Acta Agronómica
0120-2812
Universidad Nacional de Colombia
https://doi.org/10.15446/acag.v71n1.100854

Recibido: 2 de febrero de 2022; Aceptado: 7 de diciembre de 2022

Caracterización fisicoquímica y propiedades morfológicas de quitina y quitosano de Bombyx mori L. Híbrido Pílamo 1

Physicochemical characterization and morphological properties of chitin and chitosan from Bombyx mori L. Hybrid Pílamo 1

D. Guerreo Álvarez, 1L. Baena, 1

Universidad Tecnológica de Pereira. Pereira, Colombia. gguerrero@utp.edu.co, lmbaena@utp.edu.co Universidad Tecnológica de Pereira Universidad Tecnológica de Pereira Pereira Colombia Colombia

Resumen

El uso de biomateriales como la quitina y el quitosano ha venido aumentando en los últimos años y con esto sus aplicaciones biotecnológicas. Una fuente alternativa de obtención de estos son los insectos, entre los que se incluye el Bombyx mori L. (gusano de seda). En esta investigación se obtuvieron y caracterizaron quitina y quitosano a partir del Bombyx mori L Hibrido Pilamo 1 que se produce en el departamento de Risaralda, Colombia. Los biomateriales se extrajeron con NaOH al 10 % y HCl 1N y se caracterizaron por infrarrojo (IR-TF), microscopia electrónica de barrido (SEM), espectroscopía de rayos x de energía dispersa (EDS), análisis termogravimétrico (TGA) y calorimetría diferencial de barrido (DSC). El contenido de quitina en las crisálidas fue del 2.1 % en base seca. En el espectro IR de la quitina se encontraron las señales características a 1618 cm-1 y 1655 cm-1 correspondientes al estiramiento de C-N, vibración C=O de la amida I, a 1545 cm-1 del estiramiento de N-H de la amina II y a 3256 cm-1 de los grupos NH2 y OH. El espectro IR del quitosano evidenció la desacetilación por la señal a 1590 cm-1 y la señal a 1654 cm-1, presentando una mayor intensidad que la quitina debido al aumento de grupos NH2 La acetilación para la quitina fue del 61.83 % y para quitosano del 12.37 %; este resultado es de gran importancia considerando su relación con la solubilidad. Las microscopias mostraron diferentes morfologías superficiales que pueden deberse a la fuente de obtención, el método de extracción o grado de desacetilación. Las principales características de la quitina y quitosano obtenidos coinciden con estudios previos reportados para otras razas de gusano de seda, sin embargo, es necesario continuar la investigación, para establecer si es posible emplear al Bombyx mori L. Híbrido Pílamo 1 como una fuente promisoria de estos biomateriales disponible en la región.

Palabras clave:

biomateriales, quitina, quitosan, Bombyx mori.

Abstract

The use of biomaterials such as chitin and chitosan has been increasing in recent years, and with these, their biotechnological applications. An alternative source of obtaining them are insects, including Bombyx mori L. (silkworm). In this research, chitin and chitosan were obtained and characterized from Bombyx mori L. Hybrid Pílamo 1 that is produced in the department of Risaralda, Colombia. Biomaterials were extracted with 10 % NaOH and 1N HCl, and characterized by infrared (IR-TF), scanning electron microscopy (SEM), energy-disperse x-ray spectroscopy (EDS), thermogravimetric analysis (TGA) and differential scanning calorimetry (DSC). The chitin content in the chrysalis was 2.1 % on a dry basis. In the IR spectrum of chitin, the characteristic signals were found at 1618 cm-1 and 1655 cm-1, corresponding to C-N stretching and C=O vibration of amide I, respectively, at 1545 cm-1 of N-H stretching of amine II, and at 3256 cm-1 of the NH2 and OH groups. The IR spectrum of chitosan showed deacetylation for the signals at 1590 cm-1 and 1654 cm-1, presenting a higher intensity than chitin due to the increase in NH2 groups. The acetylation for chitin was 61.83 % and for chitosan, 12.37 %. This result is of great importance considering its relationship with solubility. Microscopies showed different surface morphologies that may be due to the source of production, extraction method and/or degree of deacetylation. The main characteristics of chitin and chitosan obtained coincide with previous studies reported for other silkworm breeds. However, it is necessary to continue the investigation, to establish if it is possible to use the Bombyx mori L. Hybrid Pílamo 1 as a promising source of these biomaterials available in the region of these biomaterials.

Keywords:

biomaterials, chitin, chitosan, Bombyx mori.

