IDENTIFICACIÓN DE OPORTUNIDADES DE MEJORA EN LA GESTION DEL TRANSPORTE DEL CARBON EN COLOMBIA CON SIX SIGMA
Palabras clave:
Gestión del Cargue, Transporte, Carbón Térmico, Six Sigma, Productividad, Colombia (es)IDENTIFICACIÓN DE OPORTUNIDADES DE MEJORA EN LA GESTION DEL TRANSPORTE DEL CARBON EN COLOMBIA CON SIX SIGMA
IDENTIFICATION OF OPPORTUNITIES FOR IMPROVEMENT IN THE COAL TRANSPORTATION MANAGEMENT WITH SIX SIGMA IN COLOMBIA
MARTIN DARÍO ARANGO SERNA
PhD. Profesor Titular. Escuela de Ingeniería de la Organización. Universidad Nacional de Colombia-Sede Medellín, mdarango@unal.edu.co
RODRIGO ANDRÉS GÓMEZ MONTOYA
MsC. Profesor Logística-DFI, Politécnico Colombiano Jaime Isaza Cadavid. rodrigomezm1986@gmail.com
KARLA CRISTINA ÁLVAREZ URIBE
II. Estudiante de Maestría Ingeniería Administrativa. Universidad Nacional de Colombia- Sede Medellín. kcalvare@unal.edu.co
Recibido para evaluación: 14 de Septiembre de 2011 / Aceptación: 30 de Octubre de 2011 / Recibida versión final: 30 de Noviembre de 2011
RESUMEN
Este artículo, presenta una aplicación de Six Sigma como técnica que facilita la identificación de oportunidades de mejora en la gestión del transporte del carbón, con el objetivo de obtener un desarrollo eficiente y buscando la satisfacción de las necesidades de los clientes. Se muestra la importancia del Six Sigma como técnica para reducir la variabilidad en la operación del cargue del carbón en el transporte, permitiendo reducir errores y contribuir a la satisfacción del cliente, basado en la identificación de factores críticos de calidad. Además, en el caso empresarial se representa el impacto potencial para contribuir a la productividad del sector de la minería del carbón.
PALABRAS CLAVE: Gestión del Cargue, Transporte, Carbón Térmico, Six Sigma, Productividad, Colombia
ABSTRACT
This paper presents an application of Six Sigma as a technique that facilitates the identification of opportunities for improvement in managing the transport of coal, in order to obtain an efficient development and seeking to meet customer needs. It shows the importance of Six Sigma as a technique to reduce variability in operating the coal load transport, thereby reducing errors and contribute to customer satisfaction, based on the identification of critical factors of quality. In addition, the business case shows the potential impact to contribute to the productivity of mining coal.
KEYWORDS: Load Management, Transportation, Thermal Coal, Six Sigma, Productivity, Colombia
1. INTRODUCCIÓN
En la última década, la minería del carbón en Colombia ha aumentado su importancia en el ámbito económico por su contribución del PIB, el desarrollo del sector e incremento de las exportaciones del país. En este crecimiento económico sobresale el sector minero como motor de la economía al presentar una de las mayores tasas de crecimiento con un 7.73% anual, significando más de 2.5 billones de pesos y una participación en el producto interno del país de 2,6% en el año 2007 (Arango, M. et al 2009). Esta situación ha conllevado al aumento de los niveles de explotación, lo cual tiene un efecto directo en la planeación, ejecución y control de los diferentes procesos logísticos de aprovisionamiento, almacenamiento, transporte y distribución en la cadena productiva, que incluye a proveedores, minas y clientes.
