Revista de Salud Pública
0124-0064
Instituto de Salud Publica, Facultad de Medicina - Universidad Nacional de Colombia
https://doi.org/10.15446/rsap.v19n2.37634

Recibido: 1 de abril de 2015; Revision Received: 4 de octubre de 2015; Aceptado: 16 de diciembre de 2016

Ajuste de la fuerza de infección del dengue

Adjusted force of Dengue infection

E. Aldana-Bermúdez, 1M. Restrepo-Triviño, 2A. Muñoz-Loaiza, 3

EA: Licenciado en Matemáticas y Computación. Ph. D. en Educación Matemática. Departamento de Didáctica de la Matemática y Didáctica de las Ciencias Experimentales. Universidad de Salamanca. Salamanca, España. eliecer@uniquindio.edu.co Universidad de Salamanca Departamento de Didáctica de la Matemática y Didáctica de las Ciencias Experimentales Universidad de Salamanca Salamanca Spain
MR: Licenciada en Matemáticas. Facultad de Educación, Universidad del Quindío. Armenia, Colombia. maribel.restrepo@hotmail.com Universidad del Quindío Facultad de Educación Universidad del Quindío Armenia Colombia
AM. Licenciado en Matemáticas. Ph. D. Ciencias Matemáticas. Especialista en Biomatemáticas, Facultad de Ciencias Básicas y Tecnologías, Universidad del Quindío. Armenia, Colombia. anibalml@hotmail.com Universidad del Quindío Facultad de Ciencias Básicas y Tecnologías Universidad del Quindío Armenia Colombia

RESUMEN

Objetivo

Plantear un modelo matemático hospedero vector para el ajuste de la fuerza de infección del dengue en una población variable con crecimiento logístico y ciclo de vida del mosquito con tasa de ovoposición periódica, considerando inmunidad a un serotipo.

Métodos

El modelo matemático propuesto está representado por ocho ecuaciones diferenciales a las que se les calcula la fuerza de infección por el método de las redes libres de escala.

Resultados

Se presenta una simulación del modelo matemático resuelto mediante un algoritmo implementado en el software MATLAB con datos obtenidos de la literatura. En la simulación se puede observar el crecimiento de la fuerza de infección del dengue a través del tiempo, donde esta varía de acuerdo al cambio de algunos parámetros.

Conclusiones

La fuerza de la infección aumenta en el tiempo, es decir, la tasa de nuevos casos crece, mostrando la necesidad de prevención en las personas, mediante el uso de telas metálicas, mosquiteros, repelentes, ropa adecuada entre otras medidas; control químico como larvicidas y adulticidas contra el vector, como también la eliminación de criaderos que interrumpan su ciclo de vida.

Palabras Clave:

Dengue, modelo, simulación, fuerza, infección, (fuente: DeCS, BIREME)..

ABSTRACT

Objective

To propose a vector-host mathematical model for adjusting the force of infection with dengue in a variable population with logistic growth and a mosquito life cycle with periodic oviposition rate, considering immunity to a serotype.

Methods

The proposed mathematical model is represented by eight differential equations that calculate the force of infection through the scale-free network method.

Results

A simulation of the mathematical model solved by an algorithm implemented in MATLAB based on data obtained from the literature was obtained. The growth of the force of dengue infection over time can be observed in the simulation, and it varies as some parameters change.

Conclusions

The force of infection increases over time, that is, the rate of new cases increases, which proves the need for prevention among inhabitants of high-risk areas through the use of metallic fabrics, mosquito nets, repellents, appropriate clothing, among other measures. Chemical control against the vector, such as larvicides and adulticides, as well as the elimination of breeding places to interrupt their life cycle are strongly advised.

Key Words:

Dengue, simulation, model, force, infection, (source: MeSH, NLM)..

El dengue es una enfermedad viral transmitida por la picadura del artrópodo, mosquito Aedes aegypti, con un incremento en las regiones tropicales como Asia, África, Centro y sur América 1. Anualmente se estiman para el caso del dengue entre 50-100 millones de casos y dengue hemorrágico entre 250 000 a 500 000 casos en el mundo 2. La mitad de la población del mundo vive en áreas de riesgo de infección y también en áreas populares de destinos turísticos 3, desde entonces hubo un incremento en el mundo, y este tiende a propagarse en nuevas áreas tal como las regiones de América, se cree que el dengue era una pandemia empezando desde Asia y regiones pacificas durante la segunda guerra mundial 3, ocurriendo así cambios ecológicos en el tiempo y que probablemente favorecieron el incremento en su expansión geográfica del vector y de la densidad. El alto número de individuos susceptibles (población local, soldados) y su amplio movimiento, tal vez crearon las condiciones de dispersión del virus.

