DESARROLLO DE APIO MINIMAMENTE PROCESADO FORTIFICADO CON VITAMINA E, UTILIZANDO LA INGENIERIA DE MATRICES
Palabras clave:
Apio mínimamente procesado, ingeniería de matrices, impregnación al vacio, vitamina E. (es)DESARROLLO DE APIO MINIMAMENTE PROCESADO FORTIFICADO CON VITAMINA E, UTILIZANDO LA INGENIERIA DE MATRICES
DEVELOPMENT OF MINIMALLY PROCESSED CELERY FORTIFIED WITH VITAMIN E, BY MATRIX ENGINEERING
YISELL JOHAN MARTELO CASTAÑO
Ingeniera Química,
Universidad Nacional de Colombia Sede Medellín, yjmartel@unal.edu.co
MISAEL CORTES RODRIGUEZ
Departamento de Ingeniería Agrícola y
Alimentos. Universidad Nacional de Colombia- Medellín, mcortesro@unal.edu.co
HÉCTOR SUAREZ MAHECHA
Departamento de Ingeniería Agrícola y
Alimentos. Universidad Nacional de Colombia- Medellín, hsuarezm@unal.edu.co
Recibido para revisar agosto 11 de 2009, aceptado diciembre 18 de 2009, versión final febrero 19 de 2010
RESUMEN: El objetivo de este trabajo fue desarrollar un producto mínimamente procesado fortificado con vitamina E, a partir de apio (Apium graveolens L.var.dulce), utilizando la ingeniería de matrices como metodología de obtención de alimentos funcionales. Trozos de apio impregnados al vacío con dl-a-tocoferol acetato emulsificado en una solución isotónica al vegetal de NaCl, 1,2%, fueron evaluados en función del tiempo de almacenamiento y el envasado (con y sin vacío), en términos de la cuantificación de sus propiedades fisicoquímicas, color, textura, estabilidad de la vitamina E y características sensoriales. Se formuló la emulsión con el objetivo de adicionar teóricamente un 73% del Valor Diario Recomendado (VDR) vitamina E/100 g de apio fresco y su cuantificación se realizó por HPLC. La respuesta a la impregnación en la matriz fue de 12,10±1,15%, lo cual permitió alcanzar un 112% VDR vitamina E/100g apio fresco, manteniéndose este contenido durante el almacenamiento de 9 días en ambos tipos de envasado. Los parámetros fisicoquímicos del producto fueron afectados por la IV, el tiempo y el envasado, manteniendo su coloración verdosa y presentando disminución en la firmeza. La ingeniería de matrices constituye una metodología efectiva para el desarrollo de apio mínimamente procesado adicionado con vitamina E.
PALABRAS CLAVE: Apio mínimamente procesado, ingeniería de matrices, impregnación al vacio, vitamina E.
ABSTRACT: The aim of this study was to develop a minimally processed product added with vitamin E, from celery (Apium graveolens L. var. sweet), using matrix engineering as methodology to obtain functional foods. Vacuum impregnated celery pieces with dl-a-tocopherol acetate emulsified in an isotonic solution to the vegetable of NaCl 1,2%, were evaluated in functions of storage time and packaging (with and without vacuum), in terms of the quantification of their physiochemical properties, color, texture, E vitamin stability and the sensorial characteristics. Emulsion was formulated with the objective to add theoretically 73% of Recommended Daily Value (RDA) vitamin E/100 g of fresh celery and it´s quantification was performed by HPLC. The response to the impregnation in the matrix was 12,10 ± 1,15%, which allowed achieving 112% RDA vitamin E/100g fresh celery, keeping this contents during storage for 9 days in both types of packaging. The physicochemical parameters of the product were affected by the IV, time and packaging, maintaining their green color and presenting decrease in hardness. Matrix engineering is an effective methodology for the development of minimally processed celery added with vitamin E.
KEY WORDS: Minimally processed celery, matrix engineering, vacuum impregnation, vitamin E.
1. INTRODUCCIÓN
Hoy en día, la gente reconoce en mayor medida, que llevar un estilo de vida sano, incluida la dieta, puede contribuir a reducir el riesgo de padecer enfermedades y dolencias, y a mantener el estado de salud y bienestar, por lo cual la tendencia a adquirir hábitos de consumo que mejoren la calidad de vida motiva a los productores e investigadores al desarrollo de alimentos que tienen efectos benéficos para la salud. En la actualidad, existen programas a nivel internacional como 5 al día, que promueven el consumo de frutas y hortalizas, por su importancia en la prevención de enfermedades, y existe un interés marcado en crear alianzas entre los gobiernos, empresas y el sector académico para trabajar investigaciones que permitan contribuir en la solución a la problemática nutricional y en el desarrollo de alimentos saludables diferenciados con características funcionales, dándole un mejor aprovechamiento de los recursos naturales de las regiones.
El mercado de los alimentos funcionales gana cada día más cobertura entre los consumidores, soportado con muchas investigaciones que se realizan en este campo las cuales enfatizan en la innovación, desarrollo y propiedades benéficas proporcionadas por el consumo de alimentos o ingredientes alimentarios que produzcan efectos beneficiosos sobre las funciones orgánicas, además de sus efectos nutricionales intrínsecos, apropiados para mejorar la salud y el bienestar y reducir el riesgo de enfermedades [1].
Entre algunos ejemplos de alimentos funcionales, destacan los alimentos que contienen o se le ha incorporado componentes con actividad fisiológica, como minerales, vitaminas, ácidos grasos, fibras, probióticos, prebióticos, entre otros. Ya existen una gran variedad de alimentos a disposición del consumidor, pero en estos momentos la prioridad es identificar qué alimentos funcionales pueden mejorar la salud y el bienestar y reducir el riesgo o retrasar la aparición de importantes enfermedades.
Hoy en día, es posible modificar la composición física y química de los alimentos mediante avances en la ingeniería, ciencia y tecnología de este campo, a través de la ingeniería de matrices [2], para desarrollar un mercado de nuevos productos funcionales con características de productos frescos: productos mínimamente procesados funcionales (PMPF). La ingeniería de matrices utiliza los conocimientos en composición de las matrices alimentarias, sus estructuras y sus propiedades micro estructurales para generar cambios favorables al aplicar la técnica de impregnación a vacío (IV), la cual extrae los gases o líquidos extracelulares de los alimentos y permite el ingreso de soluciones, dispersiones o emulsiones que contienen componentes fisiológicamente activos (CFA) deseados de incorporar en el alimento [2]. En ese sentido el desarrollo de PMPF a partir de estructuras vegetales utilizando CFA, como antioxidantes dietéticos tales como la vitamina E, representa una alternativa muy innovadora, ya que esta vitamina tiene excelentes propiedades como neutralizadora de radicales libres, protegiendo las células del organismo. Durante la última década, algunos investigadores han aplicado el proceso IV con diferentes objetivos: hongos fortificados con vitamina C, Ca, Se [3], mango fortificado con Ca [4], uchuva enriquecida con microorganismos probióticos [5], calabaza fortificada con hierro [6] y zanahoria cubierta con quitosan, metilcelulosa y acido oleico [7], siendo algunos de los estudios de reciente ejecución. Aplicaciones de fortificación con vitamina E en diferentes estructuras avalan la efectividad de ésta tecnología; manzana [8,9], y uchuva y fresa [10,11, 12,13].
La vitamina E es el antioxidante liposoluble más importante que suministra una red protectora contra el estrés oxidativo, junto con otros antioxidantes tales como la vitamina C [14,15]. Existen diferentes formas químicas con distintas actividades vitamínicas, tales como los tocoferoles y tocotrienoles, los cuales presentan variación en su biodisponivilidad así como también en propiedades antioxidantes intrínsecas [16].
El apio es una planta que se adapta fácilmente al procesamiento mínimo, siendo ampliamente estudiados los métodos para su conservación con este tipo de tratamiento [17, 18, 19, 20] y por lo tanto, hace parte de una serie de vegetales listos para consumir, disponibles en los supermercados, gracias a los avances tecnológicos en cuanto a técnicas de empaque que permiten mantenerlo con optima frescura y calidad durante su almacenamiento [17]. El apio, es un vegetal hipocalórico (20 kcal/100 gr) [21], cuya estructura porosa favorece la aplicación de la ingeniería de matrices y así la obtención de PMPF con CFA, no siendo antes sometido a estudio para conocer su viabilidad como estructura propicia para la aplicación de la IV.
El objetivo de este trabajo fue desarrollar un producto mínimamente procesado fortificado con vitamina E, a partir de apio (Apium graveolens L.var.dulce), utilizando la ingeniería de matrices como metodología de obtención de alimentos funcionales.
2. MATERIALES Y METODOS
2.1 Material vegetal
Se utilizaron apios (Apium graveolens L.var.dulce),
obtenidos de un mercado local de Medellín, con hojas crespas de coloración
verde brillante, libre de manchas amarillas o cafés, tallo de coloración
uniforme y de textura firme y compacta. Se utilizaron formas troceadas con una longitud
entre 3 y 4 cm,
espesor del tallo entre 1 y 1,5
cm y altura de 2 cm. Los pesos promedio para las muestras experimentales fueron de 3,5± 1,5 g.
2.2 Caracterización fisicoquímica y física
Se
determinó el contenido de humedad
(% p/p) a 105ºC hasta peso
constante [21]. El pH
se cuantificó usando un titulador automático por inmersión del electrodo en la
muestra (Hanna Istruments pH 211), previa
