Revista de la Facultad de Medicina
0120-0011
Universidad Nacional de Colombia
https://doi.org/10.15446/revfacmed.v68n4.79702

Recibido: 15 de mayo de 2019; Aceptado: 15 de agosto de 2019

Factores de riesgo de parto pretérmino en Bogotá D.C., Colombia

Risk factors for preterm birth in Bogota D.C., Colombia

J. Ahumada, 1 A. Barrera, 1 D. Canosa, 1 L. Cárdenas, 1 M. Uriel, 12 E. Ibáñez, 3 X. Romero, 12*

Universidad El Bosque - Facultad de Medicina - Especialización en Medicina Materno-Fetal - Bogotá D.C. - Colombia. Universidad El Bosque Universidad El Bosque Facultad de Medicina Bogotá D.C. Colombia
Ecodiagnóstico El Bosque SAS - Unidad de Medicina Materno Fetal - Bogotá D.C. - Colombia. Ecodiagnóstico El Bosque SAS Bogotá D.C. Colombia
Universidad El Bosque - Facultad de Medicina - Área Comunitaria - Grupo de Investigación Medicina Comunitaria y Salud Colectiva - Bogotá D.C. - Colombia. Universidad El Bosque Universidad El Bosque Facultad de Medicina Bogotá D.C. Colombia

Ximena Carolina Romero. Facultad de Medicina, Universidad El Bosque. Avenida Carrera. 9 No. 131A-02. Teléfono +57 1 6489000, ext.: 1344. Bogotá D.C. Colombia. Correo electrónico: romeroximena@unbosque.edu.co.

Resumen

Introducción.

El parto pretérmino es aquel que ocurre antes de la semana 37 de gestación. Este tipo de parto se asocia a múltiples factores de riesgo, algunos de los cuales pueden ser prevenidos. En Colombia son escasos los estudios sobre los factores de riesgo asociados al parto pretérmino, de ahí la importancia de su análisis.

Objetivo.

Identificar los factores de riesgo para parto pretérmino en un grupo de gestantes de Bogotá D.C., Colombia.

Materiales y métodos.

Estudio de cohorte retrospectivo. La muestra estuvo compuesta por 452 pacientes que habían participado en un estudio primario y que ya habían dado a luz.

Resultados.

La incidencia de parto pretérmino fue de 10.40% (IC95%: 7.60-13.20) y los factores de riesgo asociados fueron los siguientes: ser diagnosticada con preeclampsia severa, con un riesgo relativo (RR) de 7.47 (IC95%: 4.59-11.95); tener preeclampsia (severa y no severa), con un RR=5.05 (IC95%: 3.0-8.51), y ocurrencia de restricción del crecimiento intrauterino (RCIU), con un RR=4.40 (IC95%: 2.44-7.98).

Conclusiones.

De acuerdo con los hallazgos reportados en el presente estudio, es necesario planear e implementar estrategias y políticas públicas en Bogotá D.C. que promuevan mejores prácticas de atención prenatal que, a su vez, permitan la detección temprana de condiciones como la preeclampsia y la RCIU, lo que hará posible reducir la incidencia de partos pretérmino en la ciudad y utilizar la experiencia y resultados obtenidos en el resto del país.

Palabras clave:

Parto pretérmino, Factores de riesgo, Embarazo, Incidencia (DeCS).

Abstract

Introduction:

A preterm birth occurs before the 37th week of pregnancy. It is associated with multiple risk factors, some of which can be prevented. In Colombia, few studies have addressed the risks factors associated with preterm birth, hence the importance of analyzing them.

Objective:

To identify risk factors for preterm birth in a population of pregnant women in Bogotá D.C., Colombia.

Materials and methods:

Retrospective cohort study. The sample was composed of 452 patients who had participated in a primary study and had already given birth.

Results:

The incidence of preterm birth was 10.40% (95%CI: 7.60-13.20). The following risk factors associated with preterm delivery were found: being diagnosed with severe preeclampsia, with a relative risk (RR)=7.47 (95%CI: 4.59-11.95); having preeclampsia (severe and non-severe), with a RR=5.05 (95%CI: 3.0-8.51); and occurrence of intrauterine growth restriction (IUGR), with a RR=4.40 (95%CI: 2.44-7.98).

Conclusions:

According to the findings reported in this study, it is necessary to plan and implement strategies and public policies in Bogotá D.C. that promote better prenatal care practices that, in turn, allow the early detection of conditions such as preeclampsia and IUGR. This will reduce the incidence of preterm birth in the city and will allow using the experience and results obtained here in the rest of the country.