No hay vacuna, aunque los ensayos clínicos van en marcha, ni ninguna otra medicación preventiva, sin embargo algunos tratamientos médicos para casos severos son efectivos, aunque el dengue sigue siendo una de las principales causas de mortalidad en niños en Tailandia y el Sureste de Asia 4. La prevención del dengue sobre el control del mosquito, aunque se está avanzando en el desarrollo de la vacuna el dengue y drogas antivirales, no tienen licencia pero están disponibles en el mercado, y una vacuna tendrá que ser tetravalente para evitar situaciones adversas de la mejora inmunológica.

En relación a los estudios de modelado, se han construido y analizado modelos matemáticos con base en sistemas de ecuaciones diferenciales ordinarias, ecuaciones diferenciales parciales, ecuaciones integro diferénciales y redes topológicas orientados a estudiar: la dinámica de transmisión del dengue clásico con población humana constante y población humana variable 4-8, la transmisión vertical en el mosquito 9, la dinámica de transmisión espacio-temporal 10, la dinámica de transmisión de los diferentes serotipos de virus 11,12, la dinámica poblacional estocástica 13,14, la dinámica de estructura poblacional 15-17, patrones espaciales 18 y el control del mosquito: utilizando el efecto de los adulticidas y larvicidas en las tasas de mortalidad constantes 19,20 y aplicando el Principio del Máximo de Pontryagin 21,22.

En algunos estudios se considera un modelo tipo SIR (susceptible, infeccioso, inmune) para la dinámica de transmisión del dengue en la población humana con una incidencia siguiendo el principio de acción de masas o la forma estándar.

La Fuerza de la Infección es un parámetro que indica una tasa de infección, lo introdujo el epidemiólogo Hugo Muench, en su obra Modelos Catalíticos en Epidemiología en el año 1959; al realizar un estudio dinámico y comparativo entre los procesos catalíticos en la Química y la Epidemiología. Desde estos estudios y por tradición se le llama: Fuerza de la Infección.

Entre otros factores relacionados con la Fuerza de la Infección están: la naturaleza del huésped, su ciclo de vida, su forma de transmisión, la virulencia y patogenicidad, el periodo infeccioso, el contagio del ambiente, conductas alimenticias, condiciones sanitarias, condiciones sociales, culturales y la densidad de población.

El Modelo

Se formula un modelo para la incidencia del dengue clásico, considerando crecimiento logístico del hospedero, mortalidad por la infección, inmunidad a uno de los serotipos del virus, tasa de ovoposición del mosquito, dependiente del tiempo y periódica, crecimiento logístico del mosquito, los estados del ciclo de vida del mosquito, tasas de mortalidad diferentes en cada estado de vida del mosquito, (Figura 1).

Dinámica del dengue clásico

Figura 1: Dinámica del dengue clásico

Las variables y parámetros del modelo son: número promedio de personas susceptibles, número promedio de personas infecciosas, : número promedio de personas inmunes a un serotipo de virus del dengue, : población promedio total variable, : número promedio de mosquitos no portadores del virus, : número promedio de mosquitos portadores del virus, : número promedio de huevos viables, : número promedio de larvas, número promedio de pupas en un tiempo t, respectivamente; K 1 capacidad de carga de las personas, K 2 capacidad de carga de los mosquitos, γ tasa de crecimiento de las personas, μ tasa de muerte natural en las personas, ω tasa de muerte por la enfermedad en las personas, α tasa promedio de picadura diaria, β. fracción de picadas infectadas infligidas por los mosquitos portadores del virus, :, p tasa de pupas que se desarrollan a mosquito adulto, Є tasa de muerte de los mosquitos maduros por factores ambientales, : población promedio de mosquitos maduros en un tiempo t,θ: tasa de recuperación de las personas infectadas, δ: tasa de huevos que se desarrollan a larvas, П tasa de eliminación de huevos por factores del ambiente, σ tasa de muerte de larvas por causas ambientales, η: tasa de muerte de pupas por causas ambientales, υ: tasa de larvas que se desarrollan a pupas, φ tasa de ovoposición dependiente del tiempo y periódica, ξ amplitud de oscilación estacional en la tasa de reproducción de los mosquitos, frecuencia angular del ciclo de proliferación del mosquito, correspondiente a un período de 52 semanas, ζ ángulo de fase para el ajuste del pico estacional para los mosquitos.