calibración con soluciones tampón de pH 2, 4, 7, y 10 a 25ºC. El contenido de sólidos solubles (ºBrix) por lectura refractométrica con un refractómetro Metler Toledo a 20ºC. La acidez
por titulación con NaOH 0,1N, utilizando fenolftaleina como indicador y se expresó
en g de ácido cítrico/100 g muestra. La densidad de las
disoluciones por el método del picnómetro [22]. La densidad aparente (rapm) por la relación de masa de
la muestra y volumen desplazado por la misma en una probeta.
El proceso de extracción de la vitamina E se realizó por el método descrito por Kmostak y Kurtz [23], adaptado por Cortés [9], utilizando hexano como disolvente de extracción. Al residuo seco de extracción con el dl-a-tocoferol acetato se le adicionó 1 mL de metanol y se inyectó 25 mL en el HPLC (Shimadzu Prominence 20A). Las condiciones del HPLC fueron las siguientes: columna Premier C18, Synergi 5mm, dimensiones 250 x 4,6mm ID., tamaño de partícula: 5 µm, fase móvil (Metanol/ Acetronitrilo: 75/25), velocidad de flujo: 1mL/min, método: Isocrático, temperatura columna: ( 45°C), detector: PDA (arreglo de fotodiodos, 285 nm). Se realizaron dos curvas de calibración diluidos en metanol, una con el estándar primario Supelco dl-a-tocopherol acetate (99,9% ±- 0,5%) de concentraciones 0,0098, 0,0196, 0,0489, 0,0978, 0,1956, 0,3912, 0,4890, 0,7824, 0,9780, 1,1736, 1,3692, 1,5648, 1,9560 y 4,890 mg/mL y otra con el estándar primario Supelco dl-a-tocopherol (rango: 0,0019 mg/mL - 0,9966 mg/mL).
El color se determinó utilizando un espectro colorímetro X-RITE, modelo SP64, iluminante D65 y observador de 10° como referencia y a partir de los espectros de reflexión se obtuvieron las coordenadas de color del CIE L*a*b* y las coordenadas tono o matiz (hab*= tan-1(b*/a*) y croma o saturación (Cab*= (a2+b2)1/2.
La textura se determinó a partir de ensayos mecánicos de punción, utilizando un analizador de textura (TA.XT2, Stable Micro Systems, Surrey, UK) y el software textura expert exceed, versión 2.64. Se utilizó una sonda metálica de 5 mm de diámetro, a una velocidad de penetración de 2 mm/s hasta una distancia de 5 mm para determinar la fuerza máxima de deformación (Fmax) en el lado interno del peciolo del apio.
2.3 Metodología de impregnación al vacío
Los experimentos de IV
fueron llevados a cabo en un equipo diseñado en la Universidad Nacional de
Colombia, Sede Medellín, el cual consiste en una cámara de acero inoxidable que
tiene en su interior un sistema electromecánico para desplazar la muestra
dentro y fuera del recipiente que contiene el líquido de impregnación y un
sistema de vibración para eliminar el líquido adherido en la superficie de las
muestras. El sistema cuenta con una bomba de vacío Dosivac DVR 140 y un
vacuómetro (0-760 mm Hg). La condición local de experimentación
presentó una presión barométrica aproximada de 640 mm Hg. El proceso IV consistió en sumergir las
muestras en el líquido de impregnación, colocadas previamente en una malla de
acero inoxidable, y someterlas a un vacío de 150 mm Hg durante 5 minutos, posteriormente se
restableció la presión atmosférica y se mantuvieron las muestras sumergidas por
otros 5 minutos. Durante el proceso IV se determinó la evolución de los pesos y
volúmenes de las muestras y del líquido de impregnación, expresándose la respuesta
IV en términos de la fracción y deformación volumétrica en la etapa de vacío (X1:
m3 de solución impregnada/m3 de muestra inicial y g1:
m3 de deformación en la muestra /m3 de muestra inicial) y
se cuantificaron al final del proceso (X y g), además de la porosidad
eficaz (Ee: m3 de gas/m3 de muestra). La metodología y el
cálculo de los parámetros IV ha sido descrita según modelos matemáticos por algunos autores [24].
El líquido de impregnación fue una emulsión isotónica (EI), con fase acuosa al vegetal (solución de NaCl al 1,2% p/p); se utilizó una mezcla de surfactantes, Span 60 (BHL=4,7) y Tween 80 (BHL= 15) (0,0294 y 0,0306 % p/p respectivamente, los cuales se fijaron con referencia a un estudio de caracterización de la concentración micelar crítica de estos, desarrollada en trabajos preliminares de emulsiones de fortificación con vitamina E [9]. El cálculo de la composición de la vitamina E (dl-a tocoferol acetato, 96,7% pureza) y el ácido ascórbico en la EI, se realizó mediante el balance de materia en el sistema de impregnación descritos en la ecuaciones 1 y 2 [9], lo que implicó realizar pruebas preliminares de IV con la solución isotónica de NaCl 1,2% (SI) para conocer un valor preliminar de X.
(1)
(2)
Donde,
y
son las fracción másicas del CFA en apio fresco
e impregnado respectivamente, rapm es
la densidad aparente del apio fresco (g/ cm3); rSI la densidad de la SI;
la fracción másica del CFA en la
EI. El criterio de fortificación de la vitamina E,
se fijó en un 73% del Valor Diario de Referencia (VDR) ( 0,022 g dl-a-tocoferol acetato en 100 g apio), según el decreto 288 de 2008 del Ministerio de Protección Social de
Colombia [25] y el ácido ascórbico, se fijó
en 60 mg en 100
g de apio.
La EI se preparó en un recipiente de vidrio con camisa de enfriamiento, acoplado a un homogenizador IN-LINE (IKA-Werke, Staufen, Germany) y operado a 10.000 rpm, durante 10 minutos. La estabilidad de la EI se determinó a partir del índice de estabilidad (R) (relacionado con el tamaño de partícula), utilizando el método de absorción espectral a los tiempos de 24, 48 y 72 horas, por lecturas de absorbancia a 800 y 400 nm (R = A800 /A400) [26], medidas en un espectrofotómetro ThermoSpectronic Genesys 20.
2.4 Almacenamiento
Las muestras de apio
troceado impregnado fueron envasados con y sin vacío (CV y SV,
respectivamente), en bolsas plásticas multicapa de poliamida-polietileno marca ALICO S.A., con barrera al vapor de
agua (<15 g/m2/24hr/atm,
T=38 ºC), O2 (60 cc/m2/24hr/atm, 23 ºC), N2 y CO2 y mantenidas a temperatura
de refrigeración de 4°C. El tiempo de estudio se fijó en 9 días, de acuerdo
a ensayos preliminares con apio fresco que permitiera niveles de desarrollo de
hongos y levaduras aceptables y características de producto no fermentado. Los parámetros fisicoquímicos se realizaron en
63 muestras para cada tiempo de control (0 y 9 días). El color y la textura se
valoraron a tiempos de 0, 3, 6, y 9 días, llevándose a cabo los muestreos
para cada condición de almacenamiento en 7 ramales de apios, escogiendo de cada
ramal 3 peciolos y de cada peciolo se cortaron trozos del vegetal en 3 posiciones: posición 1: zona lado cercano a las hojas,
posición 2: zona media, posición 3: la zona
cercana al cuello de la raíz, resultando
en un total de 63 lecturas para cada condición de almacenamiento. La
cuantificación de la vitamina E se realizó por
triplicado para cada condición de almacenamiento, en estado fresco y en los tiempos
de 0 y 9 días.
2.5 Análisis
microestructural
Se utilizó la técnica de observación por microscopía electrónica de barrido (SEM), con
un equipo marca JEOL JSM 5950 LV,
25 Pa de vacío y 15 kv de corriente eléctrica, para verificar la
presencia de la vitamina E y así determinar el tamaño promedio de las gotas en
los espacios intercelulares del tejido del apio IV. Las muestras fueron
liofilizadas inicialmente y recubiertas con una fina capa de oro para su
observación. Para la determinacion del valor de tamaño promedio de las gotas
oleosas, fueron analizadas 3 imágenes de trozos de apio IV.
2.6 Evaluación
sensorial
La valoración sensorial fue realizada por triplicado
con un panel entrenado de 10 jueces de la
Fundación INTAL,
Medellín, mediante pruebas escalares [27], con el objetivo de
cuantificar las diferencias sensoriales introducidas en los productos recién
impregnados (IV-0)
e impregnados a un tiempo de almacenamiento de 9 días con vacío (IV-9CV) y sin
vacío (IV-9SV), con respecto a
una muestra de referencia fresca (FRES). Se calificó en una escala numérica
bipolar de 9 bloques con calificación 1, 2, 3, 4 (> intensidad del atributo)
y -1, -2, -3, -4 (< intensidad del atributo) respectivamente. Los atributos
seleccionados para cada una de las muestras fueron color, sabor salado, sabor
acido, sabor amargo, sensación grasa, dureza, jugosidad y aceptación global,
posicionándose la muestra de referencia en el bloque central.
2.7 Análisis
estadístico
Se utilizó un diseño
multifactorial completamente aleatorizado con factores de efectos fijos: tratamiento
(Fresco e IV), tiempo de almacenamiento (0 y 9) y tipo de empaque (CV y SV). Los
resultados fueron evaluados a partir de ANOVAS utilizando el método LSD
(Mínimas Diferencias Significativas) como método de comparaciones múltiples,
con un nivel de confianza del 95% (a=0,05). El análisis de varianza fue
realizado con el paquete estadístico STATGRAPHICS PLUS versión 5.1.
3. RESULTADOS Y DISCUSION
3.1 Impregnación al vacío
La tabla 1 presenta los valores medios y sus desviaciones estándar (DE) de rapm, rNaCl, 1.2%,
y
,
requeridos para la determinación de la composición de vitamina E y el ácido
ascórbico en la EI (
y
).
Se observa que las composiciones de los componentes en la EI son muy bajas, lo cual indica
que el valor agregado que se busca en el producto no encarecería en forma
elevada su costo de producción, desde el punto de vista de materias primas a
utilizar en el proceso.
Tabla 1. Parámetros fisicoquímicos y
de IV para la determinación de la formulación EI
Table
1. Physicochemical and IV parameters to determination of the EI formulation