Keywords:

Preterm Birth, Risk Factors, Pregnancy, Incidence (MeSH).

Introducción

La Organización Mundial de la Salud1 (OMS) define el parto pretérmino (PP) como aquel que se presenta antes de la semana 37 de gestación y lo considera un problema obstétrico dada su prevalencia, pues a nivel mundial 1 de cada 10 nacidos vivos son prematuros. Los PP en Colombia alcanzan porcentajes de entre el 7% y el 12% y causan morbimortalidad hasta en el 80% de los casos.2

Los factores de riesgo asociados a este tipo de parto pueden ser personales o sociales y abarcan desde aspectos socioeconómicos y culturales, hasta netamente biológicos,2-4 algunos de los cuales pueden ser prevenidos.

Los PP generan múltiples complicaciones en los sistemas cardiopulmonar, neurológico, gastrointestinal, visual, auditivo y comportamental de los recién nacidos y por tanto son un reto médico y una problemática para la familia, la sociedad y la economía de cada país, de ahí la relevancia de abordar este tema.4-6

En este contexto, el presente estudio tuvo como objetivo identificar los factores de riesgo para PP en un grupo de gestantes de Bogotá D.C., Colombia, esto con el fin de determinar cuáles se pueden evitar, y así generar medidas de prevención que disminuyan su incidencia y, de este modo, sus complicaciones.

Materiales y métodos

Estudio retrospectivo realizado en una población de gestantes que habían sido atendidas entre octubre de 2014 y mayo de 2018 en tres centros de control prenatal en Bogotá D.C. y que habían participado en el estudio primario "Validez diagnóstica de las pruebas predictoras de preeclampsia y restricción de crecimiento intrauterino en gestantes colombianas. Estudio multicéntrico. Una propuesta para la disminución de la morbilidad y mortalidad materna y perinatal en Colombia". Los centros de atención fueron Ecodiagnóstico El Bosque SAS (entidad privada), Clínica El Bosque (entidad privada con atención a pacientes afiliados al régimen contributivo de salud) y Unidad de Servicio Salud Occidente de Kennedy (antiguo Hospital de Kennedy y entidad pública con atención a pacientes afiliados al régimen subsidiado de salud y desafiliados).

La muestra estuvo constituida por 452 pacientes y para su selección se tuvieron en cuenta las gestantes mayores de 14 años que ya habían dado a luz y cuyos hijos no tuvieran malformaciones congénitas.

Los PP se clasificaron en dos: parto muy pretérmino (de 28 a 31.6 semanas) y PP tardío (de 32 a 36.6 semanas).1

Las variables que se tuvieron en cuenta para determinar los factores de riesgo fueron las siguientes: edad, índice de masa corporal (IMC) en los tres trimestres, raza, nivel socioeconómico, consumo de sustancias psicoactivas, paridad, diagnóstico de preeclampsia (severa y no severa), restricción del crecimiento intrauterino (RCIU), infecciones durante la gestación, embarazo único o múltiple, y antecedente de hábito tabáquico, anemia, enfermedades crónicas maternas, PP o aborto.

Los datos se recolectaron mediante muestreo consecutivo utilizando un formato diseñado por los investigadores, se digitaron en una base de datos del programa Microsoft Excel versión 2011 y se analizaron en el programa SPSS (Statistical Package for the Social Sciences) versión 24. Las variables cualitativas se analizaron mediante frecuencias y porcentajes y las cuantitativas, mediante promedios, medianas y desviaciones estándar. Para determinar la asociación entre los factores de riesgo identificados y los PP se utilizó la prueba Chi cuadrado de Pearson; asimismo se calculó el riesgo relativo (RR) con sus respectivos intervalos de confianza al 95% (IC95%). Para controlar la confusión e interacción se utilizó un modelo de regresión de Cox en el que se incluyeron los factores de riesgo para PP y el tiempo de gestación hasta el evento, y como medida de riesgo se utilizó el hazard ratio (HR). El nivel de significancia fue 0.05.

Asimismo, los sesgos de selección se controlaron realizando un estudio piloto que tomó el 26% del total de gestantes de la muestra del estudio y valoró la validez aparente y de contenido; la información digitada en la base de datos fue verificada por dos investigadores diferentes. A partir de esta prueba se establecieron medidas para mejorar los protocolos diseñados para la recolección de los datos y para garantizar que los investigadores se ciñeran a estos.