De acuerdo con Sánchez (2008), el transporte es una función clave en la cadena de suministro. Actúa como un vínculo físico entre clientes y proveedores, permitiendo el flujo de materiales y recursos. Aspecto importante puesto que representa el mayor costo en la logística debiéndose principalmente a dos razones; la primera es el costo asociado al proceso y transformación de los productos y la segunda es el costo asociado a la energía utilizada para el traslado de los materiales y productos que se movilizan a lo largo de la cadena de suministro. El objetivo de una iniciativa de Six Sigma en el transporte es la de reducir al máximo el tiempo medio para mover las mercancías y productos, y llevar al mínimo la variación en torno a ese promedio (Goldsby y Martichenko 2005). Six Sigma es una herramienta importante para mejorar el desempeño y liderazgo en las organizaciones para el uso eficaz de los métodos estadísticos buscando la variabilidad del proceso y el enfoque centrado en los clientes y en aquellos aspectos que se consideren críticos (Pande et al 2001), (Denton1990). Según Rodríguez (2006), la metodología Six Sigma parte de un problema a resolver y muestra la importancia de las personas y sus conocimientos, fundamentada en tres pilares: La adopción como una filosofía de gestión, la estrategia de negocios y operativamente, con las herramientas estadísticas.
El transporte del carbón desde las minas o patios de almacenamiento hasta los mercados nacionales e internacionales cobra importancia, debido a su participación en los costos, la satisfacción de las necesidades de los clientes y la contribución a la eficiencia. Por estos motivos, el interés se centra en identificar, analizar y apropiar herramientas que permitan gestionar, diseñar y mejorar el transporte del carbón de una manera adecuada, considerando métodos, medios de transporte, recursos, entre otros aspectos. Por las razones expuestas, el presente artículo tiene como objetivo utilizar la técnica de mejoramiento Six Sigma como herramienta de gestión del cargue en el transporte del carbón buscando que esta se desarrolle de manera eficiente y orientado a la satisfacción de las necesidades de los clientes. Se desarrolla un enfoque metodológico basado en la adaptación del DMAIC (Definir o Define, Medir o Meausure, Analizar o Analyze, Control o Control) al mejoramiento del proceso logístico de transporte de carbón considerando un enfoque cuantitativo. Este enfoque además de contribuir al estado del arte del tema, propone una metodología que contribuye a la productividad y aprovechamiento de los recursos mineros.
Este artículo se estructura en tres partes. La primera, busca contextualizar la gestión del transporte en Colombia, y su relación con el Six Sigma. La segunda, describe el enfoque metodológico utilizado para realizar una propuesta para mejorar el transporte del carbón basado en Six Sigma. En la tercera parte, presenta los resultados y las conclusiones de desarrollar la metodología considerando como referencia una empresa mediana que explota y comercializa carbón térmico.
2. GESTIÓN DEL TRANSPORTE DEL CARBÓN TÉRMICO EN COLOMBIA, Y SU RELACIÓN CON EL SIX SIGMA
El transporte es un proceso logístico que permite desarrollar los flujos de productos en los diferentes eslabones de la cadena de suministro, a través del uso de diferentes medios como: Camiones, ferrocarril, barcos y aeronaves, buscando satisfacer las necesidades de los clientes en las condiciones pactadas y a menor costo posible (Ballou, 2004; Sánchez, 2008). El transporte cobra importancia en la planeación, ejecución y control de las operaciones logísticas debido al impacto en la eficiencia y costos de los productos, que en commodities como el carbón puede alcanzar una proporción del costo total entre el 30 al 50%.(Jacoby y Minten, 2008).
El transporte de la minería del carbón en Colombia puede ser considerado como un proceso crítico en la cadena productiva, puesto que permite movilizar el mineral desde las minas y centros de acopio para atender las necesidades del mercado nacional e internacional (Minercol, 2004). Adicionalmente, según el volumen de la explotación y el destino del carbón se hace necesario diseñar diversas estrategias relacionadas al transporte, que incluye: Selección del medio de transporte, almacenamiento, gestión del cargue y descargue, entre otros aspectos críticos en los costos de operación, impacto en el medio ambiente y atención de los pedidos de los clientes (Ministerio de Minas y Energía, 2003; SIMCO, 2011).