La tabla 2 presenta los valores promedio y las desviaciones estándar de los parámetros de impregnación X, X1, g, g1 y Ee en muestras impregnadas con la SI y la EI.
Tabla 2. Valores medios con intervalos LSD (95%) de los
parámetros: X, X1, g, g1 y Ee, en función del tratamiento de
impregnación con solución SI y emulsión isotónica EI
Table 2. Means Values with LSD (95%) intervals of the
parameters: X, X1, g, g1 and Ee in function
of the impregnation treatment with isotonic solution and emulsion

El ANOVA no presentó diferencias estadísticas significativas (p>0,05) en X1, g1, X y g por efecto del factor líquido de impregnación, siendo atribuible a que la base de la EI es la misma SI y los bajos contenidos del resto de componentes no ejerce una influencia en el proceso de transferencia de masa durante la IV. El valor promedio de X fue del orden del 13%, lo cual identifica al apio como una matriz muy favorable al proceso IV y esto es correspondiente con los valores alcanzados de la Ee (≈15%), los cuales son superiores a la porosidad real del apio (6,7 ± 3,9%). Los valores de los parámetros X1, g1 y g fueron negativos, lo que indica que la matriz durante la etapa de vacío presenta salida de líquido nativo (agua más solutos) desde el interior, fenómeno que contribuye al colapso estructural produciendo una ligera contracción volumétrica (0,6%).
Por otro lado, el restablecimiento de la presión atmosférica, produce una nueva compresión en la estructura durante el ingreso de la EI, que genera un efecto global de deformación volumétrica entre un 1,5 y 2,0% (estructura con características viscoelásticas), que a las condiciones sometidas durante el proceso IV, no restablece a su condición micro estructural inicial, lo cual es el resultado del acoplamiento del mecanismo hidrodinámico (MHD) y el fenómeno de formación-relajación (FDR) [28].
La tabla 3 presenta el índice R, en función del tiempo, para diferentes % totales de tensoacticos con un Balance Hidrófilo Lipófilo (BHL) (escala de medidas de la fuerza relativa de la parte hidrófila y lipófila del tensoactivo) de 8 (0,051% de Tween 80 y 0,049% de Span 60).
Tabla 3. Resultados de la optimización de la emulsión isotónica
EI a 72 horas de estabilidad
Table
3. Results
of the EI optimization at 72 hours of stability

En todos los tiempos de control, la composición total de surfactantes de 0,06% p/p, fue la que presentó el menor índice R. Esta situación es favorable para la estabilidad de la EI y está relacionada con el menor tamaño de gotas de vitamina E en el sistema coloidal [26, 29]. Por otro lado, desde el punto de vista práctico de la estabilidad de la EI, la presencia de pequeñas cantidades de electrolitos monovalentes como el NaCl, están contribuyendo su estabilización por fuerzas electrostáticas del sistema coloidal, por la formación de anchas dobles capas eléctricas, constituida por una capa sencilla de contraiones de signo opuesto al de los grupos ionizantes superficiales, fuertemente adsorbida y una capa difusa de coiones repartida en la disolución próxima a la interface [9].
La Figura 1 presenta los valores medios con intervalos LSD (95%) para los parámetros fisicoquímicos humedad, pH, ºBrix, acidez en muestras de apio fresco, IV-0 e IV-9 (SV y CV).

Figura 1. Valores medios con
intervalos LSD (95%) de los parámetros fisicoquímicos de muestras de apio
fresco, IV-0 e IV-9 (SV y CV).
Figure 1. Means values with
LSD (95%) intervals of physicochemical parameters of fresh samples celery, IV-0 and IV-9 (SV and CV).
El ANOVA presentó diferencias estadísticas significativas (p<0,05) en la humedad y la acidez, por efecto del factor tratamiento, mientras que no hubo diferencias (p>0,05) en los ºBrix y el pH. Esta variabilidad en la respuesta de los parámetros fisicoquímicos podría ser atribuible a los mismos fenómenos de salida e ingreso de fluidos comentada anteriormente, que está muy relacionada con la heterogeneidad microestructural de la matriz.
Durante el almacenamiento del apio impregnado, el ANOVA no presentó diferencias estadísticas significativas (p<0,05) en la humedad por efecto de los factores tiempo y tipo de envasado, sin embargo en las muestras SV existe una ligera tendencia a la deshidratación, por la diferencia de potencial químico del agua entre el apio impregnado y la atmósfera de envasado. Para el resto de parámetros, se presentan diferencias estadísticas significativas (P<0,05) con respecto a los factores tiempo y envasado, sin embargo los cambios a pesar de ser algunos estadísticamente significativos (p<0,05), por los bajos coeficientes de variabilidad, no son considerables para la estandarización de los parámetros de calidad del producto final (acidez: 0,24-0,28%, ºBrix: 3,9-3,5, pH: 5,4-4,9, para las condiciones de SV y CV, respectivamente.
Durante el almacenamiento, además de la deshidratación observada, pueden estar ocurriendo algunos fenómenos sin llegar a ser intensos, como la movilización de reservas orgánicas para obtener la energía necesaria y de esta forma mantener la actividad metabólica, igualmente asociado con la senescencia del producto y degradaciones de los carbohidratos. Apreciaciones similares han sido observadas, por algunos autores [20,30].
La Figura 2 presenta valores medios con intervalos LSD (95%) para los parámetros de color L*, a*, b*, Cab* en muestras de apio fresco (FRES), recién impregnadas (IV-0) e impregnadas y almacenadas durante los tiempos de control (IV-3, IV-6 e IV-9), en condiciones CV y SV. El ANOVA presentó diferencias significativas (p<0,05) en L*, a*, b* y Cab* por efecto del factor tratamiento, lo cual se explica por la presencia de la EI incorporado en los espacios intercelulares durante la IV, incrementando la homogeneidad del índice de refracción cerca a la superficie, absorbiendo más luz y presentándose más oscura (<L*), translucida y acentuándose la presencia de la clorofila contenida en la estructura del peciolo del apio [31].

Figura 2. Variación de las coordenadas de
color CIE-L*a*b* y la saturación (cab*) en apio frescos e IV durante
el almacenamiento
Figure 2. Variation of the
CIE-L*a*b * coordinates color and the saturation (cab *) in frech and IV celery during the storage
Durante el almacenamiento de las muestras impregnadas, el ANOVA presentó diferencias significativas (p<0,05) en L*, a*, b* con respecto a los factores tiempo y tipo de envasado. Se observó una ligera tendencia al incremento de la cromaticidad a* (verde (-), rojo (+)), posiblemente debido a la degradación de clorofila presente [31], la cual se potencia por el efecto de dilución que hace la EI en los espacios intercelulares. Lo anterior se refleja en los resultados de Cab*, que presentaron una significante disminución de la saturación de color verde (<C*) del producto CV; sin embargo para el día 6, las muestras SV presenta una disminución ((> cromaticidad verde), atribuible a un mayor contenido de clorofila en el lote experimental y a una mayor deshidratación del producto que potencia la intensidad del color verde (> Cab*). La cromaticidad b* (amarillo (+), azul (-)) presenta una ligera disminución en los tonos amarillosos, más acentuada igualmente en las muestras CV.
En general, el apio se ubica en el en el II cuadrante del plano cromático a*b*, manteniendo durante el almacenamiento las tonalidades verdosas, muy características del vegetal, con una pérdida de traslucidez, por la disminución de humedad a causa de la deshidratación que ocurre bajo refrigeración, situación comentada anteriormente.
La Figura 3 presenta valores medios con intervalos LSD (95%) de la fuerza máxima de deformación (Fmax) de los trozos de apio fresco (FRESC), recién impregnados (IV-0) e impregnados y almacenados durante los tiempos de control (IV-3, IV-6 e IV-9), en condiciones CV y SV.

Figura 3. Parámetros de
textura para
muestras de apio en estado fresco (FRES), recién impregnadas (IV-0) e
impregnadas IV-9 (CV y SV)
Figure 3.Texture parameters
for celery samples in fresh state (FRES) recently impregnated (IV-0) and
impregnated IV-9 (CV and SV)
El ANOVA no presentó diferencias estadísticas significativas (p>0,05) en Fmax con respecto al factor tratamiento y si hubo diferencias (p<0,05) con respecto a los factores tiempo y tipo de envasado. Se observó una significativa disminución en Fmax en el día 6, caracterizada por la pérdida de turgencia de la estructura al presentarse el rompimiento de la membrana celular en el tejido del parénquima en condiciones de refrigeración. Este efecto es conocido como "Pithiness", y se presenta comúnmente para este vegetal bajo condiciones de procesamiento mínimo [20, 30, 32]. Para el resto del almacenamiento, las muestras SV se mantuvieron constantes, mientras que las CV presentaron fluctuaciones en un rango bajo (28 - 33 gf).
3.2 Estabilidad de vitamina E
La tabla 4 presenta los valores medios más sus desviaciones estándar de la concentración de
vitamina E (CVit.E,)
en el apio impregnado y el %VDR por cada 100g apio fresco (FRESC), durante el
almacenamiento a 4°C en los dos
tipos de envasado. Los resultados
de la cuantificación de vitamina E en el apio fresco, registraron trazas de
vitamina E natural, las cuales no se consideraron dentro del balance de materia
para la cuantificación de este
componente en la EI.
Tabla 4. Valores medios con intervalos LSD (95%) de la CVit.E, (mg dl-a-tocoferol
acetato /100 g apio fresco) durante el almacenamiento a 4°C
Table 4. Value means with LSD (95%) intervals of the
CVit. E, (mg dl-a- tocopherol acetate /100 g fresh celery) during the
storage at 4°C

Los resultados obtenidos, muestran la efectividad del proceso para la incorporación de la vitamina E en el interior de la estructura, alcanzando valores superiores en el VDR/100g con respecto a los teóricamente fijados (73%), lo cual corresponde aproximadamente a un 53% de mayor impregnación, es decir; es posible que las muestras experimentales para estos ensayos hayan presentado niveles de X superiores al promedio (6,05%), lo cual significaría que los niveles de impregnación de este lote estaría del orden de X ≈ 9,0%.
La estabilidad de la vitamina E en las muestras impregnadas durante los 9 días de almacenamiento, no presentó diferencias estadísticas significativas (p<0,05) con respecto a los factores tiempo y tipo de envasado. Se puede observar que los coeficientes de variabilidad son significativamente altos, debido a la complejidad de su microestructura, ya que en cada ramal se encuentran peciolos de diferentes dimensiones, con una distribucion y tamaño de poros diferentes.
De acuerdo a los resultados obtenidos en cuanto a los contenidos de vitamina E, no se considera el tipo de envasado crítico para el proceso, , por lo que es recomendable su envasado a condiciones atmosféricas por efectos de costo de producción.
3.3 Microestructura
del apio impregnado
La figura 4 presenta una micrografía a 5000 aumentos, en la zona
interna del trozo de apio impregnado con la EI.

Figura 4. Imágen del microscopio electrónico de barrido, para tejido
de apio IV con EI conteniendo vitamina E
Figure 4. Image of the swept electronic microscope for
celery IV with EI containing vitamin E
Se observan las partículas esféricas vitamina E, con un diámetro de gota aproximado entre 1,6 y 2,06 mm, lo cual es un tamaño adecuado que permite confirmar la estabilidad de la EI, anteriormente comentada. Algunos autores han reportado tamaños del orden del 1 y 1,5 mm en manzana fortificada con vitamina E [9], tamaños de 2 y 3 mm en uchuva fortificada con vitamina E [5,10].
3.4 Evaluación
sensorial
La figura 5 presenta las
intensidades de los descriptores sensoriales para los atributos de color, sabor
salado, sabor acido, sabor amargo, sensación grasa, dureza y jugosidad, para
muestras de pepino impregnadas con respecto a la referencia.

