Revista de la Facultad de Medicina
0120-0011
Universidad Nacional de Colombia
https://doi.org/10.15446/revfacmed.v70n1.86775

Recibido: 29 de abril de 2020; Aceptado: 9 de octubre de 2020

Changes in liver function test levels in HIV patients undergoing highly active antiretroviral therapy (HAART). Longitudinal study in Lima, Peru

Cambios en los valores de las pruebas de función hepática en pacientes con VIH en terapia antirretroviral de gran actividad (TARGA). Estudio longitudinal en Lima, Perú

J. Moya-Salazar, 12 M. Barrial-Vega, 1 R. Arrieta-Calderón, 1 H. Contreras-Pulache, 1*

Universidad Privada Norbert Wiener - Faculty of Health Sciences - Post-graduate School - Lima - Peru. Universidad Privada Norbert Wiener Universidad Privada Norbert Wiener Faculty of Health Sciences Lima Peru
Hospital Nacional Docente Madre Niño San Bartolomé - Department of Pathology - Lima - Peru. Hospital Nacional Docente Madre Niño San Bartolomé Department of Pathology Lima Peru

Corresponding author: Hans Contreras-Pulache. Escuela de Medicina Humana, Facultad de Ciencias de la Salud, Universidad Privada Norbert Wiener. Lima. Peru. Email: hans.contreras@uwiener.edu.pe.
None stated by the authors.

Abstract

Introduction:

Estimating and monitoring changes in liver function tests is necessary to prevent the occurrence of chronic liver disease in HIV patients undergoing highly active antiretroviral therapy (HAART).

Objective:

To determine the variation liver profile test levels in HIV patients undergoing HAART.

Materials and methods:

Retrospective longitudinal study conducted in 100 HIV patients treated at the Hospital Nacional Hipólito Unanue, Lima, Peru, between 2015 and 2017. Patients in all stages of clinical infection under HAART and with liver function panel results for alanine aminotransferase (ALT), aspartate aminotransferase (AST), alkaline phosphatase (ALP), gamma-glutamyl transferase (GGT), and total protein (TP) were included. Three follow-up liver function tests (every 3 months) were performed while undergoing HAART and participants were categorized as having normal or elevated levels for all liver markers. Differences between the samples analyzed were determined using the paired-samples T test, with a 95% confidence interval and a significance level of p<0.05.

Results:

Participants' mean age was 33±9.56 years and 67% were male. Mean serum AST, ALT and ALP values decreased between the first and the third measurement (p=0.021, p=0.076 and p=0.002, respectively). No significant differences in GGT and TP levels were observed between the three measurements, nor between patients with normal and elevated AST, ALT, ALP and TP values, but significant differences were observed for GGT (p=0.010).

Conclusions:

Variations in liver marker levels were observed in all participants, with a decreasing trend in AST, ALT and ALP between the early and late stages of HAART, implying that this therapy could play a role in liver tissue damage.

Keywords:

HIV, Liver Function Tests, Alanine Aminotransferase, Aspartate Aminotransferase, Peru (MeSH).

Resumen

Introducción.

Para prevenir el desarrollo de enfermedad hepática crónica en pacientes con VIH, durante la terapia antirretroviral de gran actividad (TARGA) se deben estimar y monitorear cambios en el perfil hepático.

Objetivo.

Determinar la variación de las concentraciones del perfil hepático en pacientes con VIH durante la TARGA.

Materiales y métodos.

Estudio retrospectivo longitudinal realizado en 100 pacientes con VIH atendidos en el Hospital Nacional Hipólito Unanue, Lima, Perú, entre 2015 y 2017. Se incluyeron pacientes en todos los estadios de infección clínica que estuvieran recibiendo TARGA y en los que se contara con resultados del perfil hepático para alanina aminotransferasa (ALT), aspartato aminotransferasa (AST), fosfatasa alcalina (FA), gammaglutamiltranspeptidasa (GGT) y proteínas totales (PT). Se realizaron tres análisis de control de la función hepática durante la TARGA (1 cada 3 meses) y los participantes se agruparon en niveles normales y elevados para todos los marcadores hepáticos. Las diferencias entre las muestras analizadas fueron determinadas mediante la prueba t-Student para muestras relacionadas, con un intervalo de confianza de 95% y un nivel de significancia de p<0.05.

Resultados.