El transporte del carbón en Colombia ha incrementado su importancia en la gestión de las operaciones logísticas y atención del mercado nacional e internacional de la cadena productiva debido al incremento del volumen de explotación y comercialización del mineral en 51% aproximadamente, pasando de 38242 a 74350 MT (Miles de Kilogramos) entre los años 2000 y 2010 (UPME,2010). Esta situación, ha conllevado al aumento de la movilización del carbón desde las diferentes zonas de producción, a la necesidad de utilizar mayor capacidad de transporte representada en el diseño de estrategias de distribución y uso de medios de transporte (UPME, 2010; SIMCO, 2011).En la gestión del transporte del carbón no solo debe considerarse la utilización de los medios para movilizar el mineral, sino también considerar operaciones de cargue, descargue y control del carbón, buscando que estos se desarrollen en las condiciones pactadas (Minercol, 2004; Baker y Canessa, 2009). Por estas razones, se considera el concepto de gestión del sistema del transporte del carbón el cual incluye aparte de las operaciones descritas, el uso de los recursos como mano de obra, equipo de manejo de materiales (cargadores), Tecnologías de Información y Comunicaciones (TIC), que se describe de manera general a continuación (Tabla 1 ).
Tabla 1. Descripción del sistema de transporte de carbón


En la carrera por optimizar los procesos productivos se han desarrollado varias herramientas metodológicas y sistemas de gestión de calidad, entre los cuales, Six Sigma tiene un lugar especial por ser uno de los más ambiciosos y a la vez efectivo (Arango, M. et al 2009). Six Sigma se puede definir como: La eliminación de los inventarios innecesarios a través de esfuerzos disciplinados para entender y reducir la variación, dando paso al aumento de la velocidad y el flujo de la cadena de suministro. (Martichenko, 2009). En este sentido Six Sigma es una metodología de mejoramiento de procesos logísticos direccionada a una mejora continua por medio de la eliminación de desperdicios debido a su enfoque en el aumento de la satisfacción de las necesidades de los clientes basada en hechos y datos, con el fin de reducir la cantidad de defectos (Ferguson, 2007),y minimizando la variabilidad a un nivel de 6
o una cantidad de 3.4 defectos por millón de oportunidades en que se desarrolla el proceso (VanIwaarden et al, 2008; Jones, Parast y Smith, 2010).
La metodología Six Sigma puede ser utilizada en el proceso logístico de transporte del carbón para empresas mineras de pequeña, mediana y gran escala, buscando que las operaciones de cargue, descargue y movilización física del producto en los medios de transporte se realicen con la mínima variación y cantidad de errores posible, permitiendo establecer una orientación al cliente y eficiencia, condiciones que resultan críticas para la productividad y competitividad del subsector minero teniendo en cuenta que este atiende el mercado nacional e internacional (Jones, Parast y Smith,2010).
La ventaja de la metodología Six Sigma es que fundamenta su funcionamiento en el uso de herramientas de gestión y estadística industrial, permitiendo que las mejoras se realicen de forma estratégica y eficiente, reduciendo la variabilidad y los errores. Respecto a la herramienta de gestión, este se soporta en la utilización de la metodología DMAIC (Definir o Define, Medir o Meausure, Analizar o Analyze, Mejorar o Improve, y Controlar o Control), partiendo de la identificación, medición, análisis y definición de la oportunidad de mejora o resolución de las ineficiencias del proceso de transporte considerando los factores críticos hasta el mejoramiento, implementación y control (Chen y Lyu, 2009).
A corto plazo, Six Sigma aporta soluciones rápidas a problemas sencillos o repetitivos; a largo plazo contribuye a una metodología de diagnóstico, diseño robusto, establecimientos de tolerancias, al tiempo que aporta un medio sencillo de comunicación y establecimiento de metas.
Sigma es un método basado en datos, para llevar la Calidad hasta niveles próximos a la perfección, diferente de otros enfoques, corrigiendo problemas antes de que se presenten. Más específicamente se trata de un esfuerzo disciplinado para examinar los procesos repetitivos de las empresas, enfocados principalmente en dar prioridad al cliente. En el componente de estadística industrial, se utilizan técnicas de estadística descriptiva, diseño de experimentos, índices de capacidad, gráficos de control, herramientas que permiten analizar el estado actual de los procesos logísticos, apoyar la identificación los factores críticos, apoyar el diseño de las propuestas de mejora, y el posterior control del transporte del carbón basándose en datos y en hechos (VanIwaarden et al, 2008).