Figura 5. Perfil sensorial de apio IV con
vitamina E
Figure
5. Sensorial Profile of IV celery with vitamin E
Las muestras recién impregnadas (IV-0) frente a la referencia, fueron de un color ligeramente más intenso y traslucido debido a la absorción de luz en la superficie por la presencia de la EI en los espacios intercelulares, lo que igualmente las hizo ligeramente más ácidas y saladas, y acentúa aún más el amargor, característica que es propia del vegetal fresco. La textura se percibió menos dura que la referencia, lo cual no coincidió con los resultados instrumentales, que las mostró estadísticamente similares. No se percibieron cambios en cuanto a la apreciación de la jugosidad. En general el apio IV-0 tuvo una aceptación en la escala alta, media y baja del 40, 30 y 30% respectivamente.
Las muestras impregnadas almacenadas bajo condiciones SV y CV al día 9, presentaron una disminución en su intensidad de color debido principalmente a la degradación de la clorofila, observada instrumentalmente en el incremento de la cromaticidad a*, de igual forma en la dureza y el sabor salado. En las muestras SV no se apreció cambios significantes en los sabores ácido y amargo, en la jugosidad y sensación grasa. La aceptación global del apio fortificado almacenado en condiciones CV tuvo un 10, 50 y 40% en los niveles alto, medio y bajo, respectivamente; mientras que las muestras SV no tuvieron aceptación alta, siendo entre el 60 y 40% para aceptación media y baja. En general, en las muestras CV, los cambios fueron menos significativos que las SV y mejor aceptadas.
4. CONCLUSIONES
El proceso IV es una técnica efectiva para la incorporación de vitamina E emulsionada en el interior de la estructura porosa del apio, permitiendo alcanzar niveles de fortificación del 112% VDR en 100 g de apio fresco. El tiempo de almacenamiento no afecto la estabilidad de la vitamina E
En general los parámetros fisicoquímicos, se afectaron por el proceso IV, el tiempo de almacenamiento y el tipo de envasado. El color del producto de apio desarrollado, mantuvo en general sus tonalidades verdosas, con una perdida de la translucidez de este. La textura presentó una disminución en su resistencia mecánica, por el efecto de la degradación de las membranas celulares del tejido parenquimático.
La caracterización microestructural evidenció la presencia de gotas de vitamina E con diámetro aproximado entre 1,6 y 2,06 mm.
La evaluación sensorial del apio fortificado con vitamina E durante el tiempo de estudio presentó mejor aceptación en las muestras almacenadas en condiciones CV, siendo un 10, 50 y 40% en los niveles alto, medio y bajo, respectivamente.
El apio constituye una estructura vegetal propicia para el desarrollo de productos mínimamente procesados con características funcionales, se recomienda continuar investigaciones que incorporen componentes con actividad fisiológica con la vitamina E.
REFERENCIAS
[1] ASHWELL, M. Concepts of functional foods, ILSI Europe Consice Seri s. 38, 2002.
[2] FITO, P., CHIRALT, A., BETORET, N., GRAS, M., CHAFER, M., MARTINEZ- MONZO, J., ANDRES, A & VIDAL, D. Vacuum impregnation, and osmotic dehydration in matrix engineering: application in functional fresh food development, J. Food Engineering., 49,175-183, 2001.
[3] GARCIA, A & CORTES, M. Desarrollo de hongos comestibles Pleurotos ostreatus minimamente procesados fortificados con calcio, selenio y vitamina C, por aplicacion de la tecnica de impregnacion al vacio. [Tesis de Ingenieria de Alimentos]. Bogota: Universidad Jorge Tadeo Lozano, 2007.
[4] CORTÉS, M., GUARDIOLA, L., PACHECO, R. Aplicación de la ingeniería de matrices en la fortificación de mango (Var. Tommy Atkins) con calcio. DYNA., 74, número 153-1, 19-26, 2007.
[5] MARÍN Z. Viabilidad de desarrollo de productos de uchuva (physalis peruviana l) mínimamente procesados enriquecida con microorganismos probióticos a partir de la ingeniería de matrices. [Tesis de Maestría en Ciencia y Tecnología de Alimentos]. Medellin: Universidad Nacional de Colombia, 2009.
[6] DE ESCALADA, M., CAMPOS, C., HERSCHENSOHN, L. Pumpkin (Cucurbita moschata Duchesne ex Poiret) mesocarp tissue as a food matrix for supplying iron in a food product, J. Food Engineering., 92. 361-369, 2009.
[7] VARGAS, M., CHIRALT, A., ALBORDS, C., GONZALEZ-MARTINEZ, C. Effect of chitosan-based edible coatings applied by vacuum impregnation on quality preservation of fresh-cut carrot. Postharvest Biology and Technology., 51, 263-271, 2009.
[8] CORTES, M., CHIRALT, A., SUAREZ, H. Influence of storage conditions on freeze-dried apple fortified with vitamin E, VITAE., 16 número 1, 31-41, 2009.
[9] CORTÉS, M. Desarrollo de productos de manzana deshidratados enriquecidos con vitamina E". Valencia, [Tesis de Doctorado en Ingenieria de Alimento]. Valencia: Universidad Politécnica, 2004.
[10] RESTREPO, A., CORTÉS, M., MARQUES, C. Uchuvas (Physalis peruviana L.) mínimamente procesadas fortificadas con vitamina E, VITAE., 16, 19-30, 2009.
[11] BOTERO, A. Aplicación de la ingeniería de matrices en el desarrollo de uchuva (physalis peruviana l.) minimamente procesada fortificada con calcio y vitaminas c y e. [Tesis de Maestria en ciencias farmaceuticas- enfasis en alimentos]. Medellin: Universidad de Antioquia, 2008.
[12] RESTREPO, A., CORTÉS, M., ROJANO, B. Determinación de la vida útil de fresa (Fragaria vesca L.) fortificada con vitamina E, DYNA, 159,163-175,2009.
[13] RESTREPO., A. Aplicación de la ingenieria de matrices en el desarrollo de frutas (fresa y uchuva) minimamente procesadas fortificadas con vitamina E mediante la técnica de impregnacion al vacio. [Tesis (Maestria en Ciencia y Tecnologia de Alimentos]. Medellin: Universidad, 2008.
[14] HORWITT, M. Data Supporting Supplementation of Humans with Vitamin E, J. Nutr, 121, 424-429, 1991.
[15] STRAIN, J., MULHOLLAND, C. Vitamin C and vitamin E-synergistic interactions in vivo, J. EXS, 62, 419-422,1992.
[16] JIANG, Q., CHRISTEN, S., SHIGENAGA, M., AMES, B. ?-Tocopherol, the major form of vitamin E in the US diet, deserves more attention, American Journal of Clinical Nutrition ,74, 714-722,2001.
[17] ROBBS, P., BARTZ, J., MCFIE, G., HODGE, N. Causes of decay of fresh-cut celery, J. Food Science., 61, 444-447, 1996.
[18] LOAIZA-VELARDE,J., MANGRICH, M., CAMPOS-VARGAS, R., SALTVEI, M. Heat shock reduces browning of fresh-cut celery petioles, J. Postharvest and Technology., 27. 305-311, 2003.
[19] VIÑA, S., CHAVES,A. Texture changes in fresh cut celery during refrigerated storage. J. of the Science of Food and Agriculture., 83, 1308-1314, 2003.
[20] GOMEZ, P.A., ARTES, F., Improved keeping quality of minimally fresh processed celery sticks by modified atmosphere packaging. Lebensmittel - Wissenschaft and Technologies., 38, 323-329, 2005.
[21] A.O.A.C. International Official Methods of Analysis. International, 17th edition, Maryland, USA , 2003.
[22] A.O.A.C. International Official Methods of analysis of AOAC. Edited by Kenneth Helrich.Volume I and II. Arlington, Virginia. USA , 1990.
[23] KMOSTAK, S., KURTZ, D. Rapid Determination of Supplemental Vitamin E acetate in Feed Premixes by Capillary Gas Chromatography, J. AOAC International, 76 (4), 735-741,1993.
[24] SALVATORI, D., ANDRÉS, A., CHIRALT, A., FITO, P. The response of some properties of fruits to vacuum impregnation. J. of Food Engineering., 21, 59-73.1998.
[25] Ministerio de Protección Social. Colombia Resolucion 0288 de 2008
[26] KAUFMAN V., GARTI, N. Spectral Absorption for Determination of ease of Formation and Stability of oil in water emulsions. J. Dispersion Science and Technology., 2(4), 475-490,1981.
[27] MEILGAAR, M., CIVILLE, G., CARR, B. Sensory Evaluation techniques. 3 editions. Boca Raton, Londres, New York, Washington D.C.: CRS PRESS LLC, 1999.
[28] CHIRALT, A., FITO, P., BARAT, J., ANDRES, A,. GONZALEZ-MARTINEZ, C., ESCRICHE, I. Use of vacuum impregnation in food salting process. J Food Eng. , 49,141-151, 2001.
[29] KIYOSHI, H., SHOJI, T., TOSHIYUKI, A. Determination of Emulsion Stability by Spectral Absorption I: Relationship between Surfactant type, Concentration, and Stability index. J. Cosmetic and Toiletries., 93, 53-62, 1978.
[30] GÓMEZ, P., ARTÉS, F. Controlled atmospheres enhance postharvest green celery quality, Postharvest Biology and Technology., 34, 203-209, 2004.
[31] MARTÍNEZ-MONZÓ,J.,MARTÍNEZ-NAVARRETE,N., HIRALT, A., FITO, P. Mechanical and structural changes in apple (var. Granny Smith) due to vacuum impregnation with crioprotectants, J. Food Sci., 63, 499-503,1998.
[32] RIZZO, V., MURATORE, G. Effects of packaging on shelf life of fresh celery. J. of Food Engineering., 90, 124-128, 2009.
DESARROLLO DE APIO MINIMAMENTE PROCESADO FORTIFICADO CON VITAMINA E, UTILIZANDO LA INGENIERIA DE MATRICES
DEVELOPMENT OF MINIMALLY PROCESSED CELERY FORTIFIED WITH VITAMIN E, BY MATRIX ENGINEERING
YISELL JOHAN MARTELO CASTAÑO
Ingeniera Química,
Universidad Nacional de Colombia Sede Medellín, yjmartel@unal.edu.co
MISAEL CORTES RODRIGUEZ
Departamento de Ingeniería Agrícola y
Alimentos. Universidad Nacional de Colombia- Medellín, mcortesro@unal.edu.co
HÉCTOR SUAREZ MAHECHA
Departamento de Ingeniería Agrícola y
Alimentos. Universidad Nacional de Colombia- Medellín, hsuarezm@unal.edu.co
Recibido para revisar agosto 11 de 2009, aceptado diciembre 18 de 2009, versión final febrero 19 de 2010
RESUMEN: El objetivo de este trabajo fue desarrollar un producto mínimamente procesado fortificado con vitamina E, a partir de apio (Apium graveolens L.var.dulce), utilizando la ingeniería de matrices como metodología de obtención de alimentos funcionales. Trozos de apio impregnados al vacío con dl-a-tocoferol acetato emulsificado en una solución isotónica al vegetal de NaCl, 1,2%, fueron evaluados en función del tiempo de almacenamiento y el envasado (con y sin vacío), en términos de la cuantificación de sus propiedades fisicoquímicas, color, textura, estabilidad de la vitamina E y características sensoriales. Se formuló la emulsión con el objetivo de adicionar teóricamente un 73% del Valor Diario Recomendado (VDR) vitamina E/100 g de apio fresco y su cuantificación se realizó por HPLC. La respuesta a la impregnación en la matriz fue de 12,10±1,15%, lo cual permitió alcanzar un 112% VDR vitamina E/100g apio fresco, manteniéndose este contenido durante el almacenamiento de 9 días en ambos tipos de envasado. Los parámetros fisicoquímicos del producto fueron afectados por la IV, el tiempo y el envasado, manteniendo su coloración verdosa y presentando disminución en la firmeza. La ingeniería de matrices constituye una metodología efectiva para el desarrollo de apio mínimamente procesado adicionado con vitamina E.
PALABRAS CLAVE: Apio mínimamente procesado, ingeniería de matrices, impregnación al vacio, vitamina E.
ABSTRACT: The aim of this study was to develop a minimally processed product added with vitamin E, from celery (Apium graveolens L. var. sweet), using matrix engineering as methodology to obtain functional foods. Vacuum impregnated celery pieces with dl-a-tocopherol acetate emulsified in an isotonic solution to the vegetable of NaCl 1,2%, were evaluated in functions of storage time and packaging (with and without vacuum), in terms of the quantification of their physiochemical properties, color, texture, E vitamin stability and the sensorial characteristics. Emulsion was formulated with the objective to add theoretically 73% of Recommended Daily Value (RDA) vitamin E/100 g of fresh celery and it´s quantification was performed by HPLC. The response to the impregnation in the matrix was 12,10 ± 1,15%, which allowed achieving 112% RDA vitamin E/100g fresh celery, keeping this contents during storage for 9 days in both types of packaging. The physicochemical parameters of the product were affected by the IV, time and packaging, maintaining their green color and presenting decrease in hardness. Matrix engineering is an effective methodology for the development of minimally processed celery added with vitamin E.
KEY WORDS: Minimally processed celery, matrix engineering, vacuum impregnation, vitamin E.
1. INTRODUCCIÓN
Hoy en día, la gente reconoce en mayor medida, que llevar un estilo de vida sano, incluida la dieta, puede contribuir a reducir el riesgo de padecer enfermedades y dolencias, y a mantener el estado de salud y bienestar, por lo cual la tendencia a adquirir hábitos de consumo que mejoren la calidad de vida motiva a los productores e investigadores al desarrollo de alimentos que tienen efectos benéficos para la salud. En la actualidad, existen programas a nivel internacional como 5 al día, que promueven el consumo de frutas y hortalizas, por su importancia en la prevención de enfermedades, y existe un interés marcado en crear alianzas entre los gobiernos, empresas y el sector académico para trabajar investigaciones que permitan contribuir en la solución a la problemática nutricional y en el desarrollo de alimentos saludables diferenciados con características funcionales, dándole un mejor aprovechamiento de los recursos naturales de las regiones.
El mercado de los alimentos funcionales gana cada día más cobertura entre los consumidores, soportado con muchas investigaciones que se realizan en este campo las cuales enfatizan en la innovación, desarrollo y propiedades benéficas proporcionadas por el consumo de alimentos o ingredientes alimentarios que produzcan efectos beneficiosos sobre las funciones orgánicas, además de sus efectos nutricionales intrínsecos, apropiados para mejorar la salud y el bienestar y reducir el riesgo de enfermedades [1].