El estudio tuvo en cuenta los principios éticos para las investigaciones médicas en seres humanos establecidos por la Declaración de Helsinki7 y las disposiciones sobre investigación en salud de la Resolución 8430 de 19938 del Ministerio de Salud de Colombia, y fue avalado por el Comité Institucional de Ética en Investigaciones de la Universidad El Bosque según acta de aprobación No. 006-2014. Para la recolección de los datos se contó con el consentimiento informado de las participantes.

Resultados

La edad gestacional promedio de las participantes al momento del parto fue 38.4 semanas, con una mínima de 28.2 y una máxima de 43.1. El 89.60% (n=405) tuvo parto a término y el 10.40% restante (n=47), PP; de esta forma, la incidencia de PP fue del 10.40% (IC95%: 7.60-13.20).

Ninguno de los PP se presentó entre las semanas 22 y 27.6 de gestación; 7 (1.55%; IC95%: 0.40-7.70) fueron entre las semanas 28 y 31.6, y 40 (8.85%; IC95%: 6.20-11.50), entre las semanas 32 y 36.6. Las características generales de la muestra se presentan en la Tabla 1.

Tabla 1: Características generales de la población estudiada (n=452).

Factor Resultado
Edad materna (años) Promedio 27.3
Mínima 14
Máxima 44
Edad gestacional (semanas) Promedio 38.4
Mínima 28.2
Máxima 43.1
IMC 1° trimestre Promedio 24.7
Mínimo 16.7
Máximo 40.5
IMC 2° trimestre Promedio 26.05
Mínimo 17
Máximo 41
IMC 3° trimestre Promedio 27.8
Mínimo 18.9
Máximo 44.1
Raza Caucásico 8 (1.77%)
Afroamericano 7 (1.55%)
Asiático 0 (0%)
Mestizo 437 (96.68%)
Nivel socioeconómico Alto 21 (4.65%)
Bajo 210 (46.46%)
Medio 221 (48.89%)
Hábito tabáquico 34 (7.52%)
No 418 (92.48%)
Consumo de sustancias psicoactivas 17 (3.76%)
No 435 (96.24%)
Antecedente de aborto 121 (26.77%)
No 331 (73.23%)
Antecedente de parto pretérmino * 37 (8.19%)
No 415 (91.81%)
Antecedente de parto pretérmino semanas 24-33.6 14 (3.10%)
No 437 (96.90%)
Antecedente de parto pretérmino semanas 34-36.6 23 (5.09%)
No 429 (94.91%)
Paridad Multigestante 285 (63.05%)
Primigestante 167 (36.95%)
Antecedente de patología crónica materna † 176 (38.94%)
No 276 (61.06%)
Embarazo múltiple actual 3 (0.66%)
No 449 (99.34%)
Infecciones durante la gestación actual 24 (5.31%)
No 428 (94.69%)
Anemia durante la gestación actual 7 (1.55%)
No 445 (98.45%)
Diagnóstico de preeclampsia 35 (7.74%)
No 417 (92.26%)
Diagnóstico de preeclampsia severa 20 (4.42%)
No 432 (95.58%)
Diagnóstico de restricción del crecimiento intrauterino 24 (5.31%)
No 428 (94.69%)

IMC: índice de masa corporal.

* Una de las pacientes tuvo antecedente de parto pretérmino en ambos grupos, tanto en el de las semanas 24-33.6 como en el de las 34-36.6.

† Se establecieron como antecedentes de patología crónica materna las siguientes enfermedades: diabetes mellitus, hipertensión arterial crónica, lupus eritematoso sistémico, síndrome antifosfolípido, enfermedad renal crónica, hipotiroidismo, artritis reumatoide, estreñimiento crónico y colon irritable.

Fuente: Elaboración propia.

Las variables estadísticamente significativas para PP general (semanas 28-36.6) y PP tardío (semanas 3236.6) fueron haber sido diagnosticada con preeclampsia (severa y no severa) y presentar RCIU, y para parto muy pretérmino (semanas 28-31.6), tener anemia o antecedente de PP en las semanas 24 a 36.6 o en las semanas 34 a 36.6 y haber sido diagnosticada con preeclampsia (severa y no severa) (Tabla 2).

Tabla 2: Variables significativas para parto pretérmino por grupos gestacionales.

x̄ : media; a: desviación estándar; IMC: índice de masa corporal.

* Nivel de significancia p<0.01.

† Nivel de significancia p<0.05.

