Revista de Salud Pública
0124-0064
Instituto de Salud Publica, Facultad de Medicina - Universidad Nacional de Colombia
https://doi.org/10.15446/rsap.v19n4.51787

Recibido: 10 de julio de 2015; Revision Received: 23 de mayo de 2016; Aceptado: 17 de marzo de 2017

Desarrollo socio-cognitivo en la primera infancia: los retos por cumplir en salud pública en la zona Sabana Centro y Boyacá

Socio-cognitive development in early childhood: the challenges to reach in public health at the area of Sabana Centro and Boyacá

J. Giraldo-Huertas, 1L. Cano, 2A. Pulido-Álvarez, 3

JG: Psicólogo. M. Sc. Psicología con énfasis en Desarrollo Cognitivo. Facultad de Psicología Universidad de la Sabana. Bogotá, Colombia. juangh@unisabana.edu.co Universidad de la Sabana Facultad de Psicología Universidad de la Sabana Bogotá Colombia
LC: MD. Centro de Estudios e Investigación en Salud, Fundación Santa Fe de Bogotá. Bogotá, Colombia. canoluzhelena@gmail.com Fundación Santa Fe de Bogotá Bogotá Colombia
AP: MD. M. Sc. Salud Pública. Centro de Estudios e Investigación en Salud, Fundación Santa Fe de Bogotá. Bogotá, Colombia. adriana.pulido@fsfb.org.co Fundación Santa Fe de Bogotá Bogotá Colombia

RESUMEN

Objetivo

La necesidad de construir sistemas de salud pública que garanticen el desarrollo infantil integral, permite realizar una caracterización de los factores que favorecen o limitan el desarrollo integral de niñas y niños menores de seis años, para identificarlos como componentes necesarios a ser tenidos en cuenta en políticas públicas.

Método

Se realizó una encuesta a 1 177 madres o cuidadores de niños menores de seis años en 16 municipios de Cundinamarca y Boyacá, y se midió el respectivo desarrollo socio-cognitivo de los menores participantes con la tabla Haizea-Llevant y tareas relacionadas con el uso de sistemas de conocimiento intra-específicos.

Resultados

Mediante análisis estadísticos bivariados y multivariados se encontró que los factores que resultan significativos para atender a una propuesta de salud pública que busque el desarrollo integral de los niños menores de seis años son: las condiciones socio-económicas de los hogares, las complicaciones en el parto, la edad de inicio de alimentos sólidos, los tiempos de trabajo de las madres, la reglas sobre rutinas diarias y las prácticas de juego: lectura, pintura y actividades deportivas.

Conclusiones

Un sistema de salud que reconozca los resultados presentados, debería ofrecer atención especializada que procure el bienestar en la infancia y la niñez temprana, lo cual solo puede lograrse si las políticas de salud comienzan a considerar factores de orden doméstico y cotidiano que no pueden estar por fuera de políticas públicas, asegurando diversos niveles de intervención, impacto social y particular.

Palabras Clave:

Desarrollo del niño, familia, sistemas nacionales de salud, evaluación, (fuente: DeCS, BIREME).

ABSTRACT

Objective

The need to build public health systems that ensure comprehensive child development enables a characterization of the factors that favor or restrict the integral development of children under the age of six. That is in order to identify them as necessary components to be taken into account in public policies.

Method

A survey was carried out with 1 177 mothers or family caregivers of children under six years old in 16 municipalities of Cundinamarca and Boyacá, and the respective socio-cognitive development of their own sons and daughters was measured with the Haizea-Llevant table and also tasks related to the use of core knowledge systems.

Results

Through bivariate and multivariate statistical analyzes, it was found that the factors that are significant to address a public health proposal that seeks the integral development of children under six years of age are: socio-economic conditions of households, complications in childbirth, the starting age of solid foods, mothers' working shifts, rules on daily routines and play practices such as reading, painting and sport activities.

Conclusions

A health system that acknowledges the results presented should offer specialized care that seeks welfare in childhood and early childhood, which can only be achieved if health policies begin to consider domestic and daily factors that cannot be excluded from public policies and it should guarantee different levels of intervention of social and particular impact.