Entre algunos ejemplos de alimentos funcionales, destacan los alimentos que contienen o se le ha incorporado componentes con actividad fisiológica, como minerales, vitaminas, ácidos grasos, fibras, probióticos, prebióticos, entre otros. Ya existen una gran variedad de alimentos a disposición del consumidor, pero en estos momentos la prioridad es identificar qué alimentos funcionales pueden mejorar la salud y el bienestar y reducir el riesgo o retrasar la aparición de importantes enfermedades.
Hoy en día, es posible modificar la composición física y química de los alimentos mediante avances en la ingeniería, ciencia y tecnología de este campo, a través de la ingeniería de matrices [2], para desarrollar un mercado de nuevos productos funcionales con características de productos frescos: productos mínimamente procesados funcionales (PMPF). La ingeniería de matrices utiliza los conocimientos en composición de las matrices alimentarias, sus estructuras y sus propiedades micro estructurales para generar cambios favorables al aplicar la técnica de impregnación a vacío (IV), la cual extrae los gases o líquidos extracelulares de los alimentos y permite el ingreso de soluciones, dispersiones o emulsiones que contienen componentes fisiológicamente activos (CFA) deseados de incorporar en el alimento [2]. En ese sentido el desarrollo de PMPF a partir de estructuras vegetales utilizando CFA, como antioxidantes dietéticos tales como la vitamina E, representa una alternativa muy innovadora, ya que esta vitamina tiene excelentes propiedades como neutralizadora de radicales libres, protegiendo las células del organismo. Durante la última década, algunos investigadores han aplicado el proceso IV con diferentes objetivos: hongos fortificados con vitamina C, Ca, Se [3], mango fortificado con Ca [4], uchuva enriquecida con microorganismos probióticos [5], calabaza fortificada con hierro [6] y zanahoria cubierta con quitosan, metilcelulosa y acido oleico [7], siendo algunos de los estudios de reciente ejecución. Aplicaciones de fortificación con vitamina E en diferentes estructuras avalan la efectividad de ésta tecnología; manzana [8,9], y uchuva y fresa [10,11, 12,13].
La vitamina E es el antioxidante liposoluble más importante que suministra una red protectora contra el estrés oxidativo, junto con otros antioxidantes tales como la vitamina C [14,15]. Existen diferentes formas químicas con distintas actividades vitamínicas, tales como los tocoferoles y tocotrienoles, los cuales presentan variación en su biodisponivilidad así como también en propiedades antioxidantes intrínsecas [16].
El apio es una planta que se adapta fácilmente al procesamiento mínimo, siendo ampliamente estudiados los métodos para su conservación con este tipo de tratamiento [17, 18, 19, 20] y por lo tanto, hace parte de una serie de vegetales listos para consumir, disponibles en los supermercados, gracias a los avances tecnológicos en cuanto a técnicas de empaque que permiten mantenerlo con optima frescura y calidad durante su almacenamiento [17]. El apio, es un vegetal hipocalórico (20 kcal/100 gr) [21], cuya estructura porosa favorece la aplicación de la ingeniería de matrices y así la obtención de PMPF con CFA, no siendo antes sometido a estudio para conocer su viabilidad como estructura propicia para la aplicación de la IV.
El objetivo de este trabajo fue desarrollar un producto mínimamente procesado fortificado con vitamina E, a partir de apio (Apium graveolens L.var.dulce), utilizando la ingeniería de matrices como metodología de obtención de alimentos funcionales.
2. MATERIALES Y METODOS
2.1 Material vegetal
Se utilizaron apios (Apium graveolens L.var.dulce),
obtenidos de un mercado local de Medellín, con hojas crespas de coloración
verde brillante, libre de manchas amarillas o cafés, tallo de coloración
uniforme y de textura firme y compacta. Se utilizaron formas troceadas con una longitud
entre 3 y 4 cm,
espesor del tallo entre 1 y 1,5
cm y altura de 2 cm. Los pesos promedio para las muestras experimentales fueron de 3,5± 1,5 g.
2.2 Caracterización fisicoquímica y física
Se
determinó el contenido de humedad
(% p/p) a 105ºC hasta peso
constante [21]. El pH
se cuantificó usando un titulador automático por inmersión del electrodo en la
muestra (Hanna Istruments pH 211), previa
calibración con soluciones tampón de pH 2, 4, 7, y 10 a 25ºC. El contenido de sólidos solubles (ºBrix) por lectura refractométrica con un refractómetro Metler Toledo a 20ºC. La acidez
por titulación con NaOH 0,1N, utilizando fenolftaleina como indicador y se expresó
en g de ácido cítrico/100 g muestra. La densidad de las
disoluciones por el método del picnómetro [22]. La densidad aparente (rapm) por la relación de masa de
la muestra y volumen desplazado por la misma en una probeta.
El proceso de extracción de la vitamina E se realizó por el método descrito por Kmostak y Kurtz [23], adaptado por Cortés [9], utilizando hexano como disolvente de extracción. Al residuo seco de extracción con el dl-a-tocoferol acetato se le adicionó 1 mL de metanol y se inyectó 25 mL en el HPLC (Shimadzu Prominence 20A). Las condiciones del HPLC fueron las siguientes: columna Premier C18, Synergi 5mm, dimensiones 250 x 4,6mm ID., tamaño de partícula: 5 µm, fase móvil (Metanol/ Acetronitrilo: 75/25), velocidad de flujo: 1mL/min, método: Isocrático, temperatura columna: ( 45°C), detector: PDA (arreglo de fotodiodos, 285 nm). Se realizaron dos curvas de calibración diluidos en metanol, una con el estándar primario Supelco dl-a-tocopherol acetate (99,9% ±- 0,5%) de concentraciones 0,0098, 0,0196, 0,0489, 0,0978, 0,1956, 0,3912, 0,4890, 0,7824, 0,9780, 1,1736, 1,3692, 1,5648, 1,9560 y 4,890 mg/mL y otra con el estándar primario Supelco dl-a-tocopherol (rango: 0,0019 mg/mL - 0,9966 mg/mL).
El color se determinó utilizando un espectro colorímetro X-RITE, modelo SP64, iluminante D65 y observador de 10° como referencia y a partir de los espectros de reflexión se obtuvieron las coordenadas de color del CIE L*a*b* y las coordenadas tono o matiz (hab*= tan-1(b*/a*) y croma o saturación (Cab*= (a2+b2)1/2.
La textura se determinó a partir de ensayos mecánicos de punción, utilizando un analizador de textura (TA.XT2, Stable Micro Systems, Surrey, UK) y el software textura expert exceed, versión 2.64. Se utilizó una sonda metálica de 5 mm de diámetro, a una velocidad de penetración de 2 mm/s hasta una distancia de 5 mm para determinar la fuerza máxima de deformación (Fmax) en el lado interno del peciolo del apio.
2.3 Metodología de impregnación al vacío
Los experimentos de IV
fueron llevados a cabo en un equipo diseñado en la Universidad Nacional de
Colombia, Sede Medellín, el cual consiste en una cámara de acero inoxidable que
tiene en su interior un sistema electromecánico para desplazar la muestra
dentro y fuera del recipiente que contiene el líquido de impregnación y un
sistema de vibración para eliminar el líquido adherido en la superficie de las
muestras. El sistema cuenta con una bomba de vacío Dosivac DVR 140 y un
vacuómetro (0-760 mm Hg). La condición local de experimentación
presentó una presión barométrica aproximada de 640 mm Hg. El proceso IV consistió en sumergir las
muestras en el líquido de impregnación, colocadas previamente en una malla de
acero inoxidable, y someterlas a un vacío de 150 mm Hg durante 5 minutos, posteriormente se
restableció la presión atmosférica y se mantuvieron las muestras sumergidas por
otros 5 minutos. Durante el proceso IV se determinó la evolución de los pesos y
volúmenes de las muestras y del líquido de impregnación, expresándose la respuesta
IV en términos de la fracción y deformación volumétrica en la etapa de vacío (X1:
m3 de solución impregnada/m3 de muestra inicial y g1:
m3 de deformación en la muestra /m3 de muestra inicial) y
se cuantificaron al final del proceso (X y g), además de la porosidad
eficaz (Ee: m3 de gas/m3 de muestra). La metodología y el
cálculo de los parámetros IV ha sido descrita según modelos matemáticos por algunos autores [24].
El líquido de impregnación fue una emulsión isotónica (EI), con fase acuosa al vegetal (solución de NaCl al 1,2% p/p); se utilizó una mezcla de surfactantes, Span 60 (BHL=4,7) y Tween 80 (BHL= 15) (0,0294 y 0,0306 % p/p respectivamente, los cuales se fijaron con referencia a un estudio de caracterización de la concentración micelar crítica de estos, desarrollada en trabajos preliminares de emulsiones de fortificación con vitamina E [9]. El cálculo de la composición de la vitamina E (dl-a tocoferol acetato, 96,7% pureza) y el ácido ascórbico en la EI, se realizó mediante el balance de materia en el sistema de impregnación descritos en la ecuaciones 1 y 2 [9], lo que implicó realizar pruebas preliminares de IV con la solución isotónica de NaCl 1,2% (SI) para conocer un valor preliminar de X.
(1)
(2)
Donde,
y
son las fracción másicas del CFA en apio fresco
e impregnado respectivamente, rapm es
la densidad aparente del apio fresco (g/ cm3); rSI la densidad de la SI;
la fracción másica del CFA en la
EI. El criterio de fortificación de la vitamina E,
se fijó en un 73% del Valor Diario de Referencia (VDR) ( 0,022 g dl-a-tocoferol acetato en 100 g apio), según el decreto 288 de 2008 del Ministerio de Protección Social de
Colombia [25] y el ácido ascórbico, se fijó
en 60 mg en 100
g de apio.
La EI se preparó en un recipiente de vidrio con camisa de enfriamiento, acoplado a un homogenizador IN-LINE (IKA-Werke, Staufen, Germany) y operado a 10.000 rpm, durante 10 minutos. La estabilidad de la EI se determinó a partir del índice de estabilidad (R) (relacionado con el tamaño de partícula), utilizando el método de absorción espectral a los tiempos de 24, 48 y 72 horas, por lecturas de absorbancia a 800 y 400 nm (R = A800 /A400) [26], medidas en un espectrofotómetro ThermoSpectronic Genesys 20.
2.4 Almacenamiento
Las muestras de apio
troceado impregnado fueron envasados con y sin vacío (CV y SV,
respectivamente), en bolsas plásticas multicapa de poliamida-polietileno marca ALICO S.A., con barrera al vapor de
agua (<15 g/m2/24hr/atm,
T=38 ºC), O2 (60 cc/m2/24hr/atm, 23 ºC), N2 y CO2 y mantenidas a temperatura
de refrigeración de 4°C. El tiempo de estudio se fijó en 9 días, de acuerdo
a ensayos preliminares con apio fresco que permitiera niveles de desarrollo de
hongos y levaduras aceptables y características de producto no fermentado. Los parámetros fisicoquímicos se realizaron en
63 muestras para cada tiempo de control (0 y 9 días). El color y la textura se
valoraron a tiempos de 0, 3, 6, y 9 días, llevándose a cabo los muestreos
para cada condición de almacenamiento en 7 ramales de apios, escogiendo de cada
ramal 3 peciolos y de cada peciolo se cortaron trozos del vegetal en 3 posiciones: posición 1: zona lado cercano a las hojas,
posición 2: zona media, posición 3: la zona
cercana al cuello de la raíz, resultando
en un total de 63 lecturas para cada condición de almacenamiento. La
cuantificación de la vitamina E se realizó por
triplicado para cada condición de almacenamiento, en estado fresco y en los tiempos
de 0 y 9 días.
2.5 Análisis
microestructural
Se utilizó la técnica de observación por microscopía electrónica de barrido (SEM), con
un equipo marca JEOL JSM 5950 LV,
25 Pa de vacío y 15 kv de corriente eléctrica, para verificar la
presencia de la vitamina E y así determinar el tamaño promedio de las gotas en
los espacios intercelulares del tejido del apio IV. Las muestras fueron
liofilizadas inicialmente y recubiertas con una fina capa de oro para su
observación. Para la determinacion del valor de tamaño promedio de las gotas
oleosas, fueron analizadas 3 imágenes de trozos de apio IV.
2.6 Evaluación
sensorial
La valoración sensorial fue realizada por triplicado
con un panel entrenado de 10 jueces de la
Fundación INTAL,
Medellín, mediante pruebas escalares [27], con el objetivo de
cuantificar las diferencias sensoriales introducidas en los productos recién
impregnados (IV-0)
e impregnados a un tiempo de almacenamiento de 9 días con vacío (IV-9CV) y sin
vacío (IV-9SV), con respecto a
una muestra de referencia fresca (FRES). Se calificó en una escala numérica
bipolar de 9 bloques con calificación 1, 2, 3, 4 (> intensidad del atributo)
y -1, -2, -3, -4 (< intensidad del atributo) respectivamente. Los atributos
seleccionados para cada una de las muestras fueron color, sabor salado, sabor
acido, sabor amargo, sensación grasa, dureza, jugosidad y aceptación global,
posicionándose la muestra de referencia en el bloque central.
2.7 Análisis
estadístico
Se utilizó un diseño
multifactorial completamente aleatorizado con factores de efectos fijos: tratamiento
(Fresco e IV), tiempo de almacenamiento (0 y 9) y tipo de empaque (CV y SV). Los
resultados fueron evaluados a partir de ANOVAS utilizando el método LSD
(Mínimas Diferencias Significativas) como método de comparaciones múltiples,
con un nivel de confianza del 95% (a=0,05). El análisis de varianza fue
realizado con el paquete estadístico STATGRAPHICS PLUS versión 5.1.
3. RESULTADOS Y DISCUSION
3.1 Impregnación al vacío
La tabla 1 presenta los valores medios y sus desviaciones estándar (DE) de rapm, rNaCl, 1.2%,
y
,
requeridos para la determinación de la composición de vitamina E y el ácido
ascórbico en la EI (
y
).
Se observa que las composiciones de los componentes en la EI son muy bajas, lo cual indica
que el valor agregado que se busca en el producto no encarecería en forma
elevada su costo de producción, desde el punto de vista de materias primas a
utilizar en el proceso.
Tabla 1. Parámetros fisicoquímicos y
de IV para la determinación de la formulación EI
Table
1. Physicochemical and IV parameters to determination of the EI formulation

