Crecimiento y composición bioquímica de Limnothrix sp. a diferentes salinidades y concentraciones de nitrato
Título en ingles: Growth and biochemical composition of Limnothrix sp. at different salinities and concentrations of nitrate
Título corto: Crecimiento y composición bioquímica de Limnothrix sp.
Resumen
Se evalúo el efecto de la salinidad (15, 25 y 35 UPS) y concentración de nitrato (4, 8 y 16 mmoles L-1) sobre el crecimiento y composición bioquímica de la cianobacteria Limnothrix sp. (LAEP- 52) con miras a su explotación para fines biotecnológicos. La cianobacteria se cultivó durante 20 días a 25°C, 98 µmol m-2s-1, fotoperiodo 12:12 y aireación continua (200 mL min-1). El crecimiento fue evaluado cada 48 horas a través de la medición de la densidad óptica a 730 nm. Se evidenció que la salinidad y la concentración de nitrato modulan el crecimiento y la composición bioquímica de Limnothrix sp. El mayor crecimiento (6.3 ± 0.38 mg mL-1), contenidos de proteínas (57 ± 4.56 %), ficocianina (170.3 ± 13.6 µg mL-1) y clorofila a (16 ± 1.28 µg mL-1) se obtuvieron a la menor salinidad (15 UPS) y mayor concentración de nitrato (16 mmoles L-1). Por el contrario, las mayores concentraciones de lípidos (21.3± 1.19 %), carbohidratos (14.47 ± 1.15 %) y carotenoides (6 ± 0.48 µg mL-1) se lograron en la mayor salinidad (35 UPS) y menor concentración de nitrato (4 mmoles L-1). La producción de exopolisacáridos sólo fue influenciada por la salinidad, llegando a alcanzar sus mayores valores a 35 UPS (1600 ± 112.25 mg L-1). Los contenidos de proteínas, lípidos, carbohidratos y pigmentos obtenidos en esta cianobacteria permiten catalogarla como un organismo que puede ser usado en las industrias biotecnológicas, ya sea como alimento para organismos cultivados o como fuente de metabolitos de interés industrial.
Palabras clave: cianobacteria, biotecnología, Limnothrix
Abstract
In this research we evaluate the effect of salinity (15, 25 and 35 UPS) and nitrate concentration (4, 8 and 16 mmoles L-1) on growth and biochemical composition of the cyanobacterium Limnothrix sp. (LAEP-52) with a view to exploitation for biotechnological purposes. The cyanobacterium was grown in volumes of 1 L for 20 days. The culture conditions included 25 °C, irradiance of 98 µmol m-2 s-1, photoperiod 12:12 and continuous aeration (200 mL min-1). Growth was evaluated every 48 hours through the measurement of optical density at 730 nm. It showed that salinity and concentration of nitrate modulate the growth and biochemical composition of Limnothrix sp. The highest values of growth (6.3 ± 0.38 mg mL-1), protein content (57 ± 4.56%), phycocyanin (170.3 ± 13.6 mg mL-1) and chlorophyll a (16 ± 1.28 mg mL-1) were obtained at the lowest salinity (15 UPS) and highest levels of nitrate (16 mmolesL-1). By contrast, higher concentrations of lipids (21.3 ± 1.19%), carbohydrate (14.47 ± 1.15%) and carotenoids (6 ± 0.48 mg mL-1) were achieved in the highest salinity (35 UPS) and the lowest concentrations of nitrate (4 mmoles L-1). The production of exopolysaccharides was only influenced by salinity, reaching its highest values at 35 UPS (1600 ± 112.25 mg L-1). The content of proteins, lipids, carbohydrates and pigments obtained in this cyanobacterium allow cataloged as an organism which can be used in biotechnology industries, either as feed for farmed organisms or as a source of metabolites of industrial interest.
Key words: cyanobacteria, biotechnology, Limnothrix
ARTÍCULO CORTO
Crecimiento y composición bioquímica de Limnothrix sp. a diferentes salinidades y concentraciones de nitrato
Growth and biochemical composition of Limnothrix sp. at different salinities and concentrations of nitrate
Título corto: Crecimiento y composición bioquímica de Limnothrix sp.
Nathalie Lemus1 , Miguel Guevara2 , César Lodeiros3 , Aleikar Vásquez4 , Luis Freites5 y Berenice Licet6.