Introducción

La quitina, identificada como el polímero poli (P-[1--acetil-D-glucosamina) (Nair & Laurencin, 2007) se considera el polisacárido más abundante en la naturaleza después de la celulosa. Aunque los animales marinos son sus principales fuentes, la mayoría de los insectos (escarabajos, saltamontes [Miranda et al., 2016], gusanos de seda, gusanos de la harina [Achinivu et al., 2022], moscas y las escamas de pescado (Kumari & Rath, 2014) contienen cantidades considerables de quitina (Kurita, 2001), pero son pocos los estudios reportados sobre la caracterización de su quitina y derivados (Kaya et al.,2015). Dentro de los trabajos encontrados cabe mencionar los realizados por Wu (2011) donde reportaron quitosano con alto porcentaje de desacetilación a partir de larvas de Clanis bilineata mediante métodos enzimáticos; los realizados por (Song et al., 2013), que determinaron las propiedades físicas, químicas y antioxidantes del quitosano de la larva Megacephala chrysomya; el estudio de (Miranda et al., 2016), sobre el contenido de quitina en los saltamontes, así como el de (Battampara et al., 2020), quienes reportaron un contenido de quitina del 18 % en crisálidas de gusano de seda y una conversión del 91 % de quitina en quitosano. Además, en este estudio ambos biomateriales presentaron actividad antimicrobiana.

Las diferentes orientaciones y empaquetamientos de las cadenas moleculares de la quitina dan como resultado tres formas polimórficas: a-, p- y y-quitina. Las dos primeras poseen cadenas antiparalelas y paralelas y se encuentran presentes en crustáceos, insectos y moluscos. La forma y presenta algunas similitudes con la p-quitina, sin embargo, la a-quitina incluye una gran cantidad de enlaces de hidrógeno y es la forma más estable (Khajavian et al., 2022; Zhang et al., 2000). La quitina extraída particularmente de larvas y crisálidas de gusano de seda se caracteriza por presentar una estructura química denominada forma Y, que le confiere mayor estabilidad y reactividad (Battampara et al., 2020), así como una mayor biodegradabilidad y biocompatibilidad respecto a las estructuras presentes en moluscos crustáceos (He et al., 2016; Kumari & Rath, 2014; Paz et al., 2012) y hongos (Achinivu et al., 2022; Kurita, 2001),

El quitosano es un polisacárido funcional derivado de la quitina. Presenta una cadena lineal compuesta por la repetición de unidades de 2-amina-2-desoxi-p- (1,4)-D-glucosamina y 2-acetamida-2-desoxi-p-(1,4)- D-glucosamina. Se obtiene por desacetilación parcial de la quitina en condiciones alcalinas y enzimáticas (Achinivu et al., 2022; Kurita, 2001; Miranda et al., 2016) crab and lobster shell, and fly larvae. Su estructura y propiedades presentan variaciones según el origen y los métodos de procesamiento (Nair & Laurencin, 2007). Este biomaterial tiene diversos usos, tales como películas en alimentos (Mihai & Popa, 2015; Muhammad et al., 2020), tratamiento de aguas (Al- Manhel et al., 2018; Kritchenkov et al., 2020) y en la industria agrícola, entre otros.

La sericultura (cría del Bombyx morí) deja como principal residuo las crisálidas. Aproximadamente, en la producción de 1 kilogramo de seda se generan 2 kg de crisálidas secas como residuo (Battampara et al., 2020; Cifuentes, 1999; Huet et al., 2020; Paulino et al., 2006; Zhang et al., 2000). La producción mundial de seda se estima en 1.6 millones de toneladas, al menos 3 millones de toneladas de crisálidas secas están disponibles cada año. Esta biomasa es considerada rica en carbohidratos, proteínas y lípidos (Battampara et al., 2020; Miranda et al., 2016; Smets et al., 2020). A partir de ella se puede obtener aceite (Gloria et al., 2010b) y proteínas con aplicaciones alimentarias y médicas (Koh et al., 2015; Singh & Jayasomu, 2003; Zhang et al., 2012). Las crisálidas poseen un contenido importante de carbohidratos y de quitina que varía entre razas y sexo (Battampara et al., 2020; Huet et al., 2020; Paulino et al., 2006; Zhang et al., 2000).

En la región conocida como el triángulo del café colombiano (Risaralda, Quindío y Caldas), la sericultura se introdujo para ser una fuente alternativa de recursos. Actualmente, la Universidad Tecnológica de Pereira (UTP), está a cargo del banco de germoplasma de Bombyx mori y de la producción periódica del Híbrido Pílamo 1, obtenido por mejoramiento genético, el cual se cría todo el año (Cifuentes, 1999). En esta universidad se han adelantado estudios para el aprovechamiento integral de subproductos de la sericultura (Gloria et al., 2010a, 2010b), continuando con este propósito, para este trabajo se realizó la extracción de quitina a partir de la crisálida del Híbrido Pílamo 1. Posteriormente se realizó el proceso de desacetilacion de esta para la obtención de quitosano y la caracterización de los biomateriales obtenidos.

Materiales y métodos

Obtención de quitina y quitosano

Se implementó una metodología adaptada en estudios previos que se presenta en el esquema de la Figura 1 (Battampara et al., 2020; Kumari & Rath, 2014; Paulino et al., 2006; Zhang et al., 2000).

Pretratamiento de las crisálidas

Este proceso hace parte de la etapa I (Figura 1). Se emplearon crisálidas de capullos de Bombyx mori Linn Híbrido Pílamo 1, adquiridos de la Asociación de Mujeres Mundo Café y Seda, que está ubicada en el municipio de Guática, Risaralda.