Key Words:

Development, family, public health systems, evaluation, (source: MeSH, NLM).

Desde hace décadas se presentan iniciativas en-diversos países para que los servicios y todo el sistema de salud pública se orienten hacia la atención especializada que procure el bienestar en la infancia y la niñez temprana 1. Específicamente, desde hace más de 10 años en Estados Unidos se adelantan esfuerzos para lograr un sistema de salud pública que se encargue de garantizar el desarrollo infantil 2. No son menores los esfuerzos en Latinoamérica y en Colombia; sin embargo, la continuidad de las iniciativas y los efectos inmediatos que se esperan por cuenta de los cambios de gobierno, entre otros factores, hacen cada vez más relevante el intento por considerar que: la salud de los niños y las niñas corresponde al alcance individual o grupal en que son capaces o están habilitados para: a. Desarrollar y realizar todo su potencial; b. Satisfacer sus necesidades, y; c. Desarrollar capacidades que les permitan interactuar exitosamente y plenamente con sus entornos biológicos, físicos y sociales 3.

En esta perspectiva, es posible declarar que para un sistema de salud que procure un desarrollo integral de sus usuarios menores de edad, el desarrollo infantil no puede realizarse bajo la atención primaria que actualmente se ofrece, sino a través del seguimiento y registro de diferentes momentos de la vida cotidiana, los cuales a su vez, forman parte de la cultura que facilita la transmisión y construcción de conocimientos y experiencias que alimentarían los servicios y mejoras de dicho sistema 4,5. Evidencia reciente nos permite incluir distintas perspectivas en la transformación de los sistemas de salud de la región 6,7. Por tanto, es posible discutir la integralidad de la atención en salud para procurar que el efecto de las habilidades y esfuerzos individuales de niños y niñas menores de 6 años, superen los efectos del estatus socioeconómico de los padres para predecir el éxito académico y laboral futuro 8 y así mantener la enorme influencia que pueden tener las actividades parentales en el desarrollo de habilidades cognitivas durante los primeros años de vida 9-12.

El objetivo central de esta investigación se orientó a identificar los componentes que, en la construcción de un sistema integral de salud, pueden ofrecerse de manera especializada y dirigidos hacia el bienestar y el mayor desarrollo del potencial posible de niños y niñas menores de seis años, en la zona Sabana Centro y Boyacá.

MÉTODO

La investigación contó con un diseño de corte transversal, con un componente descriptivo y uno analítico que se adelantó en una muestra representativa de dos regiones: 11 municipios de la zona Sabana Centro de Cundinamarca y cinco municipios de Boyacá.

Para el diseño del operativo de obtención de información en hogares, se utilizó un diseño muestral de tipo probabilístico, estratificado y por conglomerados. En las regiones elegidas, se utilizó el método de muestreo aleatorio simple sin reemplazamiento para la selección de las manzanas. La muestra se calculó para ser representativa por región (conjunto de municipios del departamento).

La encuesta de hogares se aplicó entre noviembre del 2013 y febrero de 2014 a 1 177 niños y niñas menores de 6 años, 49 % niñas y 50,9 % niños. La evaluación del desarrollo socio-cognitivo se aplicó a 1 173 niñas y niños. La distribución por grupos de edad y por Departamento se muestra en la Tabla 1.

Tabla 1: Características de las niñas y los niños encuestados en función del Departamento, sexo y edad

Instrumentos

Encuesta

Encuesta estructurada sobre las características de las familias y los niños y niñas menores de 6 años, con nueve módulos y 158 preguntas que respondieron la madre o el/ la cuidador principal de niño o niña. El tiempo de diligenciamiento de la encuesta fue de una hora.

Instrumentos y métodos para la evaluación del desarrollo socio-cognitivo

El tiempo para la aplicación de estas pruebas fue de máximo una hora y 30 minutos por niño o niña. Como referencia para elegir los ítems de observación se utilizó la tabla Haizea-Llevant de observación del desarrollo para los niños y niñas de cero a 36 meses, tal y como se ha sugerido en diversos estudios 13,14.