1Magíster en Ciencias Marinas. Investigadora del Instituto Nacional de Investigaciones Agrícolas (INIA), Venezuela. lenatha2001@yahoo.es
2Doctor en Ciencias Biológicas. Investigador del Instituto Oceanográfico de Venezuela, Universidad de Oriente, Cunamá, 6101, Venezuela. miguevara2003@yahoo.es
3Ph.D. Biología. Investigador del Instituto Oceanográfico de Venezuela. cesarlodeirosseijo@yahoo.es
4Magíster en Ciencias Marinas. Docente de la Universidad de Oriente, Venezuela. valeikar@yahoo.es
5Dr. en Ciencias Biológicas. Investigador del Instituto Oceanográfico de Venezuela. lfreitesv@yahoo.es
6Magíster en Ciencias Marinas. Investigadora del Instituto Nacional de Investigaciones Agrícolas (INIA), Venezuela. berenicelicett20@yahoo.com
Recibido: noviembre 15 de 2012 Aprobado: junio 20 de 2013
Resumen
Se evalúo el efecto de la salinidad (15, 25 y 35 UPS) y concentración de nitrato (4, 8 y 16 mmoles L-1) sobre el crecimiento y composición bioquímica de la cianobacteria Limnothrix sp. (LAEP- 52) con miras a su explotación para fines biotecnológicos. La cianobacteria se cultivó durante 20 días a 25°C, 98 µmol m-2s-1, fotoperiodo 12:12 y aireación continua (200 mL min-1). El crecimiento fue evaluado cada 48 horas a través de la medición de la densidad óptica a 730 nm. Se evidenció que la salinidad y la concentración de nitrato modulan el crecimiento y la composición bioquímica de Limnothrix sp. El mayor crecimiento (6.3 ± 0.38 mg mL-1), contenidos de proteínas (57 ± 4.56 %), ficocianina (170.3 ± 13.6 µg mL-1) y clorofila a (16 ± 1.28 µg mL-1) se obtuvieron a la menor salinidad (15 UPS) y mayor concentración de nitrato (16 mmoles L-1). Por el contrario, las mayores concentraciones de lípidos (21.3± 1.19 %), carbohidratos (14.47 ± 1.15 %) y carotenoides (6 ± 0.48 µg mL-1) se lograron en la mayor salinidad (35 UPS) y menor concentración de nitrato (4 mmoles L-1). La producción de exopolisacáridos sólo fue influenciada por la salinidad, llegando a alcanzar sus mayores valores a 35 UPS (1600 ± 112.25 mg L-1). Los contenidos de proteínas, lípidos, carbohidratos y pigmentos obtenidos en esta cianobacteria permiten catalogarla como un organismo que puede ser usado en las industrias biotecnológicas, ya sea como alimento para organismos cultivados o como fuente de metabolitos de interés industrial.
Palabras clave: cianobacteria, biotecnología, Limnothrix
Abstract
In this research we evaluate the effect of salinity (15, 25 and 35 UPS) and nitrate concentration (4, 8 and 16 mmoles L-1) on growth and biochemical composition of the cyanobacterium Limnothrix sp. (LAEP-52) with a view to exploitation for biotechnological purposes. The cyanobacterium was grown in volumes of 1 L for 20 days. The culture conditions included 25 °C, irradiance of 98 µmol m-2 s-1, photoperiod 12:12 and continuous aeration (200 mL min-1). Growth was evaluated every 48 hours through the measurement of optical density at 730 nm. It showed that salinity and concentration of nitrate modulate the growth and biochemical composition of Limnothrix sp. The highest values of growth (6.3 ± 0.38 mg mL-1), protein content (57 ± 4.56%), phycocyanin (170.3 ± 13.6 mg mL-1) and chlorophyll a (16 ± 1.28 mg mL-1) were obtained at the lowest salinity (15 UPS) and highest levels of nitrate (16 mmolesL-1). By contrast, higher concentrations of lipids (21.3 ± 1.19%), carbohydrate (14.47 ± 1.15%) and carotenoids (6 ± 0.48 mg mL-1) were achieved in the highest salinity (35 UPS) and the lowest concentrations of nitrate (4 mmoles L-1). The production of exopolysaccharides was only influenced by salinity, reaching its highest values at 35 UPS (1600 ± 112.25 mg L-1). The content of proteins, lipids, carbohydrates and pigments obtained in this cyanobacterium allow cataloged as an organism which can be used in biotechnology industries, either as feed for farmed organisms or as a source of metabolites of industrial interest.
Key words:cyanobacteria, biotechnology, Limnothrix
Introducción
Las cianobacterias se han utilizado en diferentes investigaciones, destacándose entre éstas su uso como complemento alimenticio (Grewe y Pulz, 2012), biofertilizantes (Irisarri et al., 2001) y biorremediadoras de ambientes eutroficados (Ruangsomboon et al., 2013), indicadoras de contaminación orgánica (Peinador 1999), productoras de una amplia variedad de compuestos bioactivos con posible interés farmacéutico (Abed et al., 2009; Rastogi y Sinha, 2009), exopolisacáridos (Vicente et al., 2004), y energía en forma de hidrógeno (Min y Sherman, 2010); siendo las especies pertenecientes a los géneros Nostoc, Anabaena, Spirulina, Arthrospira, Nostoc, Phormidium, Synechocystis, Oscillatoria, Limnothrix y Synechococcus, entre otras, las más estudiadas (Thajuddin y Subramanian, 2005).