Entre las desventajas que puede presentar la metodología Six Sigma se encuentran las inversiones y complejidad en su implementación, cuando su uso no se realiza de manera planificada, orientada a las características de los procesos logísticos de transporte, la organización, el entrenamiento del personal entre otros aspectos (Dedhia,2005).
Respecto a una exploración del estado del arte de la utilización del Six Sigma en el proceso de transporte de carbón en Colombia y el mundo, no se tiene información en artículos específicos relacionada con el tema. En la literatura, se revisaron artículos que utilizan Six Sigma en procesos logísticos y cadena de suministro desarrollados por autores como: (Chen, y Lyu, 2009; Kuik, Nagalingam, Amer y Saw, 2010; Jones, Parast y Smith, 2010; VanIwaarden et al, 2008), en los cuales se considera que el transporte es un proceso logístico que permite movilizar los productos entre los eslabones de las cadenas productivas. Aunque, estos artículos no consideran la aplicación del Six Sigma en el transporte del carbón, las metodologías utilizadas en los artículos pueden ser una base para adaptar y desarrollar una propuesta propia para el sector carbonífero colombiano. Por otra parte, se presentó un caso de estudio del mejoramiento de Six Sigma en el transporte de carbón en el Coal MiningOperations and Economics 2009, aunque se presentaron los resultados obtenidos, no se enfatizó en la metodología utilizada.
3. METODOLOGÍA
Se utiliza un enfoque metodológico basado en una adaptación del DMAIC (Definir o Define, Medir o Meausure, Analizar o Analyze, Mejorar o Improve, y Controlar o Control) al mejoramiento de la operación del cargue en el sistema de transporte de carbón. Adicionalmente, la metodología incluye una etapa de descripción de la cadena de producción y sistema logístico de la empresa de minería de carbón tomada como referencia. A continuación, se describe cada uno de los componentes metodológicos utilizados (ver Tabla 2).
Tabla 2: Metodología de mejoramiento del sistema de transporte de carbón


La metodología presentada en la tabla 2, será utilizada como marco de referencia para mejorar el sistema de transporte de carbón térmico basándose en la planeación y desarrollo de las cinco etapas presentadas. El enfoque metodológico puede ser adaptado en empresas de minería del carbón de pequeña y mediana escala que exploten y comercialicen carbón térmico.
4. RESULTADOS Y DISCUSIÓN
4.1. Descripción de la empresa, cadena de suministro y sistema logístico
A continuación, se desarrollan cada una de las etapas de la metodología de mejoramiento del proceso logístico de transporte de carbón térmico presentadas en la tabla 2, aplicada a un caso de estudio empresarial de una empresa de mediana escala, poco tecnificada que explota y comercializa el mineral en el mercado nacional colombiano, utilizando medios de transporte subcontratados como volquetas y tracto camiones de tres ejes.
La cadena de suministro de la empresa minera que se basa en el flujo de información, productos y dinero, está conformada por los eslabones de proveedores de insumos y equipos, la mina, el patio de acopio, y los clientes a los que se vende el carbón térmico. A continuación, se presenta una representación de la cadena de suministro en estudio (ver Figura 1 ).

Figura 1: Cadena de suministro de empresa minera
Fuente: Elaboración propia
Para desarrollar los flujos de información, productos y dinero en la cadena de suministro, la empresa planea, ejecuta y controla procesos logísticos de a) compras y almacenamiento para adquirir los insumos, equipos y herramientas, b) explotación y almacenamiento del carbón en patios, c) transporte entre la mina y el patio de almacenamiento, y este último hasta las zonas de consumo de los clientes en el mercado nacional utilizando camiones rígidos y volquetas.
4.2. Definir
En esta etapa se realiza una caracterización del proceso de transporte de carbón térmico, que incluye desde el cargue de los camiones y volquetas pasando por el ruteo y movilización física del mineral hasta el descargue que se realiza en las instalaciones del cliente (Tabla 3).
Tabla 3. Caracterización proceso de transporte de carbón

De la caracterización del proceso de transporte, se identifican los siguientes CTQ’s, que la empresa considera críticos para garantizar una operación eficaz y eficiente.
-
Pedidos despachados completos respecto a cantidad de carbón en Kilogramos o en toneladas.
-
Tiempo promedio de cargue y descargue del medio de transporte.