Además de la tabla Haizea-Llevant y a partir 28 meses de edad, se complementó con la aplicación de tareas que tienen que ver con el uso de sistemas de representación intra-específicos o Core Knowledge Systems 15,16 y tareas relacionadas con el desarrollo socio-cognitivo 17 (Tabla 2). Estos sistemas centrales o nucleares de conocimiento se describen como "mecanismos para representar y razonar sobre determinados tipos de entidades y eventos de importancia ecológica" 16, presentes en todos los infantes de la especie y que se enmarcan en cinco sistemas centrales: uno para representar objetos inanimados y sus interacciones mecánicas; otro de agentes y sus acciones dirigidas a metas; conjuntos y sus relaciones numéricas de ordenamiento, adición y sustracción; uno para los lugares en una disposición espacial continua y sus relaciones geométricas; y finalmente para identificar miembros que pertenecen a un grupo social en relación con miembros de otro grupo y para guiar las interacciones sociales con miembros dentro y fuera del grupo.

Tabla 2: Descripción de las tareas relacionadas con el desarrollo Socio-Cognitivo

Procesamiento y análisis de la información

Se adelantó un análisis exploratorio de los datos con el fin de observar las características y distribución, realizar transformaciones y examinar otros aspectos como datos extremos, inconsistencias y desviaciones. Posteriormente, con la información recolectada en las encuestas y evaluaciones del desarrollo, se realizaron análisis descriptivos uni y bivariados y se construyeron índices para el análisis de variables, reuniendo diferentes variables mediante la técnica de Análisis de Correspondencia Conjunta (Joint) o ACJ: condición socio-económica, capital humano, riesgos alrededor de la vivienda, índice nutricional e Índice de Desarrollo Socio-Cognitivo (IDSC).

Para la creación del IDSC se utilizó la escala de desarrollo de Haizea-Llevant y se asignaron puntajes de 0 a 3 según la edad (en meses) del niño. Esta escala se utilizó para los niños de 0 a 36 meses. En esta escala un niño de 0 a 6 meses puede alcanzar un puntaje máximo de 55 puntos, un niño de 7 a 13 meses alcanzará máximo 65 puntos, un niño de 14 a 20 meses puede lograr hasta 55 puntos, un niño de 21 a 27 meses logrará máximo 45 puntos y un niño de 28 a 36 meses no pasará de 69 puntos. Para las tareas de evaluación del desarrollo cognitivo en niños de 14 a 36 meses, que consta de nueve ítems, se asignaron a cada niño un puntaje máximo de nueve puntos y para niños y niñas de 37 a 71 meses sea-signaron a los niños un puntaje máximo de 48 puntos.

RESULTADOS

A continuación se presentan los resultados generales y las variables que afectan de manera significativa al índice de desarrollo socio-cognitivo (IDSC), en el siguiente orden: Distribución general del IDSC en función del género, Condiciones socioeconómicas y servicios que reciben los hogares, Complicaciones durante el parto, Edad de inicio de alimentos sólidos, Tiempos de trabajo de las madres, Frecuencia de reglas sobre rutinas diarias y Prácticas de juego, lectura, pintura y actividades deportivas reportadas.

Distribución general del IDSC y género

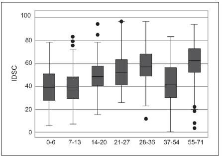
El análisis de los resultados generales muestra que en promedio se observan el 49,6 % de las habilidades y comportamientos que se esperan en relación con el desarrollo socio- cognitivo. Sin embargo, este mismo análisis general indica que el 80 % de los niños y niñas participantes no alcanza más del 65 % de las habilidades y comportamientos que se esperan en relación con el desarrollo socio-cognitivo. Se encontraron diferencias en el índice de desarrollo socio-cognitivo (IDSC) entre grupos de edad (Figura 1) y entre niños y niñas (p<0,001). En promedio las niñas mostraron 4,7 más puntos en el IDSC que los niños.

Índice de desarrollo socio-cognitivo (IDSC) en función de los gruposetarios de niños y niñas participantes.

Figura 1: Índice de desarrollo socio-cognitivo (IDSC) en función de los gruposetarios de niños y niñas participantes.