La tabla 2 presenta los valores promedio y las desviaciones estándar de los parámetros de impregnación X, X1, g, g1 y Ee en muestras impregnadas con la SI y la EI.
Tabla 2. Valores medios con intervalos LSD (95%) de los
parámetros: X, X1, g, g1 y Ee, en función del tratamiento de
impregnación con solución SI y emulsión isotónica EI
Table 2. Means Values with LSD (95%) intervals of the
parameters: X, X1, g, g1 and Ee in function
of the impregnation treatment with isotonic solution and emulsion

El ANOVA no presentó diferencias estadísticas significativas (p>0,05) en X1, g1, X y g por efecto del factor líquido de impregnación, siendo atribuible a que la base de la EI es la misma SI y los bajos contenidos del resto de componentes no ejerce una influencia en el proceso de transferencia de masa durante la IV. El valor promedio de X fue del orden del 13%, lo cual identifica al apio como una matriz muy favorable al proceso IV y esto es correspondiente con los valores alcanzados de la Ee (≈15%), los cuales son superiores a la porosidad real del apio (6,7 ± 3,9%). Los valores de los parámetros X1, g1 y g fueron negativos, lo que indica que la matriz durante la etapa de vacío presenta salida de líquido nativo (agua más solutos) desde el interior, fenómeno que contribuye al colapso estructural produciendo una ligera contracción volumétrica (0,6%).
Por otro lado, el restablecimiento de la presión atmosférica, produce una nueva compresión en la estructura durante el ingreso de la EI, que genera un efecto global de deformación volumétrica entre un 1,5 y 2,0% (estructura con características viscoelásticas), que a las condiciones sometidas durante el proceso IV, no restablece a su condición micro estructural inicial, lo cual es el resultado del acoplamiento del mecanismo hidrodinámico (MHD) y el fenómeno de formación-relajación (FDR) [28].
La tabla 3 presenta el índice R, en función del tiempo, para diferentes % totales de tensoacticos con un Balance Hidrófilo Lipófilo (BHL) (escala de medidas de la fuerza relativa de la parte hidrófila y lipófila del tensoactivo) de 8 (0,051% de Tween 80 y 0,049% de Span 60).
Tabla 3. Resultados de la optimización de la emulsión isotónica
EI a 72 horas de estabilidad
Table
3. Results
of the EI optimization at 72 hours of stability

En todos los tiempos de control, la composición total de surfactantes de 0,06% p/p, fue la que presentó el menor índice R. Esta situación es favorable para la estabilidad de la EI y está relacionada con el menor tamaño de gotas de vitamina E en el sistema coloidal [26, 29]. Por otro lado, desde el punto de vista práctico de la estabilidad de la EI, la presencia de pequeñas cantidades de electrolitos monovalentes como el NaCl, están contribuyendo su estabilización por fuerzas electrostáticas del sistema coloidal, por la formación de anchas dobles capas eléctricas, constituida por una capa sencilla de contraiones de signo opuesto al de los grupos ionizantes superficiales, fuertemente adsorbida y una capa difusa de coiones repartida en la disolución próxima a la interface [9].
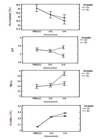
La Figura 1 presenta los valores medios con intervalos LSD (95%) para los parámetros fisicoquímicos humedad, pH, ºBrix, acidez en muestras de apio fresco, IV-0 e IV-9 (SV y CV).