La edad promedio fue de 33±9.56 años y el 67% fueron varones. Los valores séricos promedio de AST, ALT y FA disminuyeron entre la primera y la tercera medición (p=0.021, p=0.076 y p=0.002, respectivamente). No se observaron diferencias significativas en los niveles de GGT y PT entre las tres mediciones, ni entre los pacientes con valores normales y elevados para AST, ALT, FA y PT, pero sí para GGT (p=0.010).

Conclusiones.

Se observaron variaciones en los niveles de los marcadores hepáticos de todos los participantes, con una tendencia a la reducción en AST, ALT y FA entre las etapas iniciales y finales de la terapia, lo que implica que la TARGA podría ejercer un rol en el daño tisular hepático.

Palabras clave:

VIH, Pruebas de función hepática, Alanina aminotransferasa, Aspartato aminotransferasa, Perú (DeCS).

Introduction

Throughout history, a variety of diseases have affected the integrity and development of communities by causing high rates of morbidity and mortality. Even though environmental conditions have improved, there are emerging and re-emerging diseases that generate a high economic impact due to the disease burden they cause.

Some of the diseases that have had the greatest impact on public health around the world are leprosy (caused by Mycobacterium leprae), Black Death (caused by Yersiniapestis), acquired immunodeficiency syndrome (AIDS, caused by the human immunodeficiency virus (HIV)) and, more recently, coronavirus disease 2019 (COVID-19, caused by severe acute respiratory syndrome coronavirus 2 (SARS-CoV-2)).1,2

HIV is a retrovirus with two subtypes: HIV-1, which is the most common and is found worldwide, and HIV-2, which is mostly found in West Africa.3 It is considered a global pandemic due to its high incidence rates and major threat to global public health since, as reported by Pandey & Galvani,1 almost 36 million people were living with this virus in 2019, and it had also caused around 39 million deaths by that time.

Given that it causes generalized immunosuppression, HIV infection can favor co-infection with other microorganisms such as Mycobacterium tuberculosis, Candida sp, Aspergillus sp, among others; have a greater impact on population groups with comorbidities or debilitating diseases such as cancer, diabetes, cardiovascular diseases, and others; and cause resistance to antiretrovirals.4 These complications are linked to a number of factors including drug adherence, poor social and health care, migration, limitations in HIV/ AIDS prevention and control programs, access to highly active antiretroviral treatment (HAART), etc.4-7

According to UNAIDS Data 2018,8 in Central Europe and North America, among 2.1 million [1.9-2.4 million] people living with HIV at the end of 2016, 85% [65->95%] were aware of their HIV status, and approximately 1.6 million [1.4-1.7 million] of them had access to antiretroviral therapy and 65% achieved viral suppression. In the case of Eastern Europe and Central Asia, UNAIDS reported that of 1.4 million [1.3-1.6 million] people living with HIV at the end of 2017, 73% [59-83%] were aware that they had HIV, and about 520 000 million [458 000-541 000 million] of them had access to antiretroviral therapy and 26% achieved viral suppression. In addition, according to the same report, in Asia and the Pacific, also at the end of 2017, of the 5.2 million [4.1-6.7 million] people living with HIV, 74% [52->95%] were aware of their condition, and nearly 2.7 million [2.4-2.9 million] of them had access to antiretroviral therapy and 45% achieved viral suppression.

Regarding Central and East Africa, UNAIDS8 reported that, at the end of 2017, of the 6.1 million [4.4-8.1 million] people living with HIV, 48% [31-66%] were aware of their disease, and about 2.4 million [2.1-2.5 million] had access to antiretroviral therapy, with 29% achieving viral suppression. Concerning South and West Africa, it was reported that, also at the end of 2017, of the 19.6 million [17.5-22.0 million] people living with HIV, 81% [64-95%] were aware of their HIV status, and about 12.9 million [11.4-13.4 million] of them had access to antiretroviral therapy and 52% achieved viral suppression.

Finally, the UNAIDS8 report indicated that in Latin America, at the end of 2017, of the 1.8 million [1.5-2.3 million] people with HIV, 77% [54->95%] were aware that they had the disease and that about 1.1 million [992 000-1 200 000] of them had access to antiretroviral therapy and 52% achieved viral suppression. Regarding the Caribbean, of the 310 000 [260 000-420 000] people with HIV, 73% [53-95%] were aware that they had this virus, and approximately 181 000 [159 000-188 000] of them had access to antiretroviral therapy and 40% achieved viral suppression.