‡ Se establecieron como antecedente de patología crónica materna las siguientes enfermedades: diabetes mellitus, hipertensión arterial crónica, lupus eritematoso sistémico, síndrome antifosfolípido, enfermedad renal crónica, hipotiroidismo, artritis reumatoide, estreñimiento crónico y colon irritable.

Fuente: Elaboración propia.

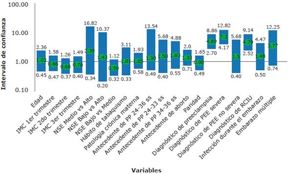
Los factores de riesgo asociados a PP fueron haber sido diagnosticada con preeclampsia severa durante la gestación, con un RR=7.47 (IC95%: 4.59-11.95, p=0.000); haber sido diagnosticada con preeclampsia (severa y no severa), con un RR=5.05 (IC95%: 3.00-7.8.51, p=0.000), y presentar RCIU durante la gestación actual, con un RR=4.40 (IC95%: 2.44-7.98, p=0.000) (Figura 1). Al controlar la confusión e interacción de los factores de riesgo; se ratificó el diagnóstico de preeclampsia y la RCIU durante la gestación actual como factores de riesgo asociados a PP con un HR de 7.15 (IC95%: 3.17-15.88, p=0.000) y de 4.26 (IC95%: 1.90-9.53, p=0.000), respectivamente.

Riesgo relativo de las variables a comparar entre el grupo de gestantes con parto pretérmino (semana 28-36.6) y el de gestantes con parto a término.

Figura 1: Riesgo relativo de las variables a comparar entre el grupo de gestantes con parto pretérmino (semana 28-36.6) y el de gestantes con parto a término.

IMC: índice de masa corporal; NSE: nivel socioeconómico; PP: parto pretérmino; SS: semanas; PEE: preeclampsia; RCIU: restricción del crecimiento intrauterino. ▮ Intervalo de confianza. • Riesgo relativo. Fuente: Elaboración propia.

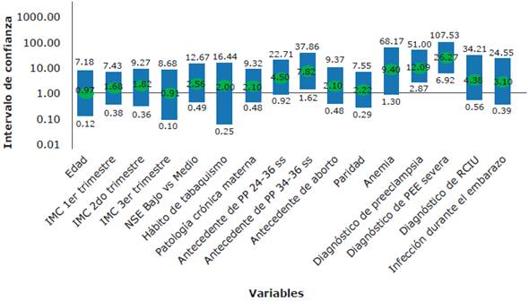
Los factores de riesgo asociados a parto muy pretérmino fueron haber sido diagnosticada con preeclampsia severa durante la gestación, con un RR=26.27 (IC95%: 6.92-107.53, p=0.000); haber sido diagnosticada con preeclampsia (severa y no severa), con un RR=12.09 (IC95%: 2.87-51.00, p=0.000); presentar anemia durante la gestación, con un RR=9.40 (IC95%: 1.30-68.17, p=0.005), y tener antecedente de PP, con un RR=7.82 (IC95%: 1.62-37.86, p=0.002) (Figura 2).

Riesgo relativo de las variables a comparar entre el grupo de gestantes con parto muy pretérmino (semana 2831.6) y el de gestantes con parto a término.

Figura 2: Riesgo relativo de las variables a comparar entre el grupo de gestantes con parto muy pretérmino (semana 2831.6) y el de gestantes con parto a término.

IMC: índice de masa corporal; NSE: nivel socioeconómico; PP: parto pretérmino; SS: semanas; PEE: preeclampsia; RCIU: restricción del crecimiento intrauterino. ▮ Intervalo de confianza. • Riesgo relativo. Fuente: Elaboración propia.

Los factores de riesgo asociados a PP tardío fueron haber sido diagnosticada con preeclampsia severa durante la gestación, con un RR=7.30 (IC95%: 4.17-12.82, p=0.000); haber sido diagnosticada con preeclampsia (severa y no severa), con un RR=4.89 (IC95%: 2.70-8.86, p=0.000), y presentar RCIU durante la gestación actual, con un RR=4.79 (IC95%: 2.52-9.14, p=0.000) (Figura 3).

Riesgo relativo de las variables a comparar entre el grupo de gestantes con parto pretérmino tardío (semana 3236.6) y el de gestantes con parto a término.

Figura 3: Riesgo relativo de las variables a comparar entre el grupo de gestantes con parto pretérmino tardío (semana 3236.6) y el de gestantes con parto a término.