Condiciones socioeconómicas y servicios que reciben los hogares

El 78,4 % de la población encuestada pertenece a estratos socio-económicos 1 y 2 de acuerdo con el recibo de la electricidad y no se encontraron resultados consistentes con la calificación Sisbén (Sistema de Identificación de Potenciales Beneficiarios de Programas Sociales) (Tabla 3). Para hacer un análisis diferente al dirigido sobre los estratos socio-económicos, se construyó un índice socioeconómico con 11 variables sobre las características de la vivienda y los servicios públicos y se distribuyó la población en tres estratos (Tabla 4). Al cruzarlo con el IDSC se encontraron diferencias (p<0,05). En comparación con los niños de posición social baja, los niños con posición social media tienen en promedio 2.8 más puntos, y los de posición social alta tienen en promedio 6,5 más puntos en el IDSC.

Tabla 3: Condiciones socioeconómicas y servicios

Tabla 4: Distribución de la población por estratos de acuerdo con los índices construidos con diferentes variables (frecuencias y porcentajes)

Cuando se compara el IDSC según el nivel educativo del cuidador se encuentran diferencias significativas. En promedio el IDSC aumenta 4,1 puntos cuando el cuidador tiene estudios superiores o más (p<0,001), aumenta en promedio 3,2 puntos cuando el cuidador tiene secundaria completa o más (p=0,003) y aumenta en promedio 2,9 puntos cuando tiene secundaria incompleta o más (p=0,033).

Se indagó sobre eventos importantes en los hogares en los últimos doce meses. La mayoría reportó ningún evento (64 %). De los siguientes eventos reportados se confrontaron con el IDSC y se encuentran diferencias significativas por crisis económica (p=0,027). En promedio en hogares que reportan crisis económica el puntaje disminuye 3,9 puntos en comparación con quienes no reportan ningún evento. Adicionalmente, se encontró diferencias entre el IDSC y asistir entre semana a un hogar comunitario, guardería o preescolar (p<0,001). En promedio los que no asisten tuvieron 7,7 menos puntos comparados con los que sí asisten a un hogar comunitario, guardería o preescolar.

Complicaciones en la labor prolongada de parto

En la encuesta se indagó por complicaciones en el parto. La complicación más frecuente (19,1 %) fue la labor prolongada del parto (contracciones fuertes y regulares que duraron más de 12 horas). Se encontraron diferencias entre el IDSC y complicaciones por labor prolongada (p=0,027). En promedio el IDSC fue 3,1 puntos más bajos en niños cuyas madres tuvieron labor prolongada del parto. Otra complicación menos frecuente fue la lesión del bebé (2,7 %), pero se encontraron diferencias entre esta variable y el IDSC (p=0,019). En promedio el IDSC fue 7,9 puntos más bajos en los niños quienes tuvieron lesión en el parto.

Edad de inicio de alimentos sólidos

El 36 % de las madres o cuidadores introdujo al bebé alimentos líquidos diferentes a la leche materna antes de los 6 meses, el 14,9 % introdujo alimentos blandos antes de los seis meses y el 31,2 % introdujo alimentos sólidos antes de los ocho meses. Al cruzar con el IDSC solo se encontraron diferencias con la edad de inicio de alimentos sólidos (p=0,003). En promedio el puntaje del IDSC aumenta 0,7 por cada mes tardío de inicio de alimentos sólidos.

Tiempo de trabajo de las madres

La encuesta reportó que el 88,8 % de las madres de niños menores de seis años trabajan actualmente o trabajaron recientemente, y de ellas el 62,5 % como obreras o empleadas particulares y un 13 % como empleadas por cuenta propia. En el último trabajo lo han hecho 62 % durante 6 o 7 días a la semana; 63 % de 5 a 8 horas al día; 26 % trabaja de 9 a 12 horas y 3 % de 13 a 18 horas al día. El 8 % de las madres trabaja menos de cuatro horas al día. Al cruzar con IDSC se encontraron diferencias significativas con los días de la semana que trabaja la madre (p=0,043). En promedio, el IDSC disminuye 2,5 en los niños de las madres que trabajan seis o siete días, en comparación con las que trabajan cinco días o menos.