El crecimiento de las cianobacterias en ambientes acuáticos está controlado por una variedad de factores ambientales, entre los que destacan el tipo y contenido de nutrientes utilizados en el medio de cultivo, cepa, salinidad, irradiancia, temperatura, pH, fase de crecimiento en el momento de la cosecha y calidad del agua, entre otros (Whitton y Potts, 2000; Hifney et al., 2013). El manejo adecuado de tales factores pueden inducir diferentes respuestas metabólicas en las cianobacterias (Aikawa et al., 2012), lo cual ha sido aprovechado para modular la composición bioquímica de estos microorganismos y conferirles de esta forma, mayor interés biotecnológico (Fábregas et al., 1998).
La cianobacteria Limnothrix sp. ha sido objeto de varios estudios, ya sea por las contribuciones ecológicas o por la aparición de diferentes cepas asociadas a afloramientos en cuerpos de agua eutroficados (marinos y de agua dulce), donde, generalmente, se pueden observar asociaciones de Oscillatoria, Limnothrix redekey, Limnothrix spp. y Plantothrix agardii (Komarek 1989). Tomando en consideración que, a pesar de la abundancia de esta cianobacteria en diferentes cuerpos de agua, existen escasos reportes relacionados con su crecimiento y composición bioquímica, por lo cual este trabajo se planteó como objetivo evaluar el efecto del incremento de la salinidad y de la concentración de nitrato sobre la composición bioquímica y el crecimiento de la cianobacteria Limnothrix sp, con miras a su explotación para fines biotecnológicos.
Materiales y métodos
Organismo y condiciones de cultivo
La cianobacteria Limnothrix sp. (LAEP-52) fue obtenida del Laboratorio de Organismos Fotosintéticos de la Universidad del Zulia, Venezuela y mantenida en el cepario permanente del Laboratorio Acuicultura, ext. Plancton del Departamento de Biología Pesquera del Instituto Oceanográfico de Venezuela, Universidad de Oriente.
Los cultivos se realizaron de forma discontinua, durante 20 días, en Erlenmeyer de 1000 mL de capacidad, conteniendo 800 mL de agua de mar filtrada (filtros Whatman GFC, 0.45 µm) y esterilizada en autoclave a 120°C, 15 libras de presión durante 15 min. Se evaluaron tres salinidades (15, 25 y 35 UPS) y tres concentraciones de nitrato (4, 8 y 16 mmoles L1) utilizando como nutrientes el medio Algal (Fábregas et al., 1984). Todos los cultivos recibieron aireación constante de 200 mL min-1 y estuvieron expuestos a 25 ± 1°C, 250 µmol m-2 s-1 de irradiancia y fotoperíodo 12:12h.
Evaluación de los parámetros de crecimiento
Crecimiento: Desde el inicio del ensayo y cada dos días se evaluó el crecimiento de los cultivos a través de la medición de la densidad óptica a 730 nm (Mundt et al., 2001). Al final del ensayo (fase estacionaria) se realizó la toma de las muestras para determinar la biomasa y composición bioquímica.
Biomasa: La determinación de la masa seca se realizó mediante el sistema de filtración Millipore©, para lo cual se filtraron 5 mL, por triplicado, de cultivo a través de filtros de fibra de vidrio de 0.45 µm de tamaño de poro, y posteriormente se lavaron con 5 mL de formiato de amonio, 0.5 moles L-1(pH 7.5) y secados hasta masa constante a 60 °C.
Evaluación de la composición bioquímica
Las muestras para los análisis bioquímicos (5 mL por triplicado) se centrifugaron durante 10 minutos a 7000 x g (25 °C). Los pellets obtenidos fueron congelados a -20 °C hasta que se realizaron los análisis que incluyeron:
Pigmentos: El contenido de clorofila a y carotenoides totales se determinó de acuerdo a la metodología de Wegmann y Metzner (1971), mientras que el de ficocianina se analizó según Boussiba y Richmond (1979).
Proteínas, carbohidratos y lípidos totales: La determinación de proteínas se realizó mediante el método de Lowry (Lowry et al., 1951), carbohidratos por el método fenol-sulfúrico (Dubois et al., 1956) y lípidos totales por el método de carbonización simple (Bligh y Dyer, 1959; Marsh y Weinstein, 1966).