IMC: índice de masa corporal; NSE: nivel socioeconómico; PP: parto pretérmino; ss: semanas; PEE: Preeclampsia; RCIU: Restricción del crecimiento intrauterino. ▮ Intervalo de confianza. • Riesgo relativo. Fuente: Elaboración propia.

Discusión

Dado que muchos de los casos de PP se deben a factores de riesgo que pueden ser prevenidos, antes o durante la gestación, identificarlos a tiempo es indispensable para darles un seguimiento oportuno y eficaz y, así, contribuir a disminuir la incidencia de esta problemática.

Los factores de riesgo identificados en las participantes del estudio coinciden con los descritos como significativos en la literatura;2,5,9,10 sin embargo, muchas variables descritas como de riesgo no tuvieron significancia estadística. Para población colombiana no existen estudios previos sobre este tema, por lo que el presente estudio se propone como base para análisis futuros respecto a lo planteado.

Haber sido diagnosticada con preeclampsia severa fue el factor de riesgo con mayor significancia estadística entre las participantes, además haber sido diagnosticada con preeclampsia (severa y no severa) durante la gestación en curso aumentó cinco veces el riesgo de presentar PP en comparación con quienes no recibieron este diagnóstico. Esto coincide con lo descrito en la literatura mundial, en donde se afirma que la preeclampsia aumenta el riesgo de prematuridad hasta en un 20%.5,9,11

Al respecto, varios estudios han establecido que la preeclampsia es un factor de riesgo para PP: Ovalle et al.9 y Genes-Barrios5 establecieron que el 20.10% y 16.70%, respectivamente, de las pacientes que dieron a luz antes de tiempo presentaron esta patología (severa y no severa), y Conerjo-García et al. 10 documentaron que el 9% de quienes tuvieron PP tuvieron preeclampsia severa. Ovalle et al.9 también establecieron que la preeclampsia, predominantemente la severa, por lo general se presentó luego de la semana 30 de gestación.

La RCIU también es un factor de riesgo para PP ya que en muchos casos su manejo es la culminación precoz del embarazo.11,12 En el presente estudio este aspecto tuvo un alto nivel de significancia, pues las nueve pacientes que lo presentaron tuvieron prematuridad (ocho con PP tardío y una con parto muy pretérmino). En otros estudios también se menciona la relación entre RCIU y PP-13-15, por ejemplo, Bukowski et al.13 reportaron que la incidencia de RCIU fue seis veces mayor en los casos de PP en comparación con los nacidos a término y Ovalle et al.9 afirmaron que el RCIU severo, con o sin desprendimiento pretérmino de placenta normoinserta, fue un factor de riesgo para PP.

Factores sociodemográficos como edad materna, etnia, nivel socioeconómico e IMC, que son considerados como de riesgo en la literatura,6,16-18 no fueron estadísticamente significativos en el presente estudio. Lo anterior contrasta con el estudio de Ovalle et al.9 en donde estos factores se consideraron como predisponentes para condiciones asociadas a PP y con el de Meis et al. 16 que demostró que existe una asociación directa entre edad materna avanzada (>30 años) y PP. Asimismo, Escribà-Agüir et al.17 demostraron que las diferencias entre el nivel socioeconómico de las pacientes, representadas por los ingresos familiares y el grado de escolaridad de la madre, y un IMC ≥25 kg/m2 o <19.8 kg/m2 al inicio del embarazo son factores que predisponen la prematuridad; esto último coincide con lo mencionado por López-Montero & Trufero-Canovas.19

A pesar de que en el presente estudio no se encontró que el consumo de sustancias psicoactivas fuera un factor de riesgo, se debe tener en cuenta que ninguna de las participantes consumía marihuana o cocaína y que en la literatura se menciona que estas sustancias son las que suelen acarrear complicaciones que inducen el parto antes de la semana 37.18,20 Adicionalmente, el consumo de alcohol durante el embarazo también se relaciona con PP ya que puede generar RCIU.20

El hábito tabáquico no constituyó un factor de riesgo significativo para PP en el presente estudio, lo cual guarda relación con lo evidenciado por Genes-Barrios5 pero difiere de lo planteado por Pascale,20 quien menciona que este hábito se relaciona con patologías que conllevan a prematuridad.

En la literatura también se evidencia que la obesidad es un factor de riesgo para presentar diabetes e hipertensión arterial y que estas patologías, a su vez, tienen relación con PP;6,9,16 sin embargo, en la presente investigación los partos prematuros no se relacionaron con patologías crónicas.