La frecuencia de reglas sobre rutinas diarias

En medio de la alta distribución de reglas relacionadas con los procesos básicos como dormir y comer, las relacionadas con los TICS (Tecnologías de información y comunicaciones) son menores (Figura 2). Además, se halló una asociación significativa entre el IDSC y respuestas a la pregunta si los niños tienen reglas. En términos generales, comparados con los que SÍ tienen reglas, los niños que no tienen reglas presentaron menos puntaje en el IDSC (p<0,05).

Distribución respuestas de los cuidadores en función de actividades que presentan o no reglas en casa

Figura 2: Distribución respuestas de los cuidadores en función de actividades que presentan o no reglas en casa

Las prácticas de juego, lectura, pintura y actividades deportivas reportadas

En cuanto a las respuestas de los cuidadores relacionadas con actividades escolarizantes, se hallaron relaciones y diferencias significativas en el IDSC al comparar si durante los últimos siete días se reportaba la lectura de cuentos o historias «NUNCA» y «uno o dos veces por semana» (p=0,035), al igual que para realizar una actividad cultural fuera del hogar como ir a ludoteca, biblioteca, museo, recitales, cine o teatro «NUNCA» y «más de una vez al día» (p<0,001). También se encuentra para jugar con él (ella) en una plaza o parque público «NUNCA» y «uno o dos veces por semana» (p=0,045) y entre «NUNCA» y «tres a cuatro veces» (p=0,046); o si lo (la) llevan a jugar con otros niños «NUNCA» y «uno o dos veces por semana » (p=0,025) y entre «NUNCA» y «tres a cuatro veces» (p<0,001); pintar o escribir con él (ella) «NUNCA» y todas las demás respuestas («una o dos veces por semana»: p<0,001; «tres a cuatro veces»: p=0,005; «cinco a sietes veces»: p=0,029; «Más de una vez diaria»: p=0,018). De igual manera para realizar alguna actividad deportiva entre «NUNCA» y «más de una vez al día» (p=0,012) y para armar torres con bloques o piezas «NUNCA» y «una o dos veces por semana» (p=0,026).

DISCUSIÓN

El análisis general de los resultados revelan una condición que debe atenderse en procura de mejores servicios de salud pública, asistencia social y educación que se orienten a elevar los índices reportados y aprovechar los procesos de aprendizaje y diversos factores sociales y domésticos relacionados con el desarrollo integral, que los sistemas de salúd publica no deberían dudar en incluir en la gestión y procesamiento de datos para tomar decisiones informadas 8,9. Tales factores, al ser considerados en dichos sistemas, pueden tener un efecto inmediato si se coordinan desde los esfuerzos e intervenciones dirigidos a cada hogar en las zonas de cobertura y participación en la investigación 10-12.

Un menor puntaje en el IDSC en madres que trabajan más de 5 días a la semana, reitera la evidencia internacional sobre la influencia negativa de los trabajos en horarios no estándar de las madres en la salud y el efecto de esos horarios en el desarrollo de niños y niñas, observados en mayor frecuencia de reportes de dificultades cognitivas y del comportamiento, salud mental, sobrepeso y obesidad, entre otros 18. Esta evidencia indica la importancia de ajustar las políticas económicas, sociales y del lugar de trabajo para mejorar las condiciones laborales y posibilitar que las madres pasen suficiente tiempo con sus hijos. Esta evidencia es un fuerte argumento para proveer apoyos o subsidios a los ingresos y provisiones para que las familias con niños puedan acceder al cuidado en casa o desde el cuidado institucional formalizado que se oferte en las zonas de participación.

El hallazgo de un menor puntaje en el IDSC en los niños a los que se les introdujo alimentos sólidos más tempranamente, puede estar relacionada con la duración de la lactancia materna exclusiva, aunque en el presente estudio esta última variable no mostró diferencias en el puntaje del IDSC. La literatura ha mostrado que la duración más corta de la lactancia materna está asociada con menores puntajes en pruebas psicométricas aplicadas a los 13 meses y a los 5 años de edad 19 y que la introducción temprana de leche diferente a la materna está asociada con un coeficiente verbal reducido luego de ajustarse por distractores sociales y perinatales 20. Con estos hallazgos, se refuerza la recomendación de promover la lactancia materna exclusiva por seis meses y el inicio de la alimentación complementaria después de los seis meses 21. Para que las madres puedan llevarlo a cabo, es necesario que en los hogares, los ambientes laborales y en los espacios públicos existan condiciones que faciliten la lactancia materna y retarden el inicio de alimentos diferentes a la leche materna para después de los 6 meses de edad.