La dinámica se interpreta mediante las siguientes ecuaciones diferenciales ordinarias no lineales de acuerdo a el diagrama de compartimientos del proceso infeccioso, con

El término indica el crecimiento logístico de las personas, con capacidad de carga es la incidencia de dengue y el número de personas susceptibles que mueren por causa natural; luego, la variación de la población susceptible en el tiempo, está dada por la ecuación diferencial ordinaria (EDO):

La variación de la población infecciosa, se interpreta mediante la EDO:

indica el flujo de personas que mueren de forma natural, personas que mueren por la enfermedad y personas que adquieren inmunidad a un serotipo de virus de dengue.

El término expresa el número de personas inmunes a un serotipo de virus que mueren de forma natural, la variación de dicha población está dada por la ecuación diferencial:

El cambio en el tiempo de la población de mosquitos no portadores del virus, está dada por el flujo de mosquitos que entran, , menos la incidencia de mosquitos portadores del virus , menos el flujo de mosquitos no portadores del virus que mueren de forma natural,

De manera similar, el cambio en el tiempo de la población de mosquitos portadores del virus, se interpreta mediante la EDO:

donde, indica el flujo de mosquitos portadores del virus que mueren de manera natural. La EDO,

representa la variación de huevos viables con respecto al tiempo, dada el flujo de crecimiento logístico con tasa de ovoposición periódica y capacidad de carga de los mosquitos K2, menos el flujo de huevos no viables por condiciones naturales y el flujo de huevos viables que evolucionan a larvas,

Esta ecuación diferencial indica la variación de la población de larvas en el tiempo, donde, indica el flujo de larvas que mueren por causas naturales y que se desarrollan y pasan al estado de pupas.

En esta ecuación diferencial indica la población de pupas que mueren por causas naturales y que se desarrollan al estado de mosquito adulto.

En la EDO (9), se observa el cambio de la población total humana con respecto al tiempo, dado, por un flujo de crecimiento logístico , menos un flujo del total de personas que mueren por causa natural µN y el flujo de personas infecciosas que mueren a causa de la enfermedad.

De forma similar, esta ecuación diferencial, representa el cambio de la población total de mosquitos con respecto al tiempo, donde, ϵM es el flujo de mosquitos adultos que mueren por causas naturales. Se considera la función periódica,

con condiciones iniciales

y los parámetros del modelo son positivos.

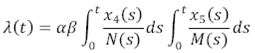
Se calcula la fuerza de la infección, es decir los nuevos casos por unidad de tiempo, usando redes libres de escala:

Donde α es la tasa de picadura diaria del mosquito; β es la proporción de picadura efectiva del mosquito en el ser humano, S M y I M son el número de mosquitos susceptibles e infectados respectivamente, y N H y N M son el número total de humanos y mosquitos respectivamente.

En las Tablas 1 y 2 se presentan los valores de los parámetros que intervienen en la fuerza de infección. En las Figuras 2 a 5 se observa que la fuerza de infección aumenta de acuerdo a los diferentes escenarios y en el tiempo, es decir, la tasa de nuevos casos crece, mostrando la necesidad de prevención en las personas, mediante el uso de telas metálicas, mosquiteros, repelentes, ropa adecuada entre otras medidas; control químico como larvicidas y adulticidas contra el vector, como también la eliminación de criaderos que interrumpan su ciclo de vida. También es importante tomar medidas con las personas infectadas, debido a que si tratan de manera adecuada, se reduce la transmisión del virus.