Por su parte, el antecedente de PP no se relacionó con el desarrollo de PP en general, pero sí tuvo asociación con parto muy pretérmino, lo que concuerda con lo encontrado en varios estudios,16,21-23 como el realizado por Meis et al.16 donde se estableció que el antecedente de PP inducido en gestaciones previas incrementó 2.79 veces el riesgo de presentar PP, y 2.45 veces si era espontáneo, en comparación con las gestantes que no tenían dicho antecedente. Asimismo, no se encontró una asociación significativa entre la multiparidad o la primiparidad y el desenlace de PP; sin embargo, al respecto la literatura indica que existe mayor riesgo de PP en las multíparas con antecedentes de PP o abortos en el segundo trimestre.10,17 El antecedente de aborto tampoco presentó significancia estadística entre las participantes estudiadas.

Del mismo modo, la anemia fue un factor que se asoció con parto muy pretérmino en el presente estudio, con un RR=5, hallazgo que coincide con lo reportado por Cornejo-García et al.10 y Giacomin-Camiol et al.24

Las infecciones durante la gestación no fueron un factor asociado al PP en el presente estudio a pesar de que, de las 24 pacientes con esta condición, 4 tuvieron partos prematuros. La relación entre prematuridad e infecciones específicas se ha reportado en estudios anteriores;9,25-28 por ejemplo, Olson-Chen et al.25 la asociaron con la infección por Chlamydia trachomatis; Ovalle et al. ,9 con infecciones urinarias y cervicovaginitis, y Hasbun & Habun,27 con corioamnionitis. Teniendo en cuenta este panorama, se debe considerar el tipo de infección para determinar si constituye un factor de riesgo para PP.

En cuanto al embarazo múltiple, Losa et al.21 evidenciaron un mayor riesgo de presentar PP en las gestaciones múltiples que en las únicas, siendo este el factor que más se asoció con nacimientos prematuros en su estudio. Por su parte, Rellan-Rodríguez et al.6 encontraron que la gestación múltiple, espontánea o inducida aumenta las tasas de prematuridad y representa aproximadamente una cuarta parte de los PP. De igual forma, otras investigaciones concluyeron que los embarazos de gemelos se asocian a PP en cerca del 15% de los casos; 11,29,30 sin embargo, este aspecto no presentó diferencias estadísticamente significativas en el presente estudio, lo que podría deberse a la poca cantidad de gestantes con embarazo múltiple que hicieron parte del estudio.

Dado el panorama, prevenir los factores de riesgo señalados es fundamental para disminuir la incidencia de PP y por ende sus complicaciones, para lo cual se debe promover la consulta preconcepcional, diseñar intervenciones preventivas de estos factores, promover la planificación familiar, garantizar la cobertura de la atención, diseñar programas de prevención nutricional y de cuidado personal para reducir infecciones y tamizar las enfermedades prevalentes durante el embarazo.23

En Colombia son pocos los estudios sobre factores de riesgo de PP y en Bogotá la presente es la primera investigación al respecto, pero la incidencia encontrada es similar a datos nacionales e internacionales, lo cual se convierte en una fortaleza del estudio, ya que permite compararlo y aplicarlo en otras poblaciones con datos similares.

Dado que las pacientes estudiadas pertenecían a un estudio multicéntrico, la población, perteneciente a instituciones de salud de diferentes zonas de la ciudad, fue diversa y, por ende, fue posible evaluar un gran número de factores de riesgo referenciados en la literatura consultada. Sin embargo, para futuras investigaciones se debe seleccionar una muestra de mayor tamaño si se desea discriminar minuciosamente factores de riesgo como la etiología de las infecciones, además se recomienda incluir población menor de 14 años, la cual corresponde a una muestra significativa de gestantes en Colombia.31

Finalmente, como limitaciones de este estudio se tuvo que las pacientes incluidas correspondieron a una población específica estudiada y no representaban la totalidad de la población bogotana. No obstante, los sesgos se minimizaron al describir claramente sus características, además los resultados fueron solo representativos.

Conclusiones

Los principales factores de riesgo para PP encontrados en el presente estudio fueron haber sido diagnosticada con preeclampsia (severa y no severa) y presentar RCIU. Estos hallazgos evidencian la necesidad de planear e implementar estrategias y políticas públicas en Bogotá D.C. que promuevan mejores prácticas de atención prenatal que, a su vez, permitan la detección temprana de los diferentes factores de riego encontrados, lo que hará posible reducir la incidencia de partos pretérmino en la ciudad y utilizar la experiencia y los resultados obtenidos en el resto del país.