Frente a las complicaciones de parto prolongado y lesión del bebe relacionadas con un menor puntaje en el IDSC, se corrobora hallazgos previos en la literatura que muestran que los niños que han tenido complicaciones del parto que pueden llevar a hipoxia perinatal (como las mencionadas) tienen menor desempeño en pruebas neuropsicológicas a la edad de siete años, luego de controlar por varios factores de confusión 22. La recomendación en salud pública es garantizar el acceso oportuno a controles prenatales y la atención de parto con calidad, para evitar este tipo de complicaciones que posteriormente llevan a problemas de salud y del desarrollo cognitivo de niños y niñas.

Los demás resultados se mantienen en la dirección de las investigaciones que indican una enorme variabilidad e influencia de actividades cotidianas y parentales en el desarrollo de habilidades socio-cognitivas durante los primeros años de vida 8-12.

Un sistema de salud que reconozca los resultados presentados, debería ofrecer atención especializada que procure el bienestar en la infancia y la niñez temprana, lo cual solo puede lograrse si las políticas de salud comienzan a considerar factores de orden doméstico y cotidiano que no pueden estar por fuera de políticas públicas con diversos niveles de intervención e impacto social y familiar 1,22.

Así, el mayor aporte de estos resultados está en ofrecer indicadores validos y confiables para el estudio y seguimiento en cada familia y comunidad de los Departamentos y zonas geográficas en donde se hizo la investigación.

Nuestras limitaciones se hallan en las propias de un estudio de corte transversal que no permite establecer relaciones causales ni temporalidad o dinámica de la relación entre las variables presentadas. La representatividad por conjunto de municipios de cada Departamento (Cundinamarca y Boyacá) no nos permite mostrar resultados por municipio para realizar recomendaciones puntuales dirigidas a las estrategias políticas y públicas de los gobernantes municipales

Acknowledgements

Agradecimientos:

Los autores agradecen en diferentes funciones y niveles de apoyo administrativo, técnico y científico a Francisco Lamus Lemus, Rosa Margarita Durán, Maria Eugenia Flórez, Camilo Correal, Omar Rojas, SEI S.A. - Sistemas Especializados de Información, Catalina González Uribe y Mauricio Pérez Flórez.