Figura 1. Valores medios con
intervalos LSD (95%) de los parámetros fisicoquímicos de muestras de apio
fresco, IV-0 e IV-9 (SV y CV).
Figure 1. Means values with
LSD (95%) intervals of physicochemical parameters of fresh samples celery, IV-0 and IV-9 (SV and CV).
El ANOVA presentó diferencias estadísticas significativas (p<0,05) en la humedad y la acidez, por efecto del factor tratamiento, mientras que no hubo diferencias (p>0,05) en los ºBrix y el pH. Esta variabilidad en la respuesta de los parámetros fisicoquímicos podría ser atribuible a los mismos fenómenos de salida e ingreso de fluidos comentada anteriormente, que está muy relacionada con la heterogeneidad microestructural de la matriz.
Durante el almacenamiento del apio impregnado, el ANOVA no presentó diferencias estadísticas significativas (p<0,05) en la humedad por efecto de los factores tiempo y tipo de envasado, sin embargo en las muestras SV existe una ligera tendencia a la deshidratación, por la diferencia de potencial químico del agua entre el apio impregnado y la atmósfera de envasado. Para el resto de parámetros, se presentan diferencias estadísticas significativas (P<0,05) con respecto a los factores tiempo y envasado, sin embargo los cambios a pesar de ser algunos estadísticamente significativos (p<0,05), por los bajos coeficientes de variabilidad, no son considerables para la estandarización de los parámetros de calidad del producto final (acidez: 0,24-0,28%, ºBrix: 3,9-3,5, pH: 5,4-4,9, para las condiciones de SV y CV, respectivamente.
Durante el almacenamiento, además de la deshidratación observada, pueden estar ocurriendo algunos fenómenos sin llegar a ser intensos, como la movilización de reservas orgánicas para obtener la energía necesaria y de esta forma mantener la actividad metabólica, igualmente asociado con la senescencia del producto y degradaciones de los carbohidratos. Apreciaciones similares han sido observadas, por algunos autores [20,30].
La Figura 2 presenta valores medios con intervalos LSD (95%) para los parámetros de color L*, a*, b*, Cab* en muestras de apio fresco (FRES), recién impregnadas (IV-0) e impregnadas y almacenadas durante los tiempos de control (IV-3, IV-6 e IV-9), en condiciones CV y SV. El ANOVA presentó diferencias significativas (p<0,05) en L*, a*, b* y Cab* por efecto del factor tratamiento, lo cual se explica por la presencia de la EI incorporado en los espacios intercelulares durante la IV, incrementando la homogeneidad del índice de refracción cerca a la superficie, absorbiendo más luz y presentándose más oscura (<L*), translucida y acentuándose la presencia de la clorofila contenida en la estructura del peciolo del apio [31].

Figura 2. Variación de las coordenadas de
color CIE-L*a*b* y la saturación (cab*) en apio frescos e IV durante
el almacenamiento
Figure 2. Variation of the
CIE-L*a*b * coordinates color and the saturation (cab *) in frech and IV celery during the storage
Durante el almacenamiento de las muestras impregnadas, el ANOVA presentó diferencias significativas (p<0,05) en L*, a*, b* con respecto a los factores tiempo y tipo de envasado. Se observó una ligera tendencia al incremento de la cromaticidad a* (verde (-), rojo (+)), posiblemente debido a la degradación de clorofila presente [31], la cual se potencia por el efecto de dilución que hace la EI en los espacios intercelulares. Lo anterior se refleja en los resultados de Cab*, que presentaron una significante disminución de la saturación de color verde (<C*) del producto CV; sin embargo para el día 6, las muestras SV presenta una disminución ((> cromaticidad verde), atribuible a un mayor contenido de clorofila en el lote experimental y a una mayor deshidratación del producto que potencia la intensidad del color verde (> Cab*). La cromaticidad b* (amarillo (+), azul (-)) presenta una ligera disminución en los tonos amarillosos, más acentuada igualmente en las muestras CV.
En general, el apio se ubica en el en el II cuadrante del plano cromático a*b*, manteniendo durante el almacenamiento las tonalidades verdosas, muy características del vegetal, con una pérdida de traslucidez, por la disminución de humedad a causa de la deshidratación que ocurre bajo refrigeración, situación comentada anteriormente.
La Figura 3 presenta valores medios con intervalos LSD (95%) de la fuerza máxima de deformación (Fmax) de los trozos de apio fresco (FRESC), recién impregnados (IV-0) e impregnados y almacenados durante los tiempos de control (IV-3, IV-6 e IV-9), en condiciones CV y SV.

Figura 3. Parámetros de
textura para
muestras de apio en estado fresco (FRES), recién impregnadas (IV-0) e
impregnadas IV-9 (CV y SV)
Figure 3.Texture parameters
for celery samples in fresh state (FRES) recently impregnated (IV-0) and
impregnated IV-9 (CV and SV)
El ANOVA no presentó diferencias estadísticas significativas (p>0,05) en Fmax con respecto al factor tratamiento y si hubo diferencias (p<0,05) con respecto a los factores tiempo y tipo de envasado. Se observó una significativa disminución en Fmax en el día 6, caracterizada por la pérdida de turgencia de la estructura al presentarse el rompimiento de la membrana celular en el tejido del parénquima en condiciones de refrigeración. Este efecto es conocido como "Pithiness", y se presenta comúnmente para este vegetal bajo condiciones de procesamiento mínimo [20, 30, 32]. Para el resto del almacenamiento, las muestras SV se mantuvieron constantes, mientras que las CV presentaron fluctuaciones en un rango bajo (28 - 33 gf).
3.2 Estabilidad de vitamina E
La tabla 4 presenta los valores medios más sus desviaciones estándar de la concentración de
vitamina E (CVit.E,)
en el apio impregnado y el %VDR por cada 100g apio fresco (FRESC), durante el
almacenamiento a 4°C en los dos
tipos de envasado. Los resultados
de la cuantificación de vitamina E en el apio fresco, registraron trazas de
vitamina E natural, las cuales no se consideraron dentro del balance de materia
para la cuantificación de este
componente en la EI.
Tabla 4. Valores medios con intervalos LSD (95%) de la CVit.E, (mg dl-a-tocoferol
acetato /100 g apio fresco) durante el almacenamiento a 4°C
Table 4. Value means with LSD (95%) intervals of the
CVit. E, (mg dl-a- tocopherol acetate /100 g fresh celery) during the
storage at 4°C

Los resultados obtenidos, muestran la efectividad del proceso para la incorporación de la vitamina E en el interior de la estructura, alcanzando valores superiores en el VDR/100g con respecto a los teóricamente fijados (73%), lo cual corresponde aproximadamente a un 53% de mayor impregnación, es decir; es posible que las muestras experimentales para estos ensayos hayan presentado niveles de X superiores al promedio (6,05%), lo cual significaría que los niveles de impregnación de este lote estaría del orden de X ≈ 9,0%.
La estabilidad de la vitamina E en las muestras impregnadas durante los 9 días de almacenamiento, no presentó diferencias estadísticas significativas (p<0,05) con respecto a los factores tiempo y tipo de envasado. Se puede observar que los coeficientes de variabilidad son significativamente altos, debido a la complejidad de su microestructura, ya que en cada ramal se encuentran peciolos de diferentes dimensiones, con una distribucion y tamaño de poros diferentes.
De acuerdo a los resultados obtenidos en cuanto a los contenidos de vitamina E, no se considera el tipo de envasado crítico para el proceso, , por lo que es recomendable su envasado a condiciones atmosféricas por efectos de costo de producción.
3.3 Microestructura
del apio impregnado
La figura 4 presenta una micrografía a 5000 aumentos, en la zona
interna del trozo de apio impregnado con la EI.

Figura 4. Imágen del microscopio electrónico de barrido, para tejido
de apio IV con EI conteniendo vitamina E
Figure 4. Image of the swept electronic microscope for
celery IV with EI containing vitamin E
Se observan las partículas esféricas vitamina E, con un diámetro de gota aproximado entre 1,6 y 2,06 mm, lo cual es un tamaño adecuado que permite confirmar la estabilidad de la EI, anteriormente comentada. Algunos autores han reportado tamaños del orden del 1 y 1,5 mm en manzana fortificada con vitamina E [9], tamaños de 2 y 3 mm en uchuva fortificada con vitamina E [5,10].
3.4 Evaluación
sensorial
La figura 5 presenta las
intensidades de los descriptores sensoriales para los atributos de color, sabor
salado, sabor acido, sabor amargo, sensación grasa, dureza y jugosidad, para
muestras de pepino impregnadas con respecto a la referencia.