-
Entregas realizadas a tiempo.
-
Pedidos que cumplen con la calidad del carbón.
-
Variaciones en el costo de transporte del carbón de la mina hasta el cliente.
De los diferentes CTQ’s, se selecciona el relacionado como tiempo promedio de cargue y descargue del medio de transporte, y las cantidades completas despachadas de carbón en Kilogramos o en toneladas, debido al impacto en la satisfacción de las necesidades de los clientes, los costos de operación de la empresa, y el sistema de transporte.
4.3. Medir
Una vez identificados cada uno de los CTQ’s de interés para el desarrollo la metodología de mejoramiento, se realiza una medición del estado actual a través del uso de los índices de capacidad estadísticos de procesos: a)
,
, b) nivel sigma y (Defecto por Millón de Oportunidades).
El permite medir la capacidad potencial del proceso de transporte para cumplir con las especificaciones y mide la capacidad real del transporte para cumplir con las especificaciones respecto a la atención de los pedidos en tiempo y cantidad, incluyendo si el proceso se encuentra centrado o no respecto a los límites de especificación establecido.Las expresiones utilizadas que permiten realizar los cálculos respectivos, se describen a continuación (Tabla 4).
Tabla 4. Índices de capacidad de desempeño proceso de transporte

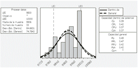
A continuación, se presentan los resultados obtenidos de calcular el
y
, las cantidad completas de carbón en kilogramos enviadas a los clientes (ver Figura 2) y el tiempo promedio de cargue y descargue del medio de transporte

Figura 2: Índice
y
para cantidad despachada de carbón en kg.
Fuente: Elaboración propia, Minitab 15®
(Figura 3). Se utiliza el software estadístico Minitab 15® para apoyar y facilitar la realización de los cálculos estadísticos.

Figura 3: Índice
y
para tiempo promedio de cargue del carbón en medios de transporte
Fuente: Elaboración propia, Minitab 15®
A partir de los resultados de los índices para la cantidad de carbón enviadas (Figura 2), se puede indicar que la capacidad potencial de la operación es
, lo cual, permite establecer cuantitativamente que en la actualidad, la operación no permite satisfacer las necesidades de los clientes respecto a la cantidad despachada en kg de acuerdo a la cantidad pactada en la negociación. Esta misma situación, se confirma con el
, el cuál, es menor
, evidenciado la incapacidad del proceso para cumplir con las especificaciones negociadas con el cliente respecto a cantidades enviadas.
Nótese que el tiempo de cargue en el medio de transporte (Figura 3), tiene una capacidad potencial
, menor a
, refleja la incapacidad del método actual y los recursos para cumplir con las especificaciones para que la operación se desarrolle de manera eficiente, impactando directamente el adecuado desempeño de transporte. Respecto a la capacidad real de la operación del cargue, el
, menor a 1, confirma la incapacidad actual de la operación, reflejando la necesidad de plantear propuestas de mejoramiento.
Por su parte, el nivel sigma permite medir la cantidad de errores o defectos que el proceso de cargue y transporte presenta en el desarrollo de las operaciones logísticas. Los datos deben obtenerse por medio de un muestreo aleatorio de la operación que garantice que el análisis del estado actual sea identificado y entendido por el analista o equipo de mejora.
A continuación se presentan las fórmulas para el cálculo del nivel sigma y el para cada una de los CTQ’s para la cantidad despachada de carbón en kg y el tiempo de cargue de los medios de transporte, posteriormente se muestran los resultados obtenidos para los CTQ’s en estudio (ver Tabla 5).
Tabla 5. y nivel sigma en transporte del carbón térmico

El y el nivel sigma para la cantidad despachada de carbón en kg y tiempo promedio de cargue, se presenta a continuación (Tabla 6).
Tabla 6: Cálculo de y Nivel sigma para la cantidad de despacho y tiempo de cargue de medios de transporte

Fuente: Elaboración propia
Una vez realizadas las mediciones, se puede indicar que para la cantidad de despacho en el proceso de transporte de carbón, se obtiene un nivel sigma bajo. Este indicador complementa los resultados obtenidos por los índices
y
, permitiendo establecer cuantitativamente la ineficiencia y baja capacidad del despacho al proyectar
de pedidos a despachar, aproximadamente un 24% no cumpliría con las especificaciones.