The impact of HIV has led to the introduction of a chronic care model for its treatment, which addresses broader health needs, particularly those related to non-communicable diseases and mental or substance use disorders.9

Several studies have found that liver disease in HIV-positive patients may be caused by the virus itself,10-12 antiretroviral therapy,13 or the presence of comorbidities.14 Changes in liver function in patients with HIV undergoing HAART are monitored by means of the liver profile panels and constant clinical surveillance.15

In Peru, despite the fact that in 2018 the Ministry of Health estimated that 72 000 people were living with HIV16 and that the National Program of Highly Active Antiretroviral Therapy (HAART Program) for the management of this infection began on May 13, 2004,17 reports on liver marker levels and their fluctuations in HIV-positive patients treated with this therapy are scarce. Consequently, the objective of this study was to determine the variation in liver profile test values in patients with HIV undergoing HAART.

Materials and methods

Study design and population, and sample

Retrospective longitudinal study. The study population consisted of HIV patients admitted between January 2015 and December 2017 to the HIV Prevention and Control Program of the Hospital Nacional Hipólito Unaune (HNHU) in Lima, Peru (N=364). The HNHU is a secondary healthcare center that belongs to the Ministry of Health (MINSA) and serves an average of 40 000 patients per year, the majority of whom have infectious diseases such as tuberculosis and AIDS.18

Only patients over the age of 18 who had complete liver function tests in their HIV follow-up, including alanine aminotransferase (ALT), aspartate aminotransferase (AST), alkaline phosphatase (ALP), and total proteins (PT); were at any stage of clinical infection; and were receiving HAART were considered for inclusion. Individuals who had interrupted or abandoned therapy, had incomplete liver function test results and/or were diagnosed with other concomitant conditions (diabetes, cancer, cardiovascular diseases, etc.) or infections (tuberculosis, aspergillosis, candidiasis, etc.) were excluded. Considering the foregoing, the final sample consisted of 100 patients.

Blood tests and data collection

Blood samples were obtained by venipuncture according to participants' care schedules and following the procedures for collecting blood samples for diagnosis by venipuncture.19 Liver function tests were carried out at the HNHU's Biochemistry department utilizing an automated ARCHITECT C800 equipment (Abbot diagnostics, Illinois, US), the same manufacturer's reagents, and the colorimetry.20 Blood testing procedures involved daily quality controls conducted in accordance with current international standards.21 Samples were processed in accordance with the procedures outlined in the HNHU Standard Operating Procedures Manual.

Three follow-up liver function tests were performed during HAART (one every three months), and participants were categorized as having normal or elevated levels (above the upper limit) for all liver markers (AST, ALT, FA, GGT, and PT). The liver profile data of the patients were obtained from the hospital's Integrated Health Data Management System (SIGOS by its acronym in Spanish) and, following verification, were coded according to the control analysis number for each of the liver function markers.

Statistical analysis

Descriptive analysis of the data was performed using means and standard deviations for quantitative variables, and frequencies and percentages for categorical variables. Data normality was assessed with the Kolmogorov-Smirnov test after estimating absolute values in each study year. Differences between the samples analyzed were estimated with the t-Student test for related samples with a confidence interval (CI) of 95% and a significance level of p<0.05. All statistical analyzes were performed in SPSS v22.0 (IBM, Armonk, USA) for Google Chrome.

Ethical considerations

The study, which was approved by the HNHU Ethics Committee in accordance with Minutes No. HNHU-2020-1-024 of February 28, 2020, took into account the ethical principles for medical research involving human subjects established by the Declaration of Helsinki.22

Results

The mean age of participants was 33±9.56 years (95%CI: 31.1-34.9), with a range of 19 to 60 years. The most common age groups were 18-30 years (n=45) and 31-40 years (n=39). Moreover, 67% were male.

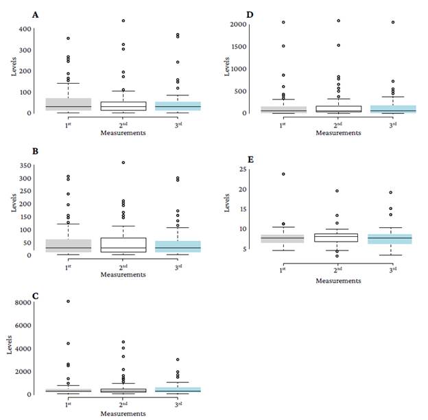
The mean concentration ranges were as follows: AST: 6.5-388.4 U/L; ALT: 4.8-320.7 U/L; ALP: 63.3-5239.8 U/L; GGT: 8.2-2062.4 U/L; and PT: 2.9-20.8 gr/dL. (Figure 1).

