adversos para la salud de los participantes, por lo tanto, la intervención es recomendable para el tratamiento preoperatorio de esta condición.

Las principales limitaciones del estudio fueron el bajo número de pacientes y de variables de estudio, por lo que se proyecta, para futuras investigaciones, aumentar ambas y desarrollar un perfil más amplio de tratamiento para esta condición.

Referencias

  1. 1. Fontaine KR, Redden DT, Wang C, Westfall AO, Allison DB. Years of life lost due to obesity. JAMA. 2003;289(2):187-93. 🠔
  2. 2. Gavira M, Vílchez FJ, Cayón M., García A, Escobar L, Mayo MA, et al. Efecto del bypass gástrico sobre el riesgo cardiovascular y la calidad de vida en pacientes con obesidad mórbida. Nutr Hosp. 2014;29(3):508-12. http://doi.org/b84g. [URL] 🠔
  3. 3. Carvajal J, García MM, Oliart S., Camuñas J., Peña L, Fernández P, et al. Bypass gástrico en el tratamiento de la obesidad mórbida y la superobesidad: estudio comparativo. Nutr Hosp . 2007;22(5):607-11. 🠔
  4. 4. Csendes A, Burdiles P, Papapietro K, Burgos AM. Comparación del tratamiento médico y quirúrgico en pacientes con obesidad grado III (obesidad mórbida). Rev. méd. Chile. 2009;137:559-66. http://doi.org/ckw7kd. [URL] 🠔
  5. 5. Pouwels S, Wit M, Teijink JA, Nienhuijs SW. Aspects of Exercise before or after Bariatric Surgery: A Systematic Review. Obes Facts. 2015;8(2):132-46. http://doi.org/f68wc7. [URL] 🠔
  6. 6. Lanzarini E, Marambio A, Fernández L, Lasnibat J, Jans J, Díaz E, et al. Hiperobesidad y obesidad mórbida: estudio comparativo. Rev Chil Cir. 2012;64(3):233-7. http://doi.org/b84h. [URL] 🠔
  7. 7. Anderin C, Gustafsson UO, Heijbel N, Thorell A. Weight loss before bariatric surgery and postoperative complications: data from the Scandinavian Obesity Registry (SOReg). Ann Surg. 2015;261(5):909-13. http://doi.org/f3pffj. [URL] 🠔
  8. 8. Herman KM, Carver TE, Christou NV, Andersen RE. Keeping the weight off: Physical activity, sitting time, and weight loss maintenance in bariatric surgery patients 2 to 16 years postsurgery. Obes Surg. 2014;24(7):1064-72. http://doi.org/f557r4. [URL] 🠔
  9. 9. Moya M, Hernández A, Sarabia JM, Sánchez MA, Hernández JL, López R, et al. Bariatric surgery, weight loss and the role of physical activity: a systematic review. Eur. J. Hum. Mov. 2014;32:145-60. 🠔
  10. 10. King WC, Kalarchian MA, Steffen KJ, Wolfe BM, Elder KA, Mitchell JE. Associations between physical activity and mental health among bariatric surgical candidates. J Psychom Res. 2013;74(2):161-9. 🠔
  11. 11. Wiklund M, Fagevik M, Olbers T, Willén C. Experiences of physical activity one year after bariatric surgery. Open Obes J. 2014;6(1):25-30. 🠔
  12. 12. Shaw K, O'Rourke P, Del Mar C, Kenardy J. (2005). Psychological interventions for overweigth. Cochrane Database Syst Rev. 2005;(2):CD003818. http://doi.org/cf9q4g. [URL] 🠔
  13. 13. Godoy FA. Sintomatología de depresión, ansiedad y baja autoestima en mujeres obesas con trastorno del comedor compulsivo. Rev. chil. nutr. 2014;41(3):260-3. 🠔
  14. 14. Abilés V, Rodríguez-Ruiz S, Abilés J, Mellado C, García A, Pérez de la Cruz A, et al. Psychological characteristics of morbidly obese candidates for bariatric surgery. Obes Surg . 2010;20(2):161-7. http://doi.org/b3grrh. [URL] 🠔
  15. 15. Black DW, Goldstein BR, Mason EE. Psychiatric diagnosis and weight loss following gastric surgery for obesity. Obes Surg . 2003;13(5):746-51. http://doi.org/d86vrs. [URL] 🠔
  16. 16. Ríos BP, Rangel GA, Álvarez R, Castillo FA, Ramírez G, Pantoja JP, et al. Ansiedad, depresión y calidad de vida en el paciente obeso. Acta Med Gpo Ang. 2008;6(4):147-53. 🠔
  17. 17. Souza E, Comassetto I, Mancussi AC. Experience of morbid obese individual submitted to bariatric surgery. Rev. Sobecc. 2015;20(1):9-16. 🠔
  18. 18. ATS Committee on Proficiency Standards for Clinical Pulmonary Function Laboratories. ATS Statement: guidelines for the six-minute walk Test. Am J Respir Crit Care Med. 2002;166:111-7. http://doi.org/b853. [URL] 🠔
  19. 19. Sanz J, Perdigón LA, Vázquez C. Adaptación española del Inventario para la Depresión de Beck-II (BDI-II): 2. Propiedades psicométricas en población general. Clínica y Salud. 2003;14(3):249-80. 🠔