REFERENCIAS

  1. 1. Ministry of Social Affairs and Health, Finland. Leppo K, Ollila E, Pena S, Wismar M, Cook S. Health in All Policies: Seizing opportunities, implementing policies. Disponible en: Disponible en: https://goo.gl/Dnt3uv . Consultado septiembre del 2014. [URL] 🠔
  2. 2. George Washington University Medical Center, Center for Health Services Research and Policy, Rosenbaum S, Proser M, Sonosky C. Health policy and early child development: An overview. Disponible en: Disponible en: https://goo.gl/pgzy3i . Consultado noviembre de 2014. [URL] 🠔
  3. 3. National Research Council and Institute of Medicine, Committee on Evaluation of Children's Health. Children's health, the Nation's wealth: Assessing and improving child health. Disponible en: https://goo.gl/YWKykM. Consultado agosto de 2013. [URL] 🠔
  4. 4. Cristancho S, Vining J. Perceived intergenerational differences in the transmission of traditional ecological knowledge in two indigenous groups from Colombia and Guatemala. Culture Psychology. 2009; 15(2): 229-254. 🠔
  5. 5. Rogoff B, Correa-Chavez M, Silva KG. Cultural variation in children's attention and learning. In: Gernsbaber MA, Pew RW, Hough LM, Pomerantz JR (Eds). Psychology and the real world: Essays illustrating fundamental contributions to society. New York, NY: Worth Publishers; 2011. 🠔
  6. 6. López-Cevallos D, Chi C, Ortega F. Consideraciones para la transformación del sistema de salud del Ecuador desde una perspectiva de equidad. Rev. Salud Pública (Bogotá). 2014; 16 (3): 346-359. 🠔
  7. 7. Morales-Sánchez LG, García-Ubaque JC. Gestión de la crisis del sistema de salud en Bogotá. Rev. Salud pública (Bogotá) 2017; 19 (1): 129-133. 🠔
  8. 8. Johnson P, Kossykh Y. Early years, life chances and equality: a literature review, Research report 7. Frontier Economics. Disponible en: Disponible en: https://goo.gl/9e2nyG . Consultado abril de 2010. [URL] 🠔
  9. 9. Lugo-Gill J, Tamis-LeMonda C. Family Resources and Parenting Quality: Links to Children's Cognitive Development across the First 3 years. Child Development. 2008; 79: 1065-1085. 🠔
  10. 10. Melhuish E. Impact of the Home Learning Environment on Child Cognitive Development: Secondary Analysis of Data from "Growing Up in Scotland". Scottish Government. Disponible en: Disponible en: https://goo.gl/JALkpv . Consultado febrero de 2013. [URL] 🠔
  11. 11. Melhuish E, Sylva K, Sammons P, Siraj-Blatchford I, Taggart B, Phan M. Effects of the Home Learning Environment and preschool center experience upon literacy and numeracy development in early primary school. Journal of Social Issues 2008; 64: 157-188. 🠔
  12. 12. Melhuish E, Sylva K, Sammons P, Siraj-Blatchford I, Taggart B, Phan M, Malin A. Preschool influences on mathematics achievement. Science 2008; 321(5893): 1161-1162. 🠔
  13. 13. Iceta A, Yoldi M. Desarrollo psicomotor del niño y su valoración en atención primaria. Anales del Sistema Sanitario de Navarra 2002; 25(2): 35-43. 🠔
  14. 14. Fuentes-Biggi J, Fernandez I, Alvarez E. Escalas Haizea-Llevant para la evaluación del desarrollo de 0 a 6 años. Generalitat de Cataluña: Vitoria; 1992. 🠔
  15. 15. Spelke E. Core knowledge. American Psychologist 2000; 55: 1233-1243. 🠔
  16. 16. Kinzler KD, Spelke, ES. Core systems in human cognition. Progress in Brain Research 2007; 164: 257-264. 🠔
  17. 17. Callaghan T, Moll H, Rakoczy H, Warneken F, Liszkowski U, Behne T, Tomasello M. Early Social Cognition in Three Cultural Contexts. Monographs of the society for research in child development 2011; 76(2): 1-142. 🠔
  18. 18. Li J, Johnson SE, Han W J, Andrews S, Kendall G, Strazdins L, Dockery A. Parents'Nonstandard Work Schedules and Child Wellbeing. A Critical Review of the Literature. Journal of Primary Prevention 2014; 35(1): 53-73. 🠔
  19. 19. Angelsen NK, Vik T, Jacobsen G, Bakketeig LS. Breast feeding and cognitive development at age 1 and 5 years. Archives of disease in childhood 2001; 85(3): 183-188. 🠔
  20. 20. Oddy WH, Kendall GE, Blair E, De Klerk NH, Stanley FJ, Landau LI, Silburn S, Zubrick S. Breast feeding and cognitive development in childhood: a prospective birth cohort study. Paediatric and Perinatal Epidemiology 2003; 17(1): 81-90. 🠔
  21. 21. World Health Organization. Global Consensus Meeting on Indicators for assessing infant and young child feeding practices. Disponible en: Disponible en: https://goo.gl/xPyHC4 . Consultado noviembre de 2014. [URL] 🠔
  22. 22. Seidman LJ, Buka, SL, Goldstein, JM, Horton, NJ, Rieder, RO, Tsuang, MT. The relationship of prenatal and perinatal complications to cognitive functioning at age 7 in the New England cohorts of the National Collaborative Perinatal Project. Schizophrenia Bulletin 2000; 26(2): 309-321. 🠔
Recibida por Colciencias, convocatoria 537 de 2011 y de la Unión Temporal "Alianza por un Inicio Parejo de la Vida" conformada por: Universidad de la Sabana, Fundación Corona, Fundación Santa Fe de Bogotá, Organización para la Excelencia en Salud - OES.