Distribution of liver function marker concentrations in the three blood tests of the participants. A) aspartate aminotransferase (U/L); B) alanine aminotransferase (U/L); C) alkaline phosphatase (U/L); D) gamma-glutamyl transferase (U/L); E) total proteins (gr/dl).

Figure 1: Distribution of liver function marker concentrations in the three blood tests of the participants. A) aspartate aminotransferase (U/L); B) alanine aminotransferase (U/L); C) alkaline phosphatase (U/L); D) gamma-glutamyl transferase (U/L); E) total proteins (gr/dl).

Source: Own elaboration.

GGT, AST, ALP, PT, and ALT were normal in all measurements in more than 44%, 51%, 52%, 57%, and 70% of patients, respectively (Figure 2).

Distribution of normal and elevated liver marker test results in the three blood tests in the study population (n=100).

Figure 2: Distribution of normal and elevated liver marker test results in the three blood tests in the study population (n=100).

Source: Own elaboration.

There were no significant differences between patients with normal and elevated values (p>0.05) for AST, ALT, ALP, and PT markers. In the case of GGT, 56% of participants had elevated levels in the first measurement, while 50% and 46% had elevated levels in the second and third measurements, respectively, with a significant difference between the first and third measurements (p=0.010).

On the other hand, changes in mean AST levels were found in all measurements, with a downward trend between the first and third, and a statistically significant difference (p=0.021). Concerning ALT, there was also a reduction in concentration levels between the first and third measurements, although the difference was not statistically significant (p=0.076). Figure 3 depicts the changes in the mean concentrations of these two transaminases. It should be noted that, while there was a decline in the third measurement, it was not significant, and so no significant changes between the two markers were identified (p=0.304).

Variations in mean aspartate aminotransferase and alanine aminotransferase concentrations.

Figure 3: Variations in mean aspartate aminotransferase and alanine aminotransferase concentrations.

Source: Own elaboration.

On the other hand, the mean levels of ALP dropped between the first and third measurements, with the difference being statistically significant (p=0.002), whereas GGT and PT did not show significant differences between the three measurements despite the fluctuations observed (p>0.05) (Table 1).

Table 1: Liver marker concentrations in HIV-positive patients with active HAART according to serological control.

Biological magnitude Measurements p-value
1st 2nd 3rd
±SD ±SD ±SD
Aspartate aminotransferase (U/L) 57.2±61.9 52±63.2 48.2±58 0.021
Alanine aminotransferase (U/L) 50.8±55.3 52.1±53.9 45.8±48.8 0.076
Alkaline phosphatase (U/L) 525.8±951.3 511.4±709 455.4±495 0.002
Gamma-glutamyl transferase (U/L) 138.2±273.2 158.7±284.2 139.6±231 0.088
Total protein (g/dL) 7.4±2.2 7.6±1.9 7.4±2.15 0.074

x̅: mean; SD: standard deviation.

Source: Own elaboration.

When assessing the proportion of patients with increased or decreased liver marker levels, AST and ALT were found to be 50% lower in all three measurements, with no significant differences between measurements or between both markers (p>0.05). The remaining markers had similar concentrations (Table 2) and remained invariable at ≤10% in all concentrations.

Table 2: Variations of liver markers in the study population.

Biological magnitude Measurements * Variation p-value
Went down Normal Went up
Aspartate aminotransferase D (2nd-1st) 50 5 45 0.083
D(3rd-2nd) 50 0 50
Alanine aminotransferase D (2nd-1st) 48 4 48 0.062
D(3rd-2nd) 46 1 53
Alkaline phosphatase D (2nd-1st) 44 6 50 0.107
D(3rd-2nd) 47 0 53
Gamma-glutamyl transferase D (2nd-1st) 58 7 35 0.091
D(3rd-2nd) 62 0 38
Total proteins D (2nd-1st) 52 10 38 0.082
D(3rd-2nd) 44 4 52

D: difference.

* Estimation of the difference between the second and first measurements, and between the third and first measurements.

Source: Own elaboration.

Discussion

The present study found that during HAART, the analyzed HIV patients did not have differences in their PT and GGT levels in the three measurements made, contrary to what happened with the liver markers ALT, AST, and ALP, whose levels tended to decrease between the first and third measurements.