Exopolisacáridos: El contenido de exopolisacáridos se determinó en el sobrenadante según el método de precipitación en acetona (Vicente et al., 2004).
Análisis estadístico
Los resultados de los parámetros de crecimiento y composición bioquímica de la cianobacteria sometida a las diferentes salinidades y concentración de nitrato se analizaron a través de un análisis de varianza de dos factores (salinidad y concentración de nitrato). La existencia de diferencias significativas se contrastó mediante el método de comparaciones múltiples de Scheffé (Zar 1984), empleándose en ambos análisis el paquete estadístico Statgraphics plus 4.1.
Resultados
Crecimiento
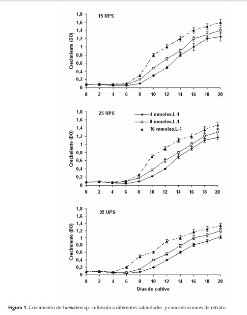
El crecimiento de Limnothrix sp. fue influenciado significativamente (p< 0.05) por la salinidad y la concentración de nitrato en el medio de cultivo. Se observó que el mayor crecimiento (DO= 1.6 ±0.08, Fig. 1) ocurrió a la menor salinidad (15 UPS) y a la mayor concentración de nitrato ensayada (16 mmoles L-1)
Masa seca
Los mayores valores de biomasa seca de Limnothrix sp. al final de la experimentación mostraron diferencias significativas (p<0.05) entre las diferentes salinidades y concentraciones de nitrato ensayadas, alcanzando su máximo contenido (6.3 ± 0.38 mg mL-1) a 15 UPS y 16 mmoles L-1 de nitrato (tabla 1). La interacción entre salinidad y concentración de nitrato fue significativa (P<0.05), observándose que el incremento de la salinidad conjuntamente con la disminución de la concentración de nitrato en el medio cultivo disminuyó la producción de biomasa en esta cianobacteria.
Pigmentos
El contenido de clorofila a reveló diferencias significativas (p< 0.05) entre todos los tratamientos, con la excepción de los cultivos expuestos a 4 y 8 mmoles L-1 de nitrato. El valor más elevado de este pigmento (16.0 ± 1.28 µg mL-1) se obtuvo a 15 UPS y 16 mmoles L-1 de nitrato (tabla 1)
De igual forma, el contenido de ficocianina presentó diferencias significativas (p < 0.05) con las diferentes salinidades y concentraciones de nitrato, alcanzando su máxima concentración (170.3 ± 13.60 µg mL-1) a 15 UPS y 16 mmoles L-1 de nitrato (tabla 1).
La acumulación de carotenoides fue influenciada por las salinidades y las concentraciones de nitrato. Se observa que el incremento de la salinidad y la disminución de la concentración de nitrato produjeron un aumento significativo (p< 0.05) de estos pigmentos, obteniéndose su mayor contenido (6.0 ± 0.48 µg mL-1) a 35 UPS y 4 mmoles L-1 de nitrato (tabla 1)
Proteínas, carbohidratos y lípidos totales
Estas macromoléculas mostraron diferencias significativas (p<0.05) tanto en las salinidades como en las concentraciones de nitrato. El incremento de la salinidad y la disminución de la concentración de nitrato en los cultivos de Limnothrix sp. LAEP-52 estuvo asociado a incrementos significativos (p<0.05) en el contenido total de lípidos y carbohidratos, alcanzando sus valores máximos (21.3 ± 1.19 y 14.47 ± 1.15 %, respectivamente) a 35 UPS y 4 mmoles L-1 de nitrato (tabla 1). Las proteínas tuvieron un comportamiento inverso al observado en los lípidos y carbohidratos, ya que su mayor contenido (57.0 ± 4.56 %) se obtuvo en los cultivos con menor salinidad (15 UPS) y mayor contenido de nitrato (16 mmoles L-1) (tabla 1).
Exopolisacáridos
Estos componentes extracelulares mostraron diferencias significativas (p<0.05) sólo en las diferentes salinidades, alcanzando su máximo valor promedio (1567 mg L-1) a 35 UPS; estos contenidos duplican los obtenidos en los cultivos con salinidades de 15 y 25 UPS (tabla 1).
Discusión
La cianobacteria Limnothrix sp. Cepa LAEP-52 creció en las diferentes salinidades ensayadas, siendo mayor su crecimiento en las salinidades inferiores, lo cual pudiera sugerir la capacidad que tienen este microorganismo para colonizar ambientes marinos, estuarinos y dulceacuícolas. Esta adaptación a un amplio rango de salinidad ha sido observada en diversas cianobacterias, entre las cuales destaca Nodularia por presentar un notable crecimiento en salinidades que varían desde 1 hasta 60 UPS, con un máximo entre 5-10 UPS. Esta plasticidad fisiológica permite a esta cianobacteria sobrevivir en lagos salobres con variaciones extremas de salinidad, al cambiar las estaciones del año (Nordin y Stein, 1980).