Desengrasado de las crisálidas

Este procedimiento se realizó empleando n-hexano como solvente, como lo sugiere la metodología descrita en estudios previos (Gloria et al., 2010a, 2010b). Las crisálidas desengrasadas se lavaron con agua destilada ultrapura y se secaron en estufa por 24h a 40° C. Posteriormente se refrigeraron en bolsas plásticas herméticas.

Obtención de quitina

Se llevó a cabo en tres pasos (ver etapa 2 de la Figura 1), adaptando metodologías propuestas por otros autores (Battampara et al., 2020; Kumari & Rath, 2014; Paulino et al., 2006; Zhang et al., 2000). El primer paso consistió en una desproteinización. Esta se realizó empleando NaOH al 10 % conservando una relación muestra-solvente 1:10 con las crisálidas desengrasadas. Se realizó un reflujo con agitación constante durante 6h a una temperatura 85° C y 200 rpm.

El segundo paso fue la Limpieza. Luego de terminar el reflujo, se retiró el exceso de NaOH y se lavó con agua destilada hasta pH neutro; el residuo se llevó nuevamente a reflujo con Na2CO3 al 0.4 % durante 6h a 85° C y 200 rpm. El tercer paso fue la desmineralización. Esta, se realizó al residuo neutralizado, al cual se le adicionaron 100 mL de HCL 1N con agitación constante durante 24h a 25° C y 200 rpm. Al finalizar el proceso, se realizó una centrifugación a 3500 rpm para recuperar el residuo, el cual se lavó con agua destilada microfiltrada hasta pH neutro; se secó a 40° C durante 24h, se pesó y se conservó en un recipiente hermético a temperatura ambiente para la obtención del quitosano.

Etapas de obtención de quitina y quitosano. Fuente: modificada de estudios previos (Kumari & Rath, 2014).

Figura 1: Etapas de obtención de quitina y quitosano. Fuente: modificada de estudios previos (Kumari & Rath, 2014).

Obtención del quitosano

Se realizó una adaptación, como se describe en la etapa 3 del esquema (Figura 1). Se adaptó la metodología con base en otros estudios (Battampara et al., 2020; Kumari & Rath, 2014; Paulino et al., 2006; Zhang et al., 2000). Igualmente, se inició con el proceso de desacetilación de la quitina empleando NaBH4 al 0.08 % en NaOH al 40 % con una relación muestra-solvente de 1:100 respecto a las crisálidas desengrasadas. Luego se realizó un reflujo con agitación constante durante 4h a 90° C y 200 rpm. Una vez finalizado el proceso, se lavó con agua destilada hasta neutralidad. La solución obtenida se filtró y el residuo se secó y se conservó a temperatura ambiente para su posterior caracterización (Battampara et al., 2020; Kumari & Rath, 2014; Paulino et al., 2006; Zhang et al., 2000).

Caracterización de la quitina y el quitosano obtenidos de crisálidas de ombyx mori L.

Para su caracterización se determinaron los siguientes parámetros:

El porcentaje y grado de N-acetilación

Se determinaron cuantitativamente a partir del área bajo la curva de los espectros de infrarrojo obtenidos según lo reportado por otros autores, donde el grado de N-acetilación corresponde al número de unidades de glucopiranos en la cadena del polímero que tienen el grupo N-acetil incorporado (Escobar et al., 2013).

Análisis infrarrojo (IR-TF)

Se realizó en un equipo marca Agilent Cary 630. Donde se compararon los espectros infrarrojo obtenidos con los de estándares comerciales de quitina y quitosano (Battampara et al., 2020; Kumari & Rath, 2014; Paulino et al., 2006; Zhang et al., 2000).

Microscopía electrónica de barrido (SEM) y análisis químico elemental de rayos X de energía dispersa (EDS)

Se realizaron con un equipo ESEM FEI Quanta-FEG 250 con Gatan Chroma CL, para obtener imágenes de alta resolución y diferenciación morfológica, identificación de fases, establecer la dispersión de partículas en escalas nanométricas y micrométricas, además del análisis químico elemental y su distribución en la superficie mediante la sonda EDAX.

Análisis termogravimétrico (TGA) y de calorimetría diferencial de barrido (DSC)

Se llevaron a cabo utilizando un equipo TGA-DSC marca Thermo a una velocidad de calentamiento de 10° C/min, en atmósfera de nitrógeno según la metodología descrita en estudios previos (Loganathan et al., 2017).

Análisis estadístico de datos

Los datos resultantes en el proceso de obtención de los biomateriales, el porcentaje y grado de N-acetilación de la quitina y quitosano fueron analizados por el test de comparación entre medias (ANOVA) con un nivel de confianza de 95 %. Mediante el software estadístico SPSS y Excel.