According to previous studies, liver function abnormalities in blood tests are evident in 20% to 93% of HIV-positive or AIDS patients.12,23 In fact, Palella et al., 24 in a cohort study of HIV outpatients who received HAART between January 1996 and December 2004, found that liver disease was the only reported cause of death for which absolute rates increased over time, though not significantly, from 0.09/100 person-years in 1996 to 0.16/100 person-years in 2004 (p=0.10). Thus, there is a clear need for adequate follow-up of liver markers in patients with HIV, since complications could arise, and the immunocompromised status of these individuals could worsen without proper monitoring.

Furthermore, it has been established that risk factors for liver damage may be increased in these patients because they undergo extensive treatments (resulting in decreased drug adherence), are more vulnerable to co-infections, and face the disease with the possibility of first-line treatment resistance.25-27

The presence of cardiovascular, renal or hepatic diseases significantly increases morbidity and mortality in patients with HIV.28,29 Pathania et al.,12 in a study of 247 HIV patients treated at an antiretroviral therapy center in Pune, India, found that there was a significant increase in ALT levels between the group of participants with normal liver function tests (n=119) and the group with abnormal liver function tests (n=128) (36.454±29.460 vs. 46.273±44.203; p=0.0401), but this increase was not significant for AST (40.311±34.294 vs. 48.711±52.265; p=0.134).

In turn, the study by Iddi et al.,30 conducted in July 2017 on blood samples from 230 HIV patients from different regions of Lake Victoria, Tanzania, demonstrated that 26.09% and 23.9% of participants had elevated AST and ALT levels, respectively, with AST levels significantly higher among patients with high HIV viral load (p=0.002), while ALT was significantly higher among those co-infected with hepatitis C virus (HCV) (p=0.017) and hepatitis B virus (p<0.001). These results are consistent with those of the present study.

Other studies have described that variations in ALT levels may behave as predictors of liver disease in HIV patients whether or not they are receiving HAART.31-33 These variations can be extrapolated to the Peruvian population due to the presence of numerous risk factors in the country, such as high alcohol consumption and the high prevalence of hepatitis and fatty liver, demonstrating the importance of considering ALT as a useful marker for the identification of hepatotoxicity and liver fibrosis in HIV-positive patients.34,35

It is clear that patients treated with HAART have elevations in liver marker levels due to tissue damage. However, these increases are greater in patients with risk factors such as HCV10,36 and alcoholism,13,37 and even in patients with any recent infection. In this regard, in a study carried out in 59 Mexican patients diagnosed with HIV and without previous treatment, Mata-Marin et al.38 found that there was a moderately strong positive correlation between serum AST levels (37.73±29.94 U/L) and HIV viral load (r=0.439, p<0.001), and a weak correlation between serum ALT levels (43.34±42.41 U/L) and HIV viral load (r=0.276, p=0.034).

Changes in enzyme values therefore depend on the population evaluated and the risk factors present. In the African population, for example, O'Hara et al.39 found that infection was associated with a lower proportion of liver disease and transiently elevated liver enzyme concentrations, whereas, in the Mexican population, Mata-Marin et al.38 found that liver enzyme levels increase depending on the viral load. Thus, to establish the risk factors for the development of liver damage in the Peruvian population with HIV, longitudinal studies are necessary in cohorts of HIV-positive patients receiving HAART.

Unlike other studies,10-14,30,36-38 the results reported here demonstrated a reduction in ALT levels between the first and third measurements (50.8±55.3 U/L vs. 45.8±48.8 U/L). This also differs from the findings by Mgogwe et al.,40 who, in a study in Tanga, Tanzania, with 107 HIV-positive patients aged 18 to 65 years on first-line antiretroviral therapy, reported an increase in ALT levels over 6 months (40.27 vs. 47.42 U/L). The reduction observed in the present study could be attributed to a variety of factors, including the HAART scheme and its duration in participants based on their liver marker levels (normal and elevated); the use of other drugs with hepatotoxicity potential; viral coinfections; and the state of the immune system.11,14,28

The limitations of this study include that variations in serum levels of liver markers were not differentiated based on antiviral treatment regimens, that enzyme changes were not assessed in conjunction with other drug treatments that HIV-positive patients may have been taking during the study period, and that no correlations were established between the patients' immune system status and the serum values of liver markers, which would have allowed significant differences to be found. Given these limitations, additional research is required to supplement the findings presented here.