La halotolerancia de ciertas cianobacterias pudiera entenderse como un mecanismo, no sólo para colonizar diferentes ambientes sino también como una estrategia, para evitar la depredación por parte de organismos forrajeros, como ha sido demostrado en Aphanothece sp. por Berland et al., (1989). De esta forma, puede evidenciarse que la haloadaptación es un mecanismo de importancia fundamental para sobrevivir en un hábitat en particular y tiene prioridad sobre los otros procesos celulares, incluido la división celular (Krish 1979). En este estudio se evidenció el crecimiento de Limnothrix sp. Cepa LAEP-52 hasta 35 UPS, por lo que se recomienda realizar estudios a mayores salinidades para observar la respuesta en cuanto al crecimiento y otras variables, en función de determinar la capacidad halotolerante de la cepa.
El crecimiento de las cianobacterias ante cambios de la salinidad y concentraciones de nutrientes es diversa, y al igual que la irradiancia y la temperatura, va a depender de la interrelación de estos parámetros, de la especie y de las condiciones existentes en su hábitat. El mayor crecimiento de Limnothrix sp., medido como densidad óptica y masa seca ocurrió en los cultivos con bajas salinidades (15 UPS) y altas concentraciones de nitrato (16 mmoles L-1). Resultados similares han sido referidos en Synechocistis minuscula (Jonte et al., 2003) y Spirulina fusiformis (Rafiqul et al., 2003), las cuales disminuyeron su crecimiento al verse expuesta a altas salinidades.
El incremento del crecimiento de muchas cianobacterias con el aumento de la concentración de nutrientes ha sido referido ampliamente en la literatura. De esta forma, en Oscillatoria sp., O. agardhii y O. redekei, O. rubescens, Spirulina platensis, Anacystis nidulans, Anabaena PCC 7120 y Synechococcus sp. IO9201 se ha demostrado una correlación positiva entre el crecimiento y el aumento de nutrientes en el medio de cultivo (Loreto et al., 2003; Fuenmayor et al., 2009).
La síntesis de macromoléculas en Limnothrix sp. se vio afectada por la salinidad y la concentración de nitrato. Los contenidos de clorofila a, ficocianina y proteínas totales alcanzaron sus máximos valores en los cultivos con bajas salinidades y altas concentraciones de nitrato; por el contrario las mayores salinidades conjuntamente con las bajas concentraciones de nitrato propiciaron la acumulación de lípidos, carbohidratos, carotenos y exopolisacáridos.
La tendencia de mayor acumulación de proteínas, clorofila a, ficocianina al aumentar la oferta de nitrógeno y bajar la salinidad en los cultivos de Limnothrix ha sido observada en otras cianobacterias como por ejemplo Synechocystis minuscula (Jonte et al., 2003), Pseudoanabaena galeata (Mora et al., 2002), Nostoc muscorum (Blumwald y Tel-Or 1982), Chroococcidiopsis sp. (Billi y Grilli, 1996), Anabaena sp. PCC 7120 (Loreto et al., 2004), Synechococcus sp. (Lau et al., 1977) y Spirulina maxima (Tredicci et al., 1986).
Los resultados del incremento de la acumulación de lípidos y carbohidratos en Limnothrix sp. al incrementar la salinidad de los cultivos están concordancia con los resultados obtenidos en la cianobacteria Spirulina fusiformis, la cual mostró una relación positiva entre la salinidad y la acumulación de estas macromoléculas (Rafiqul et al., 2003). Este aumento de lípidos y carbohidratos a elevadas salinidades podría estar involucrado en la protección ante el estrés salino, como lo sugiere Ritter y Yopp, (1993) en la cianobacteria Aphanothece halophytica.
La mayor producción de exopolisacáridos de Limnothrix a la mayor salinidad ensayada ha sido referida como un mecanismo que le permite a este organismo aislarse de ambientes extremos que pudieran ocasionar la deshidratación celular (Whitton 1992). Esta respuesta de alta producción de exocompuestos a altas salinidades y baja concentración de nitratos también ha sido observada en Navicula subinflata (Bhosle et al., 1995) y Cyanothece (De Philippis et al., 1993).