Resultados y discusión

Desengrasado de las crisálidas de Bombyx mori L. Híbrido Pílamo 1

El contenido de grasa retirado fue del 38.8±0.01 %. De las crisálidas desengrasadas y secas se extrajo la quitina, que correspondió al 1.86±0.02 %. El quitosano obtenido por derivatización corresponde al 93.97±1.05 % de transformación, que corresponde al 1.75±0.23 % de la crisálida desengrasada. Si bien el contenido de estos biomateriales es inferior a lo reportado para otros insectos e incluso otras razas de gusano de seda donde algunos logran alcanzar hasta 20 % de rendimiento (Miranda et al., 2016), este estudio permite hacer un acercamiento a un material poco estudiado, donde se deben mejorar las metodologías de extracción o implementar otras alternativas como los métodos de extracción enzimáticos. En la Figura 2 se observa el registro fotográfico de la quitina y el quitosano obtenidos en este estudio, que fueron similares en apariencia a los mismos biomateriales reportados en otros estudios (Battmpara et al., 2020; Paulino et al., 2006).

Esquema de obtención de quitina y quitosano partir de crisálida de Bombyx mori L. Fuente: autores.

Figura 2: Esquema de obtención de quitina y quitosano partir de crisálida de Bombyx mori L. Fuente: autores.

Caracterización de quitina y el quitosano de crisálida de Bombyx mori L.

Análisis infrarrojo (IR-TF)

En la Figura 3 se presentan los espectros IR-TF, de la quitina comercial y la obtenida de la crisálida de Bombyx mori L. En el espectro IR-TF de la quitina comercial se observan las señales a 1618 cm-1 y 1655 cm-1 asociadas con al estiramiento de C-N y vibración C=O de la señal de amida I, lo que indica un estado amorfo. A 1545 cm-1 la señal correspondiente al estiramiento de N-H de la amina II, a 3256 cm-1 corresponde a los grupos NH2 y OH; la señal a 1306 cm-1 es atribuida a la deformación CO-NH y al grupo CH, (amida III), la señal a 1375 cm-1 corresponde a la deformación simétrica del grupo CH Todas las señales se encontraron en el espectro de 3a quitina de crisálida de Bombyx mori L., lo que confirma que el proceso implementado para la obtención fue efectivo; sin embargo, la quitina comercial, presenta señales de mayor intensidad, lo que podría atribuirse a la pureza de esta.

Espectros IR-TF de quitina comercial y obtenida de la crisálida de Bombyx mori L. Fuente: autores.

Figura 3: Espectros IR-TF de quitina comercial y obtenida de la crisálida de Bombyx mori L. Fuente: autores.

Los espectros IR-TF de quitosano comercial y el obtenido de Bombyx mori L. se muestran en la Figura 4. Para el comercial, la desacetilación se evidencia por la señal a 1590 cm-1 de mayor intensidad que la señal a 1654 cm-1 debido al aumento de grupos NH2. También se observa la señal a 3256 cm-1 dada por los grupos NH2 y OH, similar a la de quitina, aunque con mayor intensidad, lo que puede deberse al aumento de los grupos NH2 o la ganancia de humedad. En cuanto al espectro IR-TF del quitosano obtenido de Bombyx mori L. las señales observadas son similares a las señales de quitosano comercial. Estos resultados son similares a los obtenidos en otros estudios, en los que se evaluó la obtención de quitina de crisálida de gusano de seda de otras razas (Battampara et al., 2020; Huet et al., 2020; Paulino et al., 2006; Zhang et al., 2000).

Espectros IR-TF d e quitosano com ercial y obtenido de la crisálida de Bombyx mori L. Híbrido P ílamo 1 (C) com parados con los de estándares comerciales (STD). Fuente: autores.

Figura 4: Espectros IR-TF d e quitosano com ercial y obtenido de la crisálida de Bombyx mori L. Híbrido P ílamo 1 (C) com parados con los de estándares comerciales (STD). Fuente: autores.

Porcentaje y grado de N-acetilación de quitina y quitosano

Fue necesario realizar una deconvolución de las señales dada la baja resolución de estas (Figura 5), para esto su usó el software Origin Pro 9.1, con la correlación lineal. Se tomó la señal característica del grupo amida I ubicada a 1623 cm-1 (Figura 5a) y la banda de referencia del grupo hidroxilo a 3433 cm-1 (Figura 5b). La determinación del porcentaje de N-acetilación se realizó mediante la correlación del área de las bandas de vibración seleccionadas, usando las correlaciones expresadas en las ecuaciones 1 y 2 para quitina y quitosano respectivamente (Escobar et al., 2013).

Gráficas de la Integración de las señales del espectro infrarrojo de quitina. Fuente: autores.

Figura 5.: Gráficas de la Integración de las señales del espectro infrarrojo de quitina. Fuente: autores.

La evaluación del porcentaje de N-acetilación del quitosano (Oto) se realizó según la correlación lineal expresada en Ecuación 2. Para ello, se integraron las bandas características de la amida III localizada a 1306 cm-1 y como referencia se tomó la banda de grupos metilos a 1375 cm-1 (Figura 6), con uso del software Origin Pro 9.1

Gráfica de Integración de las señales del espectro infrarrojo de quitosano. Fuente: autores.