Figura 5. Perfil sensorial de apio IV con
vitamina E
Figure
5. Sensorial Profile of IV celery with vitamin E
Las muestras recién impregnadas (IV-0) frente a la referencia, fueron de un color ligeramente más intenso y traslucido debido a la absorción de luz en la superficie por la presencia de la EI en los espacios intercelulares, lo que igualmente las hizo ligeramente más ácidas y saladas, y acentúa aún más el amargor, característica que es propia del vegetal fresco. La textura se percibió menos dura que la referencia, lo cual no coincidió con los resultados instrumentales, que las mostró estadísticamente similares. No se percibieron cambios en cuanto a la apreciación de la jugosidad. En general el apio IV-0 tuvo una aceptación en la escala alta, media y baja del 40, 30 y 30% respectivamente.
Las muestras impregnadas almacenadas bajo condiciones SV y CV al día 9, presentaron una disminución en su intensidad de color debido principalmente a la degradación de la clorofila, observada instrumentalmente en el incremento de la cromaticidad a*, de igual forma en la dureza y el sabor salado. En las muestras SV no se apreció cambios significantes en los sabores ácido y amargo, en la jugosidad y sensación grasa. La aceptación global del apio fortificado almacenado en condiciones CV tuvo un 10, 50 y 40% en los niveles alto, medio y bajo, respectivamente; mientras que las muestras SV no tuvieron aceptación alta, siendo entre el 60 y 40% para aceptación media y baja. En general, en las muestras CV, los cambios fueron menos significativos que las SV y mejor aceptadas.
4. CONCLUSIONES
El proceso IV es una técnica efectiva para la incorporación de vitamina E emulsionada en el interior de la estructura porosa del apio, permitiendo alcanzar niveles de fortificación del 112% VDR en 100 g de apio fresco. El tiempo de almacenamiento no afecto la estabilidad de la vitamina E
En general los parámetros fisicoquímicos, se afectaron por el proceso IV, el tiempo de almacenamiento y el tipo de envasado. El color del producto de apio desarrollado, mantuvo en general sus tonalidades verdosas, con una perdida de la translucidez de este. La textura presentó una disminución en su resistencia mecánica, por el efecto de la degradación de las membranas celulares del tejido parenquimático.
La caracterización microestructural evidenció la presencia de gotas de vitamina E con diámetro aproximado entre 1,6 y 2,06 mm.
La evaluación sensorial del apio fortificado con vitamina E durante el tiempo de estudio presentó mejor aceptación en las muestras almacenadas en condiciones CV, siendo un 10, 50 y 40% en los niveles alto, medio y bajo, respectivamente.
El apio constituye una estructura vegetal propicia para el desarrollo de productos mínimamente procesados con características funcionales, se recomienda continuar investigaciones que incorporen componentes con actividad fisiológica con la vitamina E.
REFERENCIAS
[1] ASHWELL, M. Concepts of functional foods, ILSI Europe Consice Seri s. 38, 2002.
[2] FITO, P., CHIRALT, A., BETORET, N., GRAS, M., CHAFER, M., MARTINEZ- MONZO, J., ANDRES, A & VIDAL, D. Vacuum impregnation, and osmotic dehydration in matrix engineering: application in functional fresh food development, J. Food Engineering., 49,175-183, 2001.
[3] GARCIA, A & CORTES, M. Desarrollo de hongos comestibles Pleurotos ostreatus minimamente procesados fortificados con calcio, selenio y vitamina C, por aplicacion de la tecnica de impregnacion al vacio. [Tesis de Ingenieria de Alimentos]. Bogota: Universidad Jorge Tadeo Lozano, 2007.
[4] CORTÉS, M., GUARDIOLA, L., PACHECO, R. Aplicación de la ingeniería de matrices en la fortificación de mango (Var. Tommy Atkins) con calcio. DYNA., 74, número 153-1, 19-26, 2007.
[5] MARÍN Z. Viabilidad de desarrollo de productos de uchuva (physalis peruviana l) mínimamente procesados enriquecida con microorganismos probióticos a partir de la ingeniería de matrices. [Tesis de Maestría en Ciencia y Tecnología de Alimentos]. Medellin: Universidad Nacional de Colombia, 2009.
[6] DE ESCALADA, M., CAMPOS, C., HERSCHENSOHN, L. Pumpkin (Cucurbita moschata Duchesne ex Poiret) mesocarp tissue as a food matrix for supplying iron in a food product, J. Food Engineering., 92. 361-369, 2009.
[7] VARGAS, M., CHIRALT, A., ALBORDS, C., GONZALEZ-MARTINEZ, C. Effect of chitosan-based edible coatings applied by vacuum impregnation on quality preservation of fresh-cut carrot. Postharvest Biology and Technology., 51, 263-271, 2009.
[8] CORTES, M., CHIRALT, A., SUAREZ, H. Influence of storage conditions on freeze-dried apple fortified with vitamin E, VITAE., 16 número 1, 31-41, 2009.
[9] CORTÉS, M. Desarrollo de productos de manzana deshidratados enriquecidos con vitamina E". Valencia, [Tesis de Doctorado en Ingenieria de Alimento]. Valencia: Universidad Politécnica, 2004.
[10] RESTREPO, A., CORTÉS, M., MARQUES, C. Uchuvas (Physalis peruviana L.) mínimamente procesadas fortificadas con vitamina E, VITAE., 16, 19-30, 2009.
[11] BOTERO, A. Aplicación de la ingeniería de matrices en el desarrollo de uchuva (physalis peruviana l.) minimamente procesada fortificada con calcio y vitaminas c y e. [Tesis de Maestria en ciencias farmaceuticas- enfasis en alimentos]. Medellin: Universidad de Antioquia, 2008.
[12] RESTREPO, A., CORTÉS, M., ROJANO, B. Determinación de la vida útil de fresa (Fragaria vesca L.) fortificada con vitamina E, DYNA, 159,163-175,2009.
[13] RESTREPO., A. Aplicación de la ingenieria de matrices en el desarrollo de frutas (fresa y uchuva) minimamente procesadas fortificadas con vitamina E mediante la técnica de impregnacion al vacio. [Tesis (Maestria en Ciencia y Tecnologia de Alimentos]. Medellin: Universidad, 2008.
[14] HORWITT, M. Data Supporting Supplementation of Humans with Vitamin E, J. Nutr, 121, 424-429, 1991.
[15] STRAIN, J., MULHOLLAND, C. Vitamin C and vitamin E-synergistic interactions in vivo, J. EXS, 62, 419-422,1992.
[16] JIANG, Q., CHRISTEN, S., SHIGENAGA, M., AMES, B. ?-Tocopherol, the major form of vitamin E in the US diet, deserves more attention, American Journal of Clinical Nutrition ,74, 714-722,2001.
[17] ROBBS, P., BARTZ, J., MCFIE, G., HODGE, N. Causes of decay of fresh-cut celery, J. Food Science., 61, 444-447, 1996.
[18] LOAIZA-VELARDE,J., MANGRICH, M., CAMPOS-VARGAS, R., SALTVEI, M. Heat shock reduces browning of fresh-cut celery petioles, J. Postharvest and Technology., 27. 305-311, 2003.
[19] VIÑA, S., CHAVES,A. Texture changes in fresh cut celery during refrigerated storage. J. of the Science of Food and Agriculture., 83, 1308-1314, 2003.
[20] GOMEZ, P.A., ARTES, F., Improved keeping quality of minimally fresh processed celery sticks by modified atmosphere packaging. Lebensmittel - Wissenschaft and Technologies., 38, 323-329, 2005.
[21] A.O.A.C. International Official Methods of Analysis. International, 17th edition, Maryland, USA , 2003.
[22] A.O.A.C. International Official Methods of analysis of AOAC. Edited by Kenneth Helrich.Volume I and II. Arlington, Virginia. USA , 1990.
[23] KMOSTAK, S., KURTZ, D. Rapid Determination of Supplemental Vitamin E acetate in Feed Premixes by Capillary Gas Chromatography, J. AOAC International, 76 (4), 735-741,1993.
[24] SALVATORI, D., ANDRÉS, A., CHIRALT, A., FITO, P. The response of some properties of fruits to vacuum impregnation. J. of Food Engineering., 21, 59-73.1998.
[25] Ministerio de Protección Social. Colombia Resolucion 0288 de 2008
[26] KAUFMAN V., GARTI, N. Spectral Absorption for Determination of ease of Formation and Stability of oil in water emulsions. J. Dispersion Science and Technology., 2(4), 475-490,1981.
[27] MEILGAAR, M., CIVILLE, G., CARR, B. Sensory Evaluation techniques. 3 editions. Boca Raton, Londres, New York, Washington D.C.: CRS PRESS LLC, 1999.
[28] CHIRALT, A., FITO, P., BARAT, J., ANDRES, A,. GONZALEZ-MARTINEZ, C., ESCRICHE, I. Use of vacuum impregnation in food salting process. J Food Eng. , 49,141-151, 2001.
[29] KIYOSHI, H., SHOJI, T., TOSHIYUKI, A. Determination of Emulsion Stability by Spectral Absorption I: Relationship between Surfactant type, Concentration, and Stability index. J. Cosmetic and Toiletries., 93, 53-62, 1978.
[30] GÓMEZ, P., ARTÉS, F. Controlled atmospheres enhance postharvest green celery quality, Postharvest Biology and Technology., 34, 203-209, 2004.
[31] MARTÍNEZ-MONZÓ,J.,MARTÍNEZ-NAVARRETE,N., HIRALT, A., FITO, P. Mechanical and structural changes in apple (var. Granny Smith) due to vacuum impregnation with crioprotectants, J. Food Sci., 63, 499-503,1998.
[32] RIZZO, V., MURATORE, G. Effects of packaging on shelf life of fresh celery. J. of Food Engineering., 90, 124-128, 2009.
Cómo citar
IEEE
ACM
ACS
APA
ABNT
Chicago
Harvard
MLA
Turabian
Vancouver
Descargar cita
Visitas a la página del resumen del artículo
Descargas
Licencia
Derechos de autor 2011 DYNA

Esta obra está bajo una licencia internacional Creative Commons Atribución-NoComercial-SinDerivadas 4.0.
El autor o autores de un artículo aceptado para publicación en cualquiera de las revistas editadas por la facultad de Minas cederán la totalidad de los derechos patrimoniales a la Universidad Nacional de Colombia de manera gratuita, dentro de los cuáles se incluyen: el derecho a editar, publicar, reproducir y distribuir tanto en medios impresos como digitales, además de incluir en artículo en índices internacionales y/o bases de datos, de igual manera, se faculta a la editorial para utilizar las imágenes, tablas y/o cualquier material gráfico presentado en el artículo para el diseño de carátulas o posters de la misma revista.