Tabla 1: Valores de los parámetros

Tabla 2: Valores de los parámetros

Escenario 1

Figura 2: Escenario 1

Escenario 2

Figura 3: Escenario 2

Escenario 3

Figura 4: Escenario 3

Fuerza de infección del dengue

Figura 5: Fuerza de infección del dengue

REFERENCIAS

  1. 1. Bisset J, Blanco S, Braga I, Coto H, Massuh H, Moncayo A, Nathan M, Orellano P, Vazquez Cangas J, Zerba E. et al. Protocolo para determinar la susceptibilidad o resistencia a insecticidas de mosquitos de la especie Aedes aegypti, Documento propuesto por la Red Latinoamericana de Control de Vectores; 2005. 🠔
  2. 2. Clark G. G., Situación Epidemiológica del dengue en América. Desafíos para su Vigilancia y Control. Salud Publica México. 1995; 37:5-11. 🠔
  3. 3. Caetano MAL, Yoneyama T. Optimal and sub-optimal control in dengue epidemics. Optimal control applications and methods. 2001; 22:63-73. 🠔
  4. 4. Busenberg S, Cooke K. Vertically transmitted diseases, Berlin: Springer - Verlag; 1988. 🠔
  5. 5. Dye C. Models for the population dynamics of the yellow fever mosquito, Aedes aegypti. Journal of Animal Ecology, 1984; 53:247-268. 🠔
  6. 6. Espinoza FG, Dinámica de transmisión del dengue en la Ciudad de Colima, México. Tesis. Universidad de Colima; 2002. 🠔
  7. 7. Esteva L, Vargas C. A model for dengue disease with variable human population. Journal Mathematical Biology. 1999; 38:220. 🠔
  8. 8. Mendes LP, Codeco TC, Massad E, Struchiner CJ. Uncertainties regarding dengue modeling in Rio de Janeiro, Brazil. Memorias del Instituto Oswaldo Cruz. 2003; 98 (7):871-878. 🠔
  9. 9. Esteva L, Vargas C. Influence of vertical and mechanical transmission on the dynamics of dengue disease. Mathematical Biosciencie. 2000; 167:51-64. 🠔
  10. 10. Takahashi LT, Maidana NA, Ferreira JR. O Aedes e sua onda. Biomatemática. 2003; 8:33-44. 🠔
  11. 11. Esteva L, Vargas C. Coexistence of different serotypes of dengue virus, Journal Mathematical Biology, 2003; 46:31-47. 🠔
  12. 12. Feng Z, Velasco Hernández J X. Competitive exclusión in a vector host model for the dengue fever. Journal Mathematical Biology. 1997; 35:523-544. 🠔
  13. 13. Marcelo O, Solari HG, Schweigmann N. A stochastic population dynamics model for Aedes aegypti: Formulation and application to a city with temperate climate. Bulletin of Mathematical Biology. 2006; 🠔
  14. 14. Ruiz RJ. Modelo estocástico de transmisión del dengue en poblaciones estructuradas. Tesis doctoral. Tecoman, Colima, México; 2004. 🠔
  15. 15. Buratinni MN, Chen M, Chow A, Coutinho FAB, Goh KT, Lopez LF, Ma S, Massad E. Modelling the control strategies against dengue in Singapore. Epidemiology and Infection. 2008; 136(3):309-319. 🠔
  16. 16. Chowell G, Diaz Dueñas P, Miller JC, Alcazar Velazco A, Hyman JM, Fenimore PW, Castillo Chavez C, Estimation of the reproduction number of dengue fever from spatial epidemic data. Mathematical Biosciences. 2007; 208(2):571-589. 🠔
  17. 17. Dumont Y, Chiroleu F, Domerg C, On a temporal model for the Chikungunya disease: modeling, theory and numeric. Mathematical Biosciences. 2008; 213(1):80-91. 🠔
  18. 18. Bartley LM, Donelly CA, Garnett GP. The seasonal pattern of dengue in endemic areas: Mathematical models of mechanisms. Journal Transactions of the Royal Society of Tropical Medicine and Hygiene. 2002; 96(4):387- 397. 🠔
  19. 19. Yang HM, Dinâmica da transmissão da dengue e delineamento de mecanismos de controle e prevenção, UNICAMP/IMECC-DMA. 2010; 63-89. 🠔
  20. 20. Newton EAC, Reiter PA. Model of the transmission of dengue fever with an evaluation of the impact of Ultra Low volume (ULV) insecticide applications on dengue epidemics. American Journal of Tropical Medicine and Hygiene. 1992; 47:709-720. 🠔
  21. 21. Greenhalgh D. Some results on optimal control applied to epidemics, Mathematical. Biosciencie. 1986; 88:125-158. 🠔
  22. 22. Gersovitz M, Hammer JS. The economical control of infectious diseases, The Economic Journal. 2004; 114:1-27. 🠔