Figura 6: Gráfica de Integración de las señales del espectro infrarrojo de quitosano. Fuente: autores.

La determinación del grado de desacetilación (% DA) para quitina está dado por la Ecuación 3:

En la Tabla 1 se presentan los resultados obtenidos para los porcentajes de N-acetilación para quitina y quitosano y el grado de acetilación.

Tabla 1: Resultados de los porcentajes de N-acetilación para quitina (Q) y quitosano (Qto), y el grado de acetilación (%DA)

*Valores con letras diferentes dentro de la estadística a un nivel significancia del 5 %. misma fila indican diferencia

El porcentaje de desacetilación logrado para la quitina fue del 38.17±0.03 %, que corresponde a una quitina con alto grado de impurezas si se compara con reportes de otros autores (Battampara et al., 2020; Huet et al., 2020; Paulino et al., 2006; Zhang et al., 2000). Si bien estos resultados (p>0.05) no presentan diferencias significativas en el proceso de obtención, es necesario que en próximos estudios se realice un proceso de desmineralización y desproteinizacion más exhaustivo, con el fin de mejorar la pureza de la quitina.

En cuanto al grado de desacetilación del quitosano, según los cálculos realizados, fue del 87.63 %, el cual es similar a los resultados reportados por otros estudios (Battampara et al., 2020; Huet et al., 2020; Paulino et al., 2006; Zhang et al., 2000), lo que indica que el proceso de derivatización de la quitina implementado fue adecuado.

Microscopía electrónica de barrido (SEM) y análisis químico elemental de rayos x y energía dispersa (EDS)

El análisis SEM permitió obtener imágenes de alta resolución de las partículas de quitina y quitosano, tanto de los estándares comerciales, como de los obtenidos de Bombyx mori L. Se observan superficies cristalinas amorfas y de diferente tamaño tanto en los biomateriales comerciales, como en los obtenidos. Los biomateriales comerciales (Figura 7b, d, e) presentaron una morfología granular fibrosa, con tamaños entre 88-200 μm, mientras que la quitina y el quitosano obtenidos del gusano de seda presentaron una estructura escamosa continua en forma de hoja (Figura 7c, f.), lo que podría deberse a las características inherentes del material de partida, al método de extracción o al grado de desacetilación. Sin embargo, la diferencia morfológica de los biomateriales obtenidos es beneficiosa, ya que a partir de su fragmentación se puede lograr una mayor cantidad de material particulado. Estas diferencias morfológicas, coinciden con estudios de otros autores (Huet et al., 2020; Zhang et al.; 2000).

Micrografías de quitina (a, b quitina comercial; c, quitina de crisálida de Bombyx mori L.) y quitosano (d, e quitosano comercial; f, quitosano de crisálida). Fuente: autores.

Figura 7: Micrografías de quitina (a, b quitina comercial; c, quitina de crisálida de Bombyx mori L.) y quitosano (d, e quitosano comercial; f, quitosano de crisálida). Fuente: autores.

El análisis químico elemental de los biomateriales obtenidos se realizó mediante puntos de interés, a través de perfiles o mapas. En la Figura 8 se observa la ampliación microscópica para el análisis molecular elemental de la quitina obtenida a partir de la crisálida de gusano de seda, donde se encuentra en mayor abundancia el átomo de carbono 55.68 %, seguido de nitrógeno 12.39 % y oxigeno 25.91 %, lo cual coincide con la estructura química de la molécula de quitina. En menor proporción se encuentran los elementos de hierro y cloro que pueden deberse a residuales en el proceso de digestión de la crisálida.

Análisis microscópico para de determinación de elementos principales en las moléculas y espectro de rayos x de energía dispersa (EDS) para quitina de crisálida de Bombyx mori L. Fuente: autores.

Figura 8: Análisis microscópico para de determinación de elementos principales en las moléculas y espectro de rayos x de energía dispersa (EDS) para quitina de crisálida de Bombyx mori L. Fuente: autores.

En la Figura 9 se observa el análisis micrográfico para las partículas de quitosano obtenidas a partir de quitina de crisálida. El contenido de carbono (50.98 %) disminuyó con relación al de quitina, mientras que los contenidos de nitrógeno (17.95 %) y oxigeno (31.06 %) aumentaron, lo que indica que efectivamente hay un proceso de desacetilación de la molécula de quitina, dando paso a su derivado.

Análisis microscópico para de determinación de elementos principales en las moléculas y espectro de rayos x de energía dispersa (EDS) para quitosano de crisálida de Bombyx mori L. Fuente: autores.

Figura 9: Análisis microscópico para de determinación de elementos principales en las moléculas y espectro de rayos x de energía dispersa (EDS) para quitosano de crisálida de Bombyx mori L. Fuente: autores.