Para el CTQ’s, tiempo promedio de cargue de los medios de transporte, se obtiene un valor proyectado de ,0 un incumplimiento de la especificación en un 34% aproximadamente, lo cual, confirma la ineficiencia e incapacidad del proceso para satisfacer las necesidades de los clientes y los requerimientos de la operación.
4.4. Análisis del proceso de transporte
A partir de la medición de los índices de capacidad
,
, nivel sigma y , se complementa el análisis con un diagrama causa-efecto, estudiando como los factores: mano de obra, métodos, materiales e insumos, equipos, medio ambiente y medición afectan el tiempo de cargue y las cantidades de despacho del carbón, identificando las causas raíz que llevan a la no conformidad del proceso logístico de transporte del carbón térmico (Figura 4).

Figura 4: Diagrama causa efecto de CTQ pedidos despachados completos
Fuente: Elaboración propia, Minitab 15®
Del diagrama de causa-efecto para el despacho de carbón, se identifican las siguientes causas raíz que afectan la capacidad de la operación para atender las necesidades de los clientes y contribuir a la eficiencia del transporte:
-
Báscula o equipo de pesaje del carbón a despachar con calibración inadecuada.
-
El método de cargue y condiciones del vehículo donde se realiza el transporte no contribuye a que se garanticen las cantidades pactadas con el cliente.
-
El personal de la operación debe fortalecer las competencias para contribuir a la eficiencia.
Del diagrama causa-efecto para el tiempo de cargue de los medios de transporte, se identifican las siguientes causas raíz que afectan la capacidad de la operación para cumplir con los tiempos (Figura 5).

Figura 5: Diagrama causa efecto de CTQ tiempo de cargue dentro especificaciones
-
El método de cargue de los medios de transporte debe ser mejorado, garantizando la confiabilidad del equipo, incluyendo actividades de mantenimiento y controles respecto al uso de sistemas de pesaje.
-
Fortalecer las competencias a nivel operativo y táctico del personal de operación para contribuir a la eficiencia.
-
Mejorar la infraestructura para facilitar el desarrollo de las operaciones en el tiempo pactado.
4.5. Mejora
A partir de los factores o causas raíz de la problemática asociada al tiempo de cargue y cantidad de pedidos de carbón despachado completo en kilogramos, se presentan propuestas de mejora que buscan promover el aumento de la eficiencia y la eficacia del proceso de transporte. Una vez, planteadas las mejoras se realiza una medición de los índices
,
, nivel sigma y como evidencia del aporte del Six Sigma como herramienta de mejora orientada al cliente y basada en datos.
Las mejoras planteadas para el proceso de transporte de carbón térmico en el caso de análisis, que pueden ser de interés son:
-
Mejorar el control y la calibración de los equipos de pesaje para garantizar que las cantidades despachadas en kg a los clientes cumplan con las condiciones negociadas. Esta mejora puede soportarse en el desarrollo de un estudio estadístico de Reproducibilidad y Repetibilidad (R&R) que garantice un pesaje confiable, impactando los costos y la satisfacción de las necesidades de los clientes.
-
Rediseñar el método de cargue de los medios de transporte, incluyendo mejoramiento de las actividades, modernización del cargador (equipo de manejo de materiales) y fortalecer las competencias del personal buscando que se oriente a la eficiencia y satisfacción de las necesidades de los clientes.
-
Diseñar una estrategia de planeación y control del cargue y gestión del transporte del carbón buscando aumentar la eficiencia y productividad.
4.6. Control
Para garantizar el mantenimiento y control de las mejoras obtenidas, se sugiere que se realice una medición de periodicidad mensual de los índices
,
, nivel sigma y para los CTQ’s, y otros factores críticos del transporte del carbón térmico, utilizando la metodología utilizada en las etapas anteriores. Se sugiere la utilización de gráficos de control del tipo X barra-s, permitiendo monitorear el tiempo de cargue y la cantidad de pedidos despachados, de tal forma que operen en las condiciones de desempeño planificadas buscando que contribuyan a la eficiencia, eficacia y satisfacción de las necesidades de los clientes.