Acknowledgements

Agradecimientos

A la Clínica El Bosque, a la Universidad El Bosque, a la Unidad de Servicio Salud Occidente de Kennedy (antiguo Hospital de Kennedy), a Ecodiagnóstico El Bosque SAS y a todas las personas que de alguna forma hicieron parte de esta investigación.

Referencias

  1. 1. Kinney MV, Howson CD, McDougall L, Lawn JE. Nacidos demasiado pronto. Resumen ejecutivo. Informe de Acción Global sobre Nacimientos Prematuros. OMS; 2012 [cited 2020 Aug 11]. Available from: Available from: https://bit.ly/3kDu6Yz . [URL] 🠔
  2. 2. Iragorri VA, Rodríguez-Donado A, Perdomo-Suárez DF. Guía de manejo de trabajo de parto pretérmino. Bogotá D.C.: Secretaria Distrital de Salud de Bogotá. 🠔
  3. 3. Sentilhes L, Sénat MV, Ancel PY, Azria E, Benoist G, Blanc J, et al. Prevention of spontaneous preterm birth: Guidelines for clinical practice from the French College of Gynaecologists and Obstetricians (CNGOF). Eur J Obstet Gynecol Reprod Biol. 2017;210:217-24. http://doi.org/gbgnzs. [URL] 🠔
  4. 4. Committee on Practice Bulletins-Obstetrics, The American College of Obstetricians and Gynecologists. Practice bulletin no. 130: prediction and prevention of preterm birth. Obstet Gynecol. 2012;120(4):964-73. http://doi.org/d6gg. [URL] 🠔
  5. 5. Genes-Barrios VB. Factores de riesgo asociados al parto pretérmino. Rev. Nac. (Itauguá). 2012;4(2):8-14. 🠔
  6. 6. Rellan-Rodríguez S, García-de Ribera C, Aragón-García MP. El recién nacido prematuro. In: Protocolos diagnósticos terapéuticos de la AEP: Neonatología. Asociación Española de Pediatría; 2008. p. 68-77. 🠔
  7. 7. World Medical Association (WMA). WMA Declaration of Helsinki - Ethical principles for medical research involving human subjects. Fortaleza: 64th WMA General Assembly; 2013. 🠔
  8. 8. Colombia. Ministerio de Salud. Resolución 8430 de 1993 (octubre 4): Por la cual se establecen las normas científicas, técnicas y administrativas para la investigación en salud. Bogotá D.C.; octubre 4 de 1993. 🠔
  9. 9. Ovalle A, Kakarieka E, Rencoret G, Fuente A, Del río MJ, Morong C, et al. Factores asociados con el parto prematuro entre 22 y 34 semanas en un hospital público de Santiago. Rev. Méd. Chile. 2012;140(1):19-29. http://doi.org/d6dt. [URL] 🠔
  10. 10. Cornejo-García K, García-Cruz ME. E, Huerta-ALvarado S, Cortes-Reyes C, Castro-Herrera GA, Hernández R. Factores asociados con el parto prematuro en un hospital de segundo nivel. Rev Esp Med Quir. 2014;19:308-15. 🠔
  11. 11. Calderon GJ, Vega MG, Velásquez TJ, Morales CR, Vega MAJ. Factores de riesgo materno asociados al parto pretermino. Rev Méd Inst Mex Seguro Soc. 2005;43(4):339-42. 🠔
  12. 12. México. Gobierno Federal. Diagnóstico y tratamiento de la restricción del crecimiento intrauterino. México D.F.: Secretaríade Salud; 2011. 🠔
  13. 13. Bukowski R, Gahn D, Denning J, Saade G. Impairment of growth in fetuses destined to deliver preterm. Am J On-tet Gynecol. 2001;185(2):463-7. http://doi.org/cv26mz. [URL] 🠔
  14. 14. Gardosi JO, Prematurity and fetal growth restriction. Early Hum Development. 2005;85(1):43-9. http://doi.org/ftdvt2. [URL] 🠔
  15. 15. Pimiento-Infante LM, Beltrán-Avendaño MA. Restricción del crecimiento intrauterino: una aproximación al diagnóstico, seguimiento y manejo. Rev Chil Obstet Ginecol. 2015;80(6):493-502. http://doi.org/d6gn. [URL] 🠔