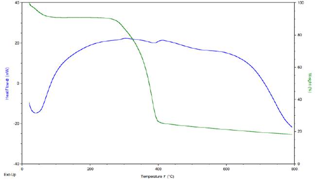
Análisis térmico

En las curvas calorimétricas de la quitina extraída de crisálidas de Bombyx mori L. (Figura 10) se observa un proceso de degradación simple, con dos puntos de descomposición similar a lo reportado en otros estudios (Battampara et al., 2020; Huet et al., 2020; Loganathan et al., 2017). La primera pérdida de masa se da entre 50-100° C atribuida a la pérdida de humedad, la cual es aproximadamente del 20 % de la masa total. La segunda pérdida de masa ocurre en el rango entre 250-400° C y puede ser atribuida a la degradación de la estructura molecular del monosacárido, incluida la deshidratación de este y la polimerización y descomposición de las unidades acetiladas y desacetiladas de quitina. El porcentaje residual después del calentamiento hasta 800° C fue aproximadamente del 20 %, el cual está por debajo de los reportado por otros estudios (Battampara et al., 2020; Huet et al., 2020; Loganathan et al., 2017); Esto podría deberse a las impurezas de la quitina obtenida.

Análisis termogravimétrico (TGA) y de calorimetría diferencial de barrido (DSC) para quitina de crisálida de Bombyx mori L. Fuente: autores.

Figura 10: Análisis termogravimétrico (TGA) y de calorimetría diferencial de barrido (DSC) para quitina de crisálida de Bombyx mori L. Fuente: autores.

La curva de DSC obtenida para quitina de crisálida de Bombyx mori L. presenta una pérdida de calor entre 50-100° C que puede ser atribuida a la pérdida de agua. También se observa una ganancia de calor entre 100-250° C de 20 mW, la cual permanece medianamente fluctuante hasta 400° C, donde de nuevo se presenta una ganancia de calor entre 30-40 mW, logrando aproximadamente los 500° C. Esto se puede atribuir a un reacomodamiento estructural, finalmente a partir de los 550° C hasta los 800° C se observa la pérdida de energía hasta los -20 mW.

Según el análisis térmico de la quitina, la crisálida de Bombyx mori L. se puede decir que es un material altamente estable que presenta una degradación simple, lo que lo convierte en un biomaterial atractivo para investigación gracias a que su descomposición no genera gran cantidad de subproductos.

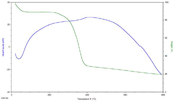
En la Figura 11 se observan las curvas calorimétricas para el quitosano obtenido mediante la derivatización de quitina de la crisálida de Bombyx mori L. La curva de TGA fue similar a la de quitina, pero con una leve deformación de la curva a los 350° C, lo que indicaría una posible desestabilización de la estructura molecular del quitosano. Por otro lado, el análisis DSC muestra que el material presenta una pérdida de calor entre 50-100° C por evaporación de agua. Desde los 100° C hasta los 250° C presenta una ganancia de calor hasta los 20 mW, sin embargo, en 400° C aproximadamente se presenta una pérdida de calor de alrededor de 5 mW, recuperándose hasta los 450° C, donde inicia una pérdida de calor paulatina que se intensifica entre 600-800° C. Esto indica que este biomaterial presenta una inestabilidad térmica que podría deberse a la degradación de parte de la molécula de quitina que fue desacetilada, tal como se sugiere en otros estudios relacionados (Battampara et al., 2020; Huet et al., 2020; Loganathan et al., 2017).

Análisis termogravimétrico (TGA) y de calorimetría diferencial de barrido (DSC) para quitosano de crisálida de Bombyx mori L. Fuente: autores.

Figura 11: Análisis termogravimétrico (TGA) y de calorimetría diferencial de barrido (DSC) para quitosano de crisálida de Bombyx mori L. Fuente: autores.

Conclusiones

Se logró obtener quitina y quitosano a partir de crisálidas desengrasadas de Bombyx mori L. Híbrido Pílamo 1, con características similares a los obtenidas por otros autores. Su estructura escamosa y amorfa facilita su manipulación y una posible pulverización. Sin embargo, es necesario continuar la investigación para mejorar los rendimientos y la pureza de los biomateriales obtenidos, así como de sus propiedades para llegar a establecer si es posible emplear al gusano de seda Híbrido Pílamo 1 procedente de Risaralda como una fuente promisoria para la obtención de quitina y quitosano.

Acknowledgements

Agradecimientos

Este trabajo se realizó gracias a la financiación de la Vicerrectoría de Investigaciones, Innovación y Extensión de la Universidad Tecnológica de Pereira, por medio de la Convocatoria Interna de Grupos de Investigación de 2019 para la financiación de proyectos de investigación.