A pesar de que en esta investigación y en los reportes mencionados previamente se observó una tendencia de la disminución clorofila a, y proteínas totales al incrementar la salinidad y disminuir la concentración de nitrato, hay que tener en cuenta el efecto que pudiera ejercer la intensidad luminosa. En esta investigación no se analizó la influencia de este parámetro sobre la síntesis de los pigmentos; sin embargo, se ha reportado que en Dunaliella y Arthrospira, la alta intensidad luminosa favorece el incremento de la síntesis de carotenoides totales y la disminución de la clorofila a en cultivos con elevada salinidad y deficiencia de nitrato (Loeblich 1982; Ben-Amotz y Avron, 1983; Borowitzka et al., 1990). Faltaría precisar el efecto de las altas irradiancias sobre la fisiología de Limnothrix sp. LAEP-52 en la producción de pigmentos y otros compuestos.
Los resultados de esta investigación evidencian que Limnothrix sp. es una cianobacteria con potencial biotecnológico que pudiera ser usada como suplemento alimenticio de peces y crustáceos cultivados, por los altos contenidos de proteínas, lípidos y carbohidratos que presenta, los cuales satisfacen los requerimientos nutricionales de estos organismos (Tacon 1989); además, sus concentraciones de pigmentos, específicamente carotenos y ficocianina sugieren su utilización en las industrias farmacéutica y cosmética, dado a que se ha demostrado que estos compuestos son potentes colorantes naturales usados en medicamentos y cosméticos como antioxidantes, protectores solares y en terapias fotodinámicas (Hirata et al., 2000). Otros compuestos de valor biotecnológico encontrado en cantidades apreciables en Limnothrix sp. son los exopolisacáridos, los cuales tienen mucha aplicación en la industria farmacéutica como anticoagulantes, antivirales y antioxidantes (Chamorro et al., 2002); además también se han empleado en la biorremediación de suelos contaminados por xenobióticos, ya que funcionan como quelantes de metales pesados, y como removedores de material suspendido en reservorios de agua (Bender y Phillips, 2004; Trabelsi et al., 2009; Ruangsomboon et al., 2013).
Conclusión
El crecimiento y la composición bioquímica de la cianobacteria Limnothrix sp. son afectados por la salinidad y las concentraciones de nitrato usadas para su cultivo. Los contenidos de proteínas, lípidos, carbohidratos y pigmentos obtenidos en esta cianobacteria permiten catalogarla como un organismo que puede ser usado en las industrias biotecnológicas, ya sea como alimento para organismos cultivados o como fuente de metabolitos de interés industrial.
Agradecimientos
Esta investigación fue financiada por Consejo de Investigación de la Universidad de Oriente (CI 02-030603-1282/06).
Referencias bibliográficas
1 Abed R., Dobretsov S., Sudesh K. 2009. Applications of cyanobacteria in biotechnology. Journal of Applied Microbiology. 106 (1): 1-12.
2 Aikawa S., Izumi Y., Matsuda F., Hasunuma T., Chang J., Kondo A. 2012. Synergistic enhancement of glycogen production in Arthrospira platensis by optimization of light intensity and nitrate supply. Bioresource Technology.108 (1): 211-215.
3 Ben-Amotz A., Avron M. 1983. On the Factors witch determine massive β-carotene accumulation in the halotolerant alga Dunaliella bardawil. Plant Physiology. 72 (3): 593-597.
4 Berland B., Le Campion T., Campos H. 1989. Interaction de la salinité et de la température sur la morphologie, la croissance et la composition cellulaire d`une Cyanobactérie halotolerante (Aphanothece sp.). Botanica Marina. 132 (4): 317-329.
5 Bhosle N., Sawant S., Garg A., Wagh A. 1995. Isolation and partial chemical analysis of exopolysaccharide from the marine fouling diatom Navicula subinflata. Botanica Marina. 38 (1-6): 103-110.
6 Bender J., Phillips P. 2004. Microbial mats for multiple applications in aquaculture and bioremediation. Bioresource Technology. 94 (3): 229-238.
7 Billi D., Grilli M. 1996. Effects of nitrogen limitation and starvation on Chroococcidiopsis sp. (Chroococcales). New Phytologist, 133 (4): 563-571.
8 Bligh E., Dyer W. 1959. A rapid method of total lipid extraction and purification. Canadian Journal of Biochemistry and Physiology. 37 (1): 911- 917.
9 Blumwald E., Tel-Or E. 1982. Osmoregulation and cell composition in salt-adaptation of Nostoc muscorum. Archives of Microbiology. 132 (1): 168-172.
10 Borowitzka M., Borowitzka L., Kessly D. 1990. Effects of salinity increase on carotenoid accumulation in the green alga Dunaliella salina. Journal of Applied Phycology. 2 (1): 111-119.
11 Boussiba S., Richmond A. 1979. Isolation and characterization of phycocyanins from the blue- green alga Spirulina platensis. Archives of Microbiology. 120 (2): 155- 159.