A continuación, se ejemplifica las características gráfico de control X barra-s como estrategia de control y mantenimiento de la mejora en el proceso de transporte de carbón en estudio. Inicialmente, se presenta la estructura del gráfico de control, y posteriormente se presenta su utilización (Tabla 7).
Tabla 7. Estrategia basada en gráficos de control

A continuación, se presenta una carta de control individual que permite realizar seguimiento a la CTQ’s de cantidad de carbón despachado utilizando como herramienta de apoyo el software estadístico Minitab 15® (Figura 6).

Figura 6. Gráfico de control individual de cantidad de carbón despachado
Fuente: Elaboración propia
Se puede observar, que el proceso con algunas mejoras en el método de despacho y pesaje se encuentra operando dentro de los límites de control superior (LCS) e inferior (LSC).
En el proceso de transporte de carbón, se pueden utilizar diferentes gráficos de control según las CTQ’ a realizar seguimiento y gestionar el cumplimiento de las especificaciones, orientándose a la satisfacción de las necesidades clientes y eficiencias.
5. CONCLUSIONES
El estudio realizado permite concluir que el transporte del carbón es un proceso logístico crítico que impacta en la satisfacción de las necesidades de los clientes, los costos de operación y la eficiencia, de allí la importancia de un adecuado diseño y mejoramiento continuo.
Para el mejoramiento del transporte de carbón se desarrolló una metodología basada en la adaptación del DMAIC de Six Sigma, permitiendo caracterizar el proceso, medir cuantitativamente su desempeño y capacidad a través de estadística industrial, además de la identificación de causas raíz que permite definir oportunidades de mejora que impacten en el cliente y la eficiencia del proceso logístico. Adicionalmente, la metodología posee un componente de control basado en gráficos de control e índices de capacidad que permite realizar un seguimiento y monitoreo eficiente de las operaciones y recursos asociados al transporte.
La utilización de la metodología en una empresa de minería de carbón de mediana escala permite ejemplificar los beneficios de utilizar el Six Sigma como herramienta de mejora debido a que el diagnóstico del estado actual, el mejoramiento y el control del proceso de transporte se realiza con un enfoque cuantitativo basado en el cálculo de índices de capacidad
,
, y gráficos de control estadístico. Por tanto, con este enfoque se realiza una innovación aplicada que contribuye al estado del arte del tema y un enfoque para incrementar la productividad del sector minero.
A futuro, se podría estudiar la posibilidad de mejoramiento y alcance de la metodología a través de la inclusión de técnicas avanzadas de diseño de experimentos, simulación discreta y metaheurísticos que permitan desarrollar propuestas de mejoramiento para que el transporte de carbón se realice de manera eficiente y orientada al cliente.
BIBLIOGRAFÍA
[01] Anaya, J., 2007. Logística integral: La gestión operativa de la empresa. ESIC Editorial, Madrid, Pág 86.
[02] Arango, M., Gil, H. & Zapata, J., 2009. Logística Esbelta Aplicada Al Transporte En El Sector Minero. Boletín De Ciencias De La Tierra. pp 121136.
[03] Baker,P. & Canessa, M., 2009. Warehouse design: A structured approach. European Journal of Operational Research 193(2): 425-436.
[04] Ballou, R. (2004). Business Logistics management.5th ed. Prentice Hall, United States.Pág 252.
[05] Caravantes, G.,Caravantes, C. & Bjur, W., 1997. Administração e Qualidade.Makron Books, São Paulo.
[06] Chen, M. &Lyu, J., 2009. A Lean Six-Sigma approach to touch panel quality improvement”, Production Planning & Control: The Management of Operations, vol 20, n° 5, pp 445-453.
[07] Correa, A. & Gómez, R., 2009. Tecnologías de Información y Comunicaciones en la Cadena de Suministro. RevistaDyna 76(1), pp37-48.
[08] Dedhia, N., 2005. Six Sigma basics. Total Quality Management & Business Excellence, vol. 16, n° 5, pp. 567-577.