Referencias

  1. Achinivu, E. C.; Shamshina, J. L.; and Rogers, R. D. (2022). Chitin extracted from various biomass sources: It’s not the same. Fluid Phase Equilibria, 552, 113286. https://doi.org/10.1016/j.fluid.2021.113286 [URL] 🠔
  2. Al-Manhel, A. J.; Al-Hilphy, A. R. S.; and Niamah, A. K. (2018). Extraction of chitosan, characterisation and its use for water purification. Journal of the Saudi Society of Agricultural Sciences, 17(2), 186-190. https://doi.org/10.1016/j.jssas.2016.04.001 [URL] 🠔
  3. Ávila, A., Bierbrauer, K., Pucci, G., López-González, M., and Strumia, M. (2012). Study of optimization of the synthesis and properties of biocomposite films based on grafted chitosan. Journal of Food Engineering, 109(4), 752-761. https://doi.org/10.1016/j.jfoodeng.2011.11.009 [URL] 🠔
  4. Battampara, P.; Nimisha Sathish, T.; Reddy, R.; Guna, V.; Nagananda, G. S.; Reddy, N.; Ramesha, B. S.; Maharaddi, V. H.; Rao, A. P.; Ravikumar, H. N.; Biradar, A.; and Radhakrishna, P. G. (2020). Properties of chitin and chitosan extracted from silkworm pupae and egg shells. International Journal of Biological Macromolecules, 161, 1296-1304. https://doi.org/10.1016/j.ijbiomac.2020.07.161 [URL] 🠔
  5. Cifuentes, C. (1999). Manual técnico de sericultura. Pereira: F. Editorial de Risaralda. 🠔
  6. Escobar, M.; Orozco, P.; Quintana, M.: and Ospina, W. (2013). Optimización de un protocolo de extracción de quitina y quitosano desde caparazones de crustáceos. Optimization protocol for chitin and chitosan extraction from crustacean shells. Scientia et Technica Año XVIII, 18(1). https://revistas.utp.edu.co/index.php/revistaciencia/article/view/75557555 [URL] 🠔
  7. Gloria, G.; Melvin, D.; and Nelson, C. (2010a). Obtencion de un aceite con alto contenido oleico a partir de gusano de seda Bombyx Mori Linn Hibrido pílamo 1 en estado larval vivo quinto instar (Patent No. 05-35735). 🠔
  8. Gloria, G.; Melvin, D.; and Nelson, C. (2010b). Proceso y obtencion de aceite estable de gusano de seda Bombyx mori Linn Híbrido Pílamo 1 en estado de crisálida sin degradación por acción microbiana (Patent No. 05-35736). 🠔
  9. He, X.; Li, K.; Xing, R.; Liu, S.; Hu, L.; and Li, P. (2016). The production of fully deacetylated chitosan by compression method. Egyptian Journal of Aquatic Research, 42(1), 75-81. https://doi.org/10.1016/j.ejar.2015.09.003 [URL] 🠔
  10. Huet, G.; Hadad, C.; Husson, E.; Laclef, S.; Lambertyn, V.; Araya Farias, M.; Jamali, A.; Courty, M.; Alayoubi, R.; Gosselin, I.; Sarazin, C.; and Van Nhien, A. N. (2020). Straightforward extraction and selective bioconversion of high purity chitin from Bombyx eri larva: Toward an integrated insect biorefinery. Carbohydrate Polymers, 228(March 2019), 115382. https://doi.org/10.1016/j.carbpol.2019.115382 [URL] 🠔
  11. Khajavian, M., Vatanpour, V., Castro-Muñoz, R., and Boczkaj, G. (2022). Chitin and derivative chitosan-based structures - Preparation strategies aided by deep eutectic solvents: A review. Carbohydrate Polymers , 275(August 2021). https://doi.org/10.1016/j.carbpol.2021.118702 [URL] 🠔
  12. Koh, L. D.; Cheng, Y.; Teng, C. P.; Khin, Y. W.; Loh, X. J.; Tee, S. Y.; Low, M.; Ye, E.; Yu, H. D.; Zhang, Y. W.; and Han, M. Y. (2015). Structures, mechanical properties and applications of silk fibroin materials. Progress in Polymer Science, 46, 86-110. https://doi.org/10.1016/j.progpolymsci.2015.02.001 [URL] 🠔
  13. Kritchenkov, A. S.; Kletskov, A. V.; Egorov, A. R.; Tskhovrebov, A. G.; Kurliuk, A. V.; Zhaliazniak, N. V.; Shakola, T. V.; and Khrustalev, V. N. (2020). New water-soluble chitin derivative with high antibacterial properties for potential application in active food coatings. Food Chemistry, 343(November 2020), 128696. https://doi.org/10.1016/j.foodchem.2020.128696 [URL] 🠔
  14. Kaya, M.; Baran, T.; Asan-Ozusaglam, M.; Cakmak, Y. S.; Tozak, K. O.; Mol, A.; Mentes, A.; and Sezen, G. (2015). Extraction and characterization of chitin and chitosan with antimicrobial and antioxidant activities from cosmopolitan Orthoptera species (Insecta). Biotechnology and Bioprocess Engineering, 20, 168-179. https://doi.org/10.1007/s12257-014-0391-z [URL] 🠔