Conclusions

Variations in liver marker levels were observed in all participants, with a downward trend in AST, ALAT, and ALP levels between the initial and final stages of treatment, implying that HAART may play a role in liver tissue damage. Therefore, biochemical monitoring of HIV patients during this therapy is necessary to avoid complications associated with adverse reactions.

Acknowledgements

Acknowledgments

To Miguel Sandoval, Betsy Cañari and Víctor Rojas-Zumaran for their support at each stage of the study, and to the health personnel of the HNHU HIV Prevention and Control Program for their help.

References

  1. 1. Pandey A, Galvani Ap. The global burden of HIV and prospects for control. Lancet HIV. 2019;6(12):e809-11. https://doi.org/gktgc3. [URL] 🠔
  2. 2. Grasselli G, Zangrillo A, Zanella A, Antonelli M, Cabrini L, Castelli A, et al. Baseline Characteristics and Outcomes of 1591 Patients Infected With SARS-CoV-2 Admitted to ICUs of the Lombardy Region, Italy. JAMA. 2020;323(16):1574-81. https://doi.org/ggrg3f. [URL] 🠔
  3. 3. Boza-Cordero R. Orígenes del VIH/SIDA. Rev Cl EMed UCR. 2016;6(4):48-60. 🠔
  4. 4. Park LS, Hernández-Ramírez RU, Silverberg MJ, Crothers K, Dubrow R. Prevalence of non-HIV cancer risk factors in persons living with HIV/AIDS: a meta-analysis. AIDS. 2016;30(2):273-91. https://doi.org/f76njs. [URL] 🠔
  5. 5. Moya-Salazar J, Salazar-Hernández R, Rojas-Zumaran V, Quispe WC. Fungal infections in HIV Peruvian patients: could the Venezuelan migration cause a health warming related-infectious disease? J Infectiolology. 2019;2(2):3-10. 🠔
  6. 6. Yu Y, Luo D, Chen X, Huang Z, Wang M, Xiao S. Medication adherence to antiretroviral therapy among newly treated people living with HIV. BMC Public Health. 2018;18(1):825. https://doi.org/gdwbnv. [URL] 🠔
  7. 7. Yang X, Xia G, Li X, Latkin C, Celentano D. Social Influence and Individual Risk Factors of HIV Unsafe Sex among Female Entertainment Workers in China. AIDS Educ Prev. 2010;22(1): 69-86. https://doi.org/c2n9b2. [URL] 🠔
  8. 8. Joint United Nations Programme on HIV/AIDS (UNAIDS). UNAIDS Data 2018. Geneva: UNAIDS; 2018. 🠔
  9. 9. Organización Mundial de la Salud (OMS). Estrategia Mundial del Sector de la Salud contra el VIH 2016-2021. Hacia el fin del sida. Geneva: OMS; 2016. 🠔
  10. 10. Mohite AR, Gambhire PA, Pawar SV, Jain SS, Contractor QQ, Rathi PM. Changing clinical profile and factors associated with liver enzyme abnormalities among HIV-infected persons. Trop Doct 2017;47(3):205-11. https://doi.org/hvwx. [URL] 🠔
  11. 11. Lombardi R, Lever R, Smith C, Marshall N, Rodger A, Bhagani S, et al. Liver test abnormalities in patients with HIV mono-infection: assessment with simple noninvasive fibrosis markers. Ann Gastroenterol. 2017;30(3):349-56. https://doi.org/hvwz. [URL] 🠔
  12. 12. Pathania S, Kaur N, Kumar S, Sashindran VK, Puri P. A cross-sectional study of liver function tests in HIV-infected persons in Western India. Med J Armed Forces India. 2017;73(1):23-8. https://doi.org/hvw2. [URL] 🠔
  13. 13. Sterling RK, Chiu S, Snider K, Nixon D. The prevalence and risk factors for abnormal liver enzymes in HIV-positive patients without hepatitis B or C coinfections. Dig Dis Sci. 2008;53(5):1375-82. https://doi.org/dgds5f. [URL] 🠔
  14. 14. Pokorska-Spiewak M, Stañska-Perka A, Popielska J, Oidakowska A, Coupland U, Zawadka K, et al. Prevalence and predictors of liver disease in HIV-infected children and adolescents. Sci Rep. 2017;7(1):12309. https://doi.org/gb2zcj. [URL] 🠔