  20. 20. Spielberger CD, Gorsuch RL, Lushene RE. Manual del Inventario de Ansiedad Estado-Rasgo. Madrid: TEA; 1982. 🠔
  21. 21. Guidano VF. Psicoterapia: Aspectos metodológicos, cuestiones clínicas y problemas abiertos desde una perspectiva post-racionalista. Revista de Psicoterapia. 1999;10(37):95-105. 🠔
  22. 22. Ochsner K, Gross J. The cognitive control of emotion. Trends Cogn Sci. 2005;9(5):242-9. 🠔
  23. 23. Sánchez L, Sánchez C, García AA. Valoración de un programa de ejercicio físico estructurado en pacientes con obesidad mórbida pendientes de cirugía bariátrica. Nutr. Hosp. 2014;29(1):64-72. 🠔
  24. 24. Delgado P, Jerez D, Caamaño F, Osorio A, Thuillier N, Alarcón M. Doce semanas de ejercicio físico intervalado con sobrecarga mejora las variables antropométricas de obesos mórbidos y obesos con comorbilidades postulantes a cirugía bariátrica. Nutr Hosp . 2015;32(5):2007-11. 🠔
  25. 25. Marcon E, Gus I, Neumann C. Impacto de um programa mínimo de exercícios físicos supervisionados no risco cardiometabólico de pacientes com obesidade mórbida. Arq Bras Endocrinol Metab. 2011;55(5):331-8. http://doi.org/d2wtbs. [URL] 🠔
  26. 26. Anderin C, Gustafsson UO, Heijbel N, Thorell A. Weight loss before bariatric surgery and postoperative complications: data from the Scandinavian Obesity Registry (SOReg). Ann Surg . 2015;261(5):909-13. http://doi.org/f3pffj. [URL] 🠔
  27. 27. Rueda-Clausen CF, Ogunleye AA, Sharma AM. Health Benefits of Long-Term Weight-Loss Maintenance. Annu Rev Nutr. 2015;35:475-516. http://doi.org/b9jc. [URL] 🠔
  28. 28. Delgado P, Jerez D, Caamaño F, Concha M, Ovalle H, Osorio A. Efectividad del tratamiento integral sobre las condiciones preoperatorias de mujeres obesas candidatas a cirugía bariátrica. Nutr Hosp . 2015;32(6):2570-5. 🠔
  29. 29. Goodpaster BH, Delany JP, Otto AD, Kuller L, Vockley J, South-Paul JE, et al. Effects of diet and physical activity interventions on weight loss and cardiometabolic risk factors in severely obese adults: a randomized trial. JAMA. 2010;304(16):1795-802. http://doi.org/bc3dbx. [URL] 🠔
  30. 30. Després JP, Lemieux I, Bergeron J, Pibarot P, Mathieu P, Larose E, et al. Abdominal obesity and the metabolic syndrome: contribution to global cardiometabolic risk. Arterioscler Thromb Vasc Biol. 2008;28(6):1039-49. http://doi.org/b5kv9c. [URL] 🠔
  31. 31. Sung RY, Yu CC, Choi KC, McManus A, Li AM, Xu SL, et al. Waist circumference and body mass index in Chinese children: cutoff values for predicting cardiovascular risk factors. Int J Obes. 2007;31(3):550-8. 🠔
  32. 32. Larrañaga A, García R. Tratamiento psicológico de la obesidad. Med clin. 2007;129(10):387-91. http://doi.org/czm6w6. [URL] 🠔
  33. 33. Delgado P, Cofré A, Alarcón M, Osorio A, Caamaño N, Jerez D. Evaluación de un programa integral de cuatro meses de duración sobre las condiciones preoperatorias de pacientes obesos candidatos a cirugía bariátrica. Nutr Hosp . 2015;32(3):1022-7. 🠔
  34. 34. Teixeira PJ, Going SB, Houtkooper LB, Cussler EC, Metcalfe LL, Blew RM, et al. Pretreatment predictors of attrition and successful weight management in women. International journal of obesity and related metabolic disorders. Int J Obes Relat Metab Disord. 2004;28(9):1124-33. 🠔
  35. 35. Rojas C, Brante M, Miranda E, Pérez R. Descripción de manifestaciones ansiosas, depresivas y auto concepto en pacientes obesos mórbidos, sometidos a cirugía bariátrica. Rev med Chile. 2011;139(5):571-8. http://doi.org/dt88q7. [URL] 🠔
  36. 36. Cassinello N, Fernández R, Álvarez S, Baguena M, Ortega J. Valoración de la imagen corporal y cambios de expectativas en los pacientes sometidos a by-pass gástrico. Nutr Hosp . 2007;22(2):254-67. 🠔
  37. 37. Rivenes A, Harvey SB, Mykletun A. The relationship between abdominal fat, obesity, and common mental disorders: results from the HUNT study. J Psychosom Res. 2009;66(4):269-75. http://doi.org/fwc5f9. [URL] 🠔
  38. 38. Guisado JA, Vaz FJ, Rubio MA. Diferencias psicológicas en pacientes con obesidad mórbida tras cirugía gástrica. Rev Psiquiatria Fac Med Barna. 2002;29(4):213-7 🠔