  15. Kumari, S.; and Rath, P. K. (2014). Extraction and characterization of chitin and chitosan from (Labeo rohit) fish scales. Procedia Materials Science, 6, 482-489. https://doi.org/10.1016/j.mspro.2014.07.062 [URL] 🠔
  16. Kurita, K. (2001). Controlled functionalization of the polysaccharide chitin. Progress in Polymer Science , 26, (9) 1921-1971). https://doi.org/10.1016/S0079-6700(01)00007-7 [URL] 🠔
  17. Loganathan, S.; Valapa, R. B.; Mishra, R. K.; Pugazhenthi, G.; and Thomas, S. (2017). Thermogravimetric analysis for characterization of nanomaterials. In Thermal and Rheological Measurement Techniques for Nanomaterials Characterization (pp.67-108). Amsterdam: Elsevier Inc. https://doi.org/10.1016/B978-0-323-46139-9.00004-9 [URL] 🠔
  18. Mihai, A. L.; and Popa, M. E. (2015). Chitosan coatings, a natural and sustainable food preservation method. Journal of Biotechnology, 208, S81. https://doi.org/10.1016/j.jbiotec.2015.06.250 [URL] 🠔
  19. Miranda, J.; Tirado, J.; Zamudio, P.; Rios, C.; Ornelas, J.; Salgado, R.; Espinosa-Solis, V.; and Hernandez-Centeno, F. (2016). Extracción y caracterización de propiedades fisicoquímicas, morfológicas y estructurales de quitina y quitosano de Brachystola magna (Girard). Revista Mexicana de Ingeniera Química, 15(3), 749-761. https://www.redalyc.org/articulo.oa?id=62048168007 [URL] 🠔
  20. Muhammad, Z.; Pradhan, A.; Muhammad, A.; and Aman, U. (2020). Chitosan/chitin-based composites for food packaging applications. In A. N. P. L. Center for Innovations and Technologies (CIT) (Ed.), Chitin and Chitosan based Polymer Materials for Various Applications (1st ed., pp. 641-670). https://doi.org/10.1016/B978-0-12-817966-6.00020-0 [URL] 🠔
  21. Nair, L.; and Laurencin, C. (2007). Biodegradable polymers as biomaterials. Progress in Polymer Science , 32(8-9), 762-798. https://doi.org/10.1016/j.progpolymsci.2007.05.017 [URL] 🠔
  22. Paulino, A. T.; Simionato, J. I.; Garcia, J. C.; and Nozaki, J. (2006). Characterization of chitosan and chitin produced from silkworm crysalides. Carbohydrate Polymers , 64(1), 98-103. https://doi.org/10.1016/j.carbpol.2005.10.032 [URL] 🠔
  23. Paz, J.; Galvis, R.; Vargas, R.; and Agudelo, C. (2012). Agroindustria: caracterización de quitina y quitosano obtenidos a partir de residuos de camarón y micelio de Aspergillus níger. Acta Agronómica, 61(SPL.ISS.), 81-82. https://revistas.unal.edu.co/index.php/acta_agronomica/article/view/41470 [URL] 🠔
  24. Singh, K. P.; and Jayasomu, R. S. (2003). Bombyx mori - A review of its Pptential as a medicinal insect. Pharmaceutical Biology, 40(1), 28-32. https://doi.org/10.1076/phbi.40.1.28.5857 [URL] 🠔
  25. Song, C.; Yu, H.; Zhang, M.; Yang, Y.; and Zhang, G. (2013). Physicochemical properties and antioxidant activity of chitosan from the blowfly Chrysomya megacephala larvae. International Journal of Biological Macromolecules , 60, 347-354. https://doi.org/10.1016/j.ijbiomac.2013.05.039 [URL] 🠔
  26. Smets, R.; Verbinnen, B.; Van De Voorde, I.; Aerts, G.; Claes, J.; and Van Der Borght, M. (2020). Sequential extraction and characterisation of lipids, proteins, and chitin from black soldier fly (Hermetia illucens) larvae, prepupae, and pupae. Waste and Biomass Valorization, 11(12), 6455-6466. https://doi.org/10.1007/s12649-019-00924-2 [URL] 🠔
  27. Wang, H. Y.; Wang, Y. J.; Zhou, L. X.; Zhu, L.; and Zhang, Y. Q. (2012). Isolation and bioactivities of a non-sericin component from cocoon shell silk sericin of the silkworm Bombyx mori. Food and Function, 3(2), 150-158. https://doi.org/10.1039/c1fo10148j [URL] 🠔
  28. Wu, S. (2011). Preparation of chitosan from Clanis bilineata larvae skin using enzymatic methods. Carbohydrate Polymers , 83, 1008-1010. https://doi.org/10.1016/j.carbpol.2010.08.033 [URL] 🠔
  29. Zhang, M.; Haga, A.; Sekiguchi, H.; and Hirano, S. (2000). Structure of insect chitin isolated from beetle larva cuticle and silkworm (Bombyx mori) pupa exuvia. International Journal of Biological Macromolecules , 27(1), 99-105. https://doi.org/10.1016/S0141-8130(99)00123-3 [URL] 🠔