  16. 16. Meis PJ, Goldenberg RL, Mercer BM, Iams JD, Moawad AH, Miodovnik M, et al. The preterm prediction study: risk factors for indicated preterm births. Am J Obstet Gynecol. 1998;178(3):562-7. http://doi.org/df8spv. [URL] 🠔
  17. 17. Escribà-Agüir V, Clemente I, Saurel-Cubizolles MJ. Factores socioeconómicos asociados al parto pretérmino. Resultados del proyecto EUROPOP en el Estado español. Gaceta Sanitaria. 2001;15(1):6-13. http://doi.org/f2njm2. [URL] 🠔
  18. 18. Voto L, Valenti E, Asprea I, Voto G, Votta R. Parto pretérmino. F.A.S.G.O. 2014;13(1):6-10. 🠔
  19. 19. López-Montero M, Trufero-Canovas N. Efectos del bajo peso materno preconcepcional sobre el embarazo y el parto. AMC. 2006;10(4):1-9. 🠔
  20. 20. Pascale A. Consumo de drogas durante el embarazo. Efectos sobre el binomio materno-fetal, recién nacido y primera infancia. Modalidades terapéuticas y estrategias de prevención. Montevideo: MSP; 2010 [cuted 2020 Aug 11]. Available from: Available from: https://bit.ly/2Fi2SH3 . [URL] 🠔
  21. 21. Losa EM, González E, González G. Factores de riesgo del parto pretérmino. Prog Obstet Ginecol. 2006;49(2):57-65. http://doi.org/bcp9n8. [URL] 🠔
  22. 22. Villanueva ELA, Contreras GAK, Pichardo CM, Rosales LJ. Perfil Epidemiológico del parto prematuro. Ginecol Obstet Mex. 2008;76(9):542-8. 🠔
  23. 23. Mendoza-Tascón LA, Claros-Benítez DI, Mendoza-Tascón LI, Arias-Guatibonza MD, Peñaranda-Ospina CB. Epidemiología de la prematuridad, sus determinantes y prevención del parto prematuro. Rev. Chil. Obstet. Ginecol. 2016;1(4):330-42. http://doi.org/d6gp. [URL] 🠔
  24. 24. Giacomin-Carmiol L, Leal-Mateos M, Moya-Sibaja RA. Anemia materna en el tercer trimestre del embarazo como factor de riesgo para parto pretérmino. Acta Méd. Costarric. 2009;51(1):39-43. 🠔
  25. 25. Olson-Chen C, Baralaram K, Hackney DN. Chlamydia Trachomatis and adverse pregnancy outcomes: Meta analysis with and without infection. Matern Child health J. 2018;22(6):812-21. http://doi.org/gdhgzx. [URL] 🠔
  26. 26. Whyte RK, Hussain Z, deSa D. Antenatal infections with Candida species. Arch Dis Child. 1982;57(7):528-35. http://doi.org/bpxpvb. [URL] 🠔
  27. 27. Hasbun J, Hasbun A. Infección y parto prematuro: enlace epidemiológico y bioquímico. Rev Chil Infect. 2000;17(1):7-17. http://doi.org/bchg8t. [URL] 🠔
  28. 28. Huertas-Tacchino E. Parto pretérmino: causas y medidas de prevención. Rev Peru Ginecol. Obstet. 2018;64(3):399-404. http://doi.org/d6gq. [URL] 🠔
  29. 29. Fernández- Niklitschek C, Poblete-Lizana JA. Prevención de Parto Prematuro en Gemelar: ¿Qué hay de nuevo? Rev. Chil. Obstet. Ginecol. 2017;82(1):70-76. http://doi.org/d6gr. [URL] 🠔
  30. 30. Ahumada-Barrios M, Alvarado GF. Factores de Riesgo de parto pretérmino en un hospital. Rev. Latino-Am. Enfermagem. 2016;24:e2750. http://doi.org/f9jjtc. [URL] 🠔
  31. 31. Colombia. Departamento Administrativo Nacional de Estadística (DANE). Estadísticas vitales - EEVV. Cifras definitivas año 2017. Bogotá D.C.: DANE; 2018 [cited 2019 Aug 21]. Available from: Available from: https://bit.ly/2PLCI13 . [URL] 🠔
Factores de riesgo de parto pretérmino en Bogotá D.C., Colombia. Rev. Fac. Med. 2020;68(4):556-63. Spanish. doi: http://dx.doi.org/10.15446/revfacmed.v68n4.79702.
Ninguno declarado por los autores.
El estudio primario del cual se derivó la presente investigación fue financiado mediante un proyecto de convocatoria interna de la Universidad El Bosque y Eco-diagnóstico El Bosque.