  15. 15. Logna-Prat L, Roccarina D, Lever R, Lombardi R, Rodger A, Hall A, et al. Etiology and Severity of Liver Disease in HIV-Positive Patients With Suspected NAFLD: Lessons From a Cohort With Available Liver Biopsies. J Acquir Immune Defic Syndr. 2019;80(4):474-80. https://doi.org/hvvj. [URL] 🠔
  16. 16. Perú. Ministerio de Salud. Minsa realizó más de 2 mil pruebas rápidas de VIH gratuitas en Día Mundial de Lucha contra el Sida. Nota de Prensa; diciembre 1 de 2018. 🠔
  17. 17. Enríquez-Canto Y, Díaz-Gervasi GM, Menacho-Alvirio LA. Impacto del Programa TARGA en el sistema de salud peruano en la disminución de casos de sida en el sistema de salud peruano, 1983-2018. Rev Panam Salud Publica. 2020;44:e27. https://doi.org/gmghgr. [URL] 🠔
  18. 18. Moya-Salazar J, Nemolato ARM, Samán VJ, Pasco CIA, Olivo-López JM. Extra-pulmonary and pulmonary Tuberculosis among elderly Peruvian patients. J Immunol Microbiol 2018; 2(1):4. 🠔
  19. 19. Clinical and Laboratory Standards Institute (CLSI). Procedures for the Collection of Diagnostic Blood Specimens by Venipuncture; Approved Standard. 6th ed. Wayne, PA: CLSI document H3-A6; 2007. 🠔
  20. 20. Perú. Ministerio de Salud (MINSA). Norma técnica de salud de atención integral del adulto con infección por el virus de la inmunodeficiencia humana (VIH). NTS N° 097- MINSA/2018/DGIESP - V.03. Lima: MINSA; 2014. 🠔
  21. 21. Perrin L, Telenti A. HIV treatment failure: Testing for HIV resistance in clinical practice. Science. 1997;280(5371):1871-2. https://doi.org/fsdbbm. [URL] 🠔
  22. 22. Caruso-Brown AE, Hobart TR, Morrow CB, editors. Bioethics, Public Health, and the Social Sciences for the Medical Professions: An Integrated, Case-Based Approach. New York: Springer International Publishing; 2019. 🠔
  23. 23. Dieterich DT, Robinson PA, Love J, Stern JO. Drug-induced liver injury associated with the use of nonnu-cleoside reverse-transcriptase inhibitors. Clin Infect Dis. 2004;38(Suppl 2):S80-9. https://doi.org/fgjbmh. [URL] 🠔
  24. 24. Palella FJ Jr, Baker RK, Moorman AC, Chmiel JS, Wood KC, Brooks JT, et al. Mortality in the highly active antiretroviral therapy era: changing causes of death and disease in the HIV outpatient study. J Acquir Immune Defic Syndr. 2006;43(1):27-34. https://doi.org/fgkhqn. [URL] 🠔
  25. 25. Qin F, Jiang J, Qin C, Huang Y, Liang B, Xu Y, et al. Liver damage in patients living with HIV on antiretroviral treatment with normal baseline liver function and without HBV/HCV infection: an 11-year retrospective cohort study in Guangxi, China. BMJ Open. 2019;9(4):e023140. https://doi.org/h3g6. [URL] 🠔
  26. 26. Kaspar MB, Sterling RK. Mechanisms of liver disease in patients infected with HIV. BMJ Open Gastroenterol. 2017;4(1):e000166. https://doi.org/gcjzk8. [URL] 🠔
  27. 27. Anderson AM, Mosunjac MB, Palmore MP, Osborn MK, Muir AJ. Development of fatal acute liver failure in HIV-HBV coinfected patients. World J Gastroenterol. 2010;16(32):4107-11. https://doi.org/dw3wsj. [URL] 🠔
  28. 28. Joshi D, O'Grady J, Dieterich D, Gazzard B, Agarwal K. Increasing burden of liver disease in patients with HIV infection. Lancet. 2011;377(9772):1198-209. https://doi.org/dqhpnr. [URL] 🠔
  29. 29. Funderburg NT, Mehta NN. Lipid Abnormalities and Inflammation in HIV Inflection. Curr HIV/AIDS Rep. 2016;13(4):218-25. https://doi.org/f83b65. [URL] 🠔
  30. 30. Iddi S, Minja CA, Silago V, Benjamin A, Mpesha J, Henerico S, et al. High Human Immunodeficiency Virus (HIV) Viral Load and Coinfection with Viral Hepatitis Are Associated with Liver Enzyme Abnormalities among HIV Seropositive Patients on Antiretroviral Therapy in the Lake Victoria Zone, Tanzania. AIDS Res Treat. 2019;2019:6375714. https://doi.org/hvw4. [URL] 🠔
