CARACTERIZACION DE UN MINERAL DE COBRE EN ARGENTINA PARA LA PRODUCCION DE MATTE.
CARACTERIZACION DE UN MINERAL DE COBRE EN ARGENTINA PARA LA PRODUCCION DE MATTE.
CHARACTERIZATION OF A COPPER ORE FROM ARGENTINA FOR MATTE's PRODUCTION
VANESA BAZÁN
CONICET-Instituto de Investigaciones Mineras, Facultad de Ingeniería. Universidad Nacional de San Juan. bazan@unsj.edu.ar
PEDRO SARQUIS
Instituto de Investigaciones Mineras, Facultad de Ingeniería. Universidad Nacional de San Juan. psarquis@unsj.edu.ar
ELENA BRANDALEZE
Universidad Tecnológica Nacional- Facultad Regional de San Nicolás- Departamento de Ingeniería Metalúrgica. ebrandaleze@frsn.utn.edu.ar
Recibido para revisar septiembre 7 de 2010, aceptado noviembre 26 de 2010, versión final mayo 4 de 2011
RESUMEN: Argentina, posee minerales cuyas reservas la potencian para constituirse en un fuerte abastecedor regional. Actualmente, se han realizado proyectos de exploraciones y explotación de minerales de cobre que poseen una ley entre 0,5% y 0,8% generalmente libre de impurezas como Sb, As, Pb, Bi y Hg. [1, 2, 3, 4]
Este hecho indicaría que puede existir un gran potencial para el desarrollo de la pirometalurgia del cobre, dado que hasta el momento no existen avances en este sentido.
En este trabajo se presentan resultados de un estudio realizado sobre un mineral de baja ley de Cu, en el cual se identifican sus fases mediante microscopía óptica, ensayos de flotación contemplando diferentes condiciones, con el objetivo de obtener concentrados de distintas calidades. Finalmente, para comprender aspectos del proceso de obtención del cobre se realiza una simulación del proceso de fusión en el horno flash basado en balances de masa y energía.
PALABRAS CLAVES: cobre, flotación, fusión.
ABSTRACT: Argentina, owns copper minerals reservations, and in the future could be considered as strong supplier of the region.Actually, some projects of explorations on copper minerals with law between 0.5% and 0.8% generally frees of the impurities as Sb, As, Pb, Bi and Hg. [1, 2, 3, 4]
This fact would indicate that the copper pyrometallurgy development could represent a great potential in this country. Up to the moment, industrial plants do not exist for the copper obtaining.
In this paper, results of a low law copper ore study are presented. A structural study by light microscopy permits to identify the present phases. Flotation rougher tests at different conditions are carried out in order to complete the information of the concentrates samples with different qualities.
Finally, to understand aspects of the process of obtaining of copper a simulation of the fusion process is realised in the furnace flash based on mass and energy balance.
KEY WORDS: copper, flotation, melting
1. INTRODUCCIÓN
En la República Argentina existe un gran potencial minero, una de las áreas de mayor explotación y exploración es la de minerales sulfurados de cobre [1, 2, 3, 4]. Sin embargo, hasta el momento sólo se ha producido concentrados de cobre que luego son exportados. Los productos industrializados de este metal, se importan luego de otros países y este hecho representa un costo relevante que podría ser evitado si se realizarán en Argentina avances sobre el procesamiento de dichos concentrados con miras a la realizar operaciones de fusión y afino del cobre para la obtención de productos finales.
El objeto de este estudio es determinar las características de los minerales de Argentina, con vistas a promover en el futuro el consumo interno de cobre refinado, instalando una planta pirometalúrgica.
Por tal motivo se inicia el estudio contemplando el posible aprovechamiento de reservas de minerales de sulfuro de cobre con una ley relativamente baja, del orden de 0,36% de Cu
A pesar de las intensas investigaciones que se hacen sobre la hidrometalurgia del cobre, el 90% de este metal se obtiene mediante procesos pirometalúrgicos [5, 6, 7].
La materia prima de los procesos pirometalúrgicos son los concentrados de cobre provenientes de flotación, los cuales contienen entre el 20 y 30% de cobre [6, 8]. Se realizan constantes innovaciones en este proceso para mejorar su eficiencia. La clave es el desarrollo de nuevos reactivos y de equipos de flotación con mas eficiencia y menor costo operativo [9, 10].
Una vez obtenidos los concentrados se ingresa a la etapa de fusión la cual cuenta con diversos tipos de hornos, el más ampliamente usado en la industria del cobre es el Flash Outokumpu por sus reacciones exotérmicas. [8, 11, 12,13].
En este trabajo, se realizó una caracterización de mineral de baja ley. En primer lugar, se evaluó la distribución granulométrica mediante tamices de acuerdo a la norma ASTM. Posteriormente, se determina el cobre total y soluble en ácido H2SO4 al 95 %, mediante espectrofotometría de absorción atómica sobre las distintas fracciones. Finalmente, se realizó una caracterización mineralógica mediante técnicas de microscopía óptica y electrónica de barrido.
El mineral molido se caracterizó por presentar un alto grado de liberación de las especies útiles, tales como los sulfuros de cobre y el oro metálico. La presencia mayoritaria de minerales de ganga, hace imposible la fusión directa por el elevado consumo de reactivos y de energía. Se torna necesario realizar una etapa de concentración, por lo que se somete a ensayos "rougher" de flotación aplicando diferentes condiciones