[09] Denton, D., 1990. Qualidade em serviços: o atendimento ao cliente como fator de vantagem competitiva. São Paulo. McGraw-Hill.
[10] Ferguson, D., 2007. Lean and Six Sigma: The same or different? Management Services. pp.12-3.
[11] Goldsby, T.&Martichenko, R., 2005. Lean Six Sigma Logistics: Strategic Development To Operational Success. J. Ross Publishing, Inc.
[12] Gutiérrez, R. & De La Vara, R., 2009.Control Estadístico de Calidad y Six Sigma. McGraw Hill, México,482 p.
[13] Jacoby, H. & Minten, B., 2008. On measuring the benefits of lower transport costs. Journal of Development Economics, Vol 89, N° 1, pp 28-38.
[14] Jones, E., Parast, E. & Adams, S., 2010. Framework for effective Six Sigma implementation. Total Quality Management & Business Excellence, vol. 21, n°. 4, pp. 415.
[16] Kuik, S., Nagalingam, S., Amer, Y. & Saw, S., 2010. Implementation of Six Sigma methodology to improve supply chain network in the context of Malaysian manufacturing industries, Supply Chain Management and Information Systems (SCMIS), pp. 1-8.
[17] Martichenko, R., Lean LogisticsUnderstanding. Lean Cor. [citado 13-09-11]. Disponible en internet: http://www.ltdmgmt.com/understanding-lean-logistics.asp.
[18] MINERCOL, 2004. Guía Ambiental Transporte del Carbón. Bogotá: Editorial Marín Vieco Ltda., 31 p.
[19] Ministerio de Minas y Energía, 2003. Cadena Productiva del Carbón [en línea]. Colombia, [citado13-09-11]. Disponible en internet: <http://www.minminas.gov.co/minminas/minas.jsp?cargaHome=3&id_categoria=111&id_subcategoria=249>
[20] Pande, P., Neuman, R. & Cavanagh, R., 2001.Estratégia Seis Sigma. Rio de Janeiro: Qualitymark.
[21] Robusté, F. (2005). Logística del transporte. UPC Barcelona, Pág 56.
[22] Rodrigues, M., 2006. Entendendo, aprendendo, desenvolvendo qualidade padrão Six Sigma. Rio de Janeiro: Qualitymark.
[23] Sánchez, R., 2008. Establishing a transport operation focused uncertainty model for the supply chain. International Journal of Physical Distribution & Logistics Management Vol. 38 No. 5, pp. 388411
[24] SIMCO, 2011. Minería del carbón [En línea].Colombia, [citado 13-09-11]. Disponible en internet:<http://www.simco.gov.co>
[25] UPME, 2010. Distritos Boletín Estadístico de Minas y Energía 1990-2010. Bogotá: UPME. 65p
[26] VanIwaarden, J., Van der Wiele, T., Dale, R. &Bertsch, B., 2008. The Six Sigma improvement approach: a transnational comparison, International Journal of Production Research, vol. 46, N°. 23, pp. 6739-6746
Cómo citar
APA
ACM
ACS
ABNT
Chicago
Harvard
IEEE
MLA
Turabian
Vancouver
Descargar cita
Visitas a la página del resumen del artículo
Descargas
Licencia
Derechos de autor 2011 Boletín de Ciencias de la Tierra

Esta obra está bajo una licencia internacional Creative Commons Atribución-NoComercial-SinDerivadas 4.0.
El autor o autores de un artículo aceptado para publicación en cualquiera de las revistas editadas por la facultad de Minas cederán la totalidad de los derechos patrimoniales a la Universidad Nacional de Colombia de manera gratuita, dentro de los cuáles se incluyen: el derecho a editar, publicar, reproducir y distribuir tanto en medios impresos como digitales, además de incluir en artículo en índices internacionales y/o bases de datos, de igual manera, se faculta a la editorial para utilizar las imágenes, tablas y/o cualquier material gráfico presentado en el artículo para el diseño de carátulas o posters de la misma revista. Al asumir los derechos patrimoniales del artículo, no podrá reproducirse parcial o totalmente en ningún medio impreso o digital sin permiso expreso del mismo.