12 Chamorro G., Salazar M., Gomes K., Pereira C., Ceballos G., Fabila L. 2002. Actualización en la farmacología de Spirulina (Arthrospira), un alimento no convencional. ALAN, 52 (3): 232-240.
13 De Philippis R., Margheir M., Pelosi E., Ventura S. 1993. Exopolysaccharide production by a unicellular cyanobacterium isolated from a hypersaline habitat. Journal of Applied Phycology. 5 (4): 387-394.
14 Dubois M., Gilles K., Halmilton J., Rebers P., Smith F. 1956. Colorimetric method for determination of sugars and related substances. Analytical Chemistry. 28 (3): 350-356.
15 Fábregas J., Abalde J., Herrero C., Cabezas B., Veiga M. 1984. Growth of the marine microalga Tetraselmis suecica in batch cultures with different salinities and nutrient concentrations. Aquaculture, 42 (3-4): 207-215.
16 Fábregas J., García D., Morales E., Dominguez A., Otero A. 1998. Renewal rates of semicontinuous cultures of the microalga Porphyridium cruentum modifies phycoerythrin, exopolysaccharide and fatty acid productivity. Journal of Fermentation and Bioengineering. 86 (5): 477 - 481.
17 Fuenmayor G., Jonte L., Rosales N., Morales E. 2009. Efecto de la salinidad y la concentración de nutrientes sobre el crecimiento y composición bioquímica de la cianobacteria autóctona Oscillatoria sp. MOF-06. Ciencia, 17 (1): 50-57.
18 Grewe C., Pulz O. 2012. The biotechnology of cyanobacteria. In: Ecology of cyanobacteria II: Their diversity in space and time. Whitton B.(ed.), 707-733 pp. Springer Science+Business Media.
19 Hifney A., Issa A., Fawzy . 2013. Abiotic stress induced production of beta carotene, allophycocyanin and total lipids in Spirulina sp. Journal of Biology and Earth Sciences. 3 (1): 54-64.
20 Hirata K., Yoshitomi S., Dwi S., Iwabe O., Mahakhant A., Polchai J., Miyamoto K. 2003. Bioactivities of nostocine a produced by a freshwater cyanobacterium Nostoc spongiaeforme TISTR 8169. Journal of Bioscience and Bioengineering. 95 (5): 512-517.
21 Irisarri P., Gonnet S., Monza J. 2001. Cyanobacteria in Uruguayan rice fields: diversity, nitrogen fixing ability and tolerance to herbicides and combined nitrogen. Journal of Biotechnology. 91 (2-3): 95-103.
22 Jonte L., Rosales N., Briceño B., Morales E. 2003. La salinidad y la irradiancia modulan el crecimiento de la cianobacteria Synechocystis minuscula en cultivos discontinuos. Multiciencias. 3 (1): 1-14.
23 Komarek J. 1989. Taxonomic studies concerning the Cuban flora of cyanophytes/ cyanobacteria and containing foundation material for the Cryptogamic Flora-De-Cuba.7-9. Studies on the Cyanophytes of Cuba. . Folia geobotanica & phytotaxonomica. 24 (2): 171-206.
24 Krish G. 1979. Osmotische adaptation der marinen planktonalge Platymonas subcordi formis (Hazen). Berichte der Schweizerischen Botanischen Gesellschaft. 92 (1): 31-42.
25 Lau R., Mackenzie M., Doolittle W. 1977. Phycocyanin synthesis and degradation in the blue-green bacterium Anacystis nidulans. Journal of Bacteriology. 132 (3): 771-778.
26 Loeblich L. 1982. Photosynthesis and pigments influenced by light intensity and salinity in the halophile Dunaliella salina (Chlorophyla). Journal of Marine Biology & Oceanography. 62 (3): 493-508.
27 Loreto C., Mora R., Marco E., Morales E. 2004. Influencia del nitrato sobre la producción de biomasa, pigmentos y proteínas de la cianobacteria Anabaena sp. PCC 7120. Ciencia.12 (2): 137-143.
28 Loreto C., Rosales N., Bermúdez J., Morales E. 2003. Pigment and protein production of the Cyanobacterium Anabaena PCC 7120 in relation to nitrogen concentration and irradiance. Gayana Botánica. 60 (2): 83-89.
29 Lowry O., Rosebrough H., Farr A., Randall R. 1951. Protein measurement with the folin-phenol reagent. Journal of Biological Chemistry. 193 (1): 265-275.
30 Marsh J., Weinstein D. 1966. Simple charring method for determination of lipids. Journal of Lipid Research. 7 (1): 574-592.