  31. 31. Shiferaw MB, Tulu KT, Zegeye AM, Wubante AA. Liver Enzymes Abnormalities among Highly Active Antiretroviral Therapy Experienced and HAART Naive HIV-1 Infected Patients at Debre Tabor Hospital, North West Ethiopia: A Comparative Cross-Sectional Study. AIDS Res Treat. 2016;2016:1985452. https://doi.org/gjgtrk. [URL] 🠔
  32. 32. Tesfa E, Siefu D, Belayneh Y, Mekonnen Z. Liver enzyme elevation in patients taking HAART compared with treatment naive controls at Debre Berhan Referral Hospital: a comparative cross-sectional study, Northeast Ethiopia. BMC Res Notes. 2019;12(1):714. https://doi.org/h3g8. [URL] 🠔
  33. 33. Alghamdi S, Alrbiaan A, Alaraj A, Alhuraiji A, Alghamdi M, Alrajhi A. Elevated alanine aminotrans-ferase levels in HIV-infected persons without hepatitis B or C virus coinfection. Ann Saudi Med. 2016;36(4):288-91. https://doi.org/gbgdhx. [URL] 🠔
  34. 34. Cabanillas-Rojas W. Consumo de alcohol y género en la población adolescente escolarizada del Perú: evolución y retos de intervención. Rev. perú. med. exp. salud publica. 2020;37(1):148-54. https://doi.org/h3g9. [URL] 🠔
  35. 35. Hernández-Vásquez A, Vargas-Fernández R, Rebatta-Acuña A, Bendezu-Quispe G. Tendencias en mortalidad por enfermedades gastrointestinales debidas al uso de alcohol en el Perú del 2003 al 2016. Rev. gastroenterol. Perú. 2019;39(3):239-45. 🠔
  36. 36. Olaniyan MF. Evaluation of Total Bile Acid and Aminotransferases in HIV/AIDS Patients with Coinfection of Hepatitis B and C Viruses. Int J Bioch Biophy. 2014;2(2):8-13. https://doi.org/hvw5. [URL] 🠔
  37. 37. Osakunor DNM, Obirikorang C, Fianu V, Asare I, Dakorah M. Hepatic Enzyme Alterations in HIV Patients on Antiretroviral Therapy: A Case-Control Study in a Hospital Setting in Ghana. PLoS ONE. 2015;10(8):e0134449. https://doi.org/f72kfv. [URL] 🠔
  38. 38. Mata-Marín JA, Gaytán-Martínez J, Grados-Chavarría BH, Fuentes-Allen JL, Arroyo-Anduiza CI, Alfaro-Mejía A. Correlation between HIV viral load and aminotransferases as liver damage markers in HIV infected naive patients: a concordance cross-sectional study. Virol J. 2009;6:181. https://doi.org/bz6qmk. [URL] 🠔
  39. 39. O'Hara G, Mokaya J, Hau JP, Downs LO, McNaughton AL, Karabarinde A, et al. Liver function tests and fibrosis scores in a rural population in Africa: a cross-sectional study to estimate the burden of disease and associated risk factors. BMJ Open. 2020;10(3):e032890. https://doi.org/gn7qv5. [URL] 🠔
  40. 40. Mgogwe J, Semvua H, Msangi R, Mataro C, Kajeguka D, Chilongola J. The evolution of haematological and biochemical indices in HIV patients during a six-month treatment period. Afr Health Sci. 2012;12(1):2-7. 🠔
Moya-Salazar J, Barrial-Vega M, Arrieta-Calderón R, Contreras-Pulache H. Changes in liver function test levels in HIV patients undergoing highly active antiretroviral therapy (HAART). Longitudinal study in Lima, Peru. Rev. Fac. Med. 2022;70(1):e86775. English. doi: https://doi.org/10.15446/revfacmed.v70n1.86775.
Moya-Salazar J, Barrial-Vega M, Arrieta-Calderón R, Contreras-Pulache H. [Cambios en los valores de las pruebas de función hepática en pacientes con VIH en terapia antirretroviral de gran actividad (TARGA). Estudio longitudinal en Lima, Perú]. Rev. Fac. Med. 2022;70(1):e86775. English. doi: https://doi.org/10.15446/revfacmed.v70n1.86775.
None stated by the authors.