31 Min H., Sherman L. 2010. Hydrogen production by the unicellular, Diazotrophic cyanobacterium Cyanothece sp. Strain ATCC 51142 under conditions of continuous light. Applied and Environmental Microbiology. 76 (13): 4293-4301.
32 Mora R., Ortiz N., Clemente Y., Bermúdez J., Avendaño D., Morales E. 2002. Efecto del nitrato, irradiancia y salinidad sobre la producción de clorofila a de microalgas cultivadas y aisladas en la región Noroccidental de Venezuela. Oceánides. 17 (2): 73-83.
33 Mundt S., Kreilow A., Nowotny A., Effmert U. 2001. Biochemical and pharmacological investigations of selected cyanobacteria. International Journal of Hygiene and Environmental Health. 203 (4): 327- 334.
34 Nordin R., Stein J. 1980. Taxonomic revision of Nodularia (Cyanophyceae/Cyanobacteria). Canadian Journal of Botany. 58 (11): 1211-1224.
35 Peinador M. 1999. Las cianobacterias como indicadores de contaminación orgánica. Revista de Biologia Tropical. 47 (3):381-391.
36 Rafiqul I., Hassan A., Sulebele G., Orozco C., Roustaian P., Jalal K. 2003. Salt stress culture of Blue-green Algae Spirulina fusiformis. Pakistan Journal of Biological Sciences. 6 (7): 648-650.
37 Rastogi R., Sinha R. 2009. Biotechnological and industrial significance of cyanobacterial secondary metabolites. Biotechnology Advances. 27 (4):521-539
38 Ritter D., Yopp J. 1993. Plasma membrane lipid composition of the halophilic cyanobacterium Aphanothece halophytica. Archives of Microbiology. 159 (5): 435-439.
39 Ruangsomboon S., Wongrat L., Choochote S., Ganmanee M., Saparnklang A. 2013. Effects of low pH and Pb2+ stress on living cyanobacterium, Phormidium angustissimum West & G.S.West: A test of its feasibility as a living biosorbent. Journal of Applied Phycology. DOI 10.1007/s10811-013-0004-9.
40 Tacon A. 1989. Nutrición y Alimentación de Peces y Camarones cultivados. Manual de Capacitación Programa cooperativo Gubernamental FAO -ITALIA. Organización de las Naciones Unidas para la Agricultura y la Alimentación Brasil. 572 pp.
41 Thajuddin N., Subramanian G. 2005. Cyanobacterial biodiversity and potential applications in biotechnology. Current Science. 89 (1): 47-57.
42 Trabelsi L., Houda N., Ben Ouada H., Bacha H., Roudesli S. 2009. Partial characterization of extracelular polysaccharides produced by cyanobacterium Arthrospira platensis. Biotechnology and Bioprocess Engineering. 14 (1): 27-31.
43 Tredicci M., Papuzzo T., Tomaselli L. 1986. Outdoor mass culture of Spirulina maxima in sea- water. Applied Microbiology and Biotechnology. 24 (1): 47-50.
44 Vicente V., Ríos E., Calderón G., Cañizares R., Olvera R. 2004. Detection, isolation, and characterization of exopolysaccharide produced by a strain of Phormidium 94 a isolated from an arid zone of Mexico. Biotechnology and Bioengineering. 85 (3): 306- 310.
45 Wegmann K., Metzner H. 1971. Synchronization of Dunaliella salina cultures. Archiv für Mikrobiologie. 78 (1): 360- 367.
46 Whitton B., Potts M. 2000. The Ecology of Cyanobacteria. Kluwer Academy Publisher. Netherlands. 32 pp.
47 Whitton B. 1992. Diversity, ecology and taxonomy of the cianobacteria. In: Photosynthetic Prokaryotes. Mann NH, Carr NG (eds), 1-51 pp. Plenum Press, New York.
48 Zar J. 1984. Biostatistical Analysis. Prentice Hall, Englewoods Cliff, New Jersey. USA
Cómo citar
APA
ACM
ACS
ABNT
Chicago
Harvard
IEEE
MLA
Turabian
Vancouver
Descargar cita
Visitas a la página del resumen del artículo
Descargas
Licencia
Derechos de autor 2013 Revista Colombiana de Biotecnología

Esta obra está bajo una licencia internacional Creative Commons Atribución 4.0.
Esta es una revista de acceso abierto distribuida bajo los términos de la Licencia Creative Commons Atribución 4.0 Internacional (CC BY). Se permite el uso, distribución o reproducción en otros medios, siempre que se citen el autor(es) original y la revista, de conformidad con la práctica académica aceptada. El uso, distribución o reproducción está permitido desde que cumpla con estos términos.
Todo artículo sometido a la Revista debe estar acompañado de la carta de originalidad. DESCARGAR AQUI (español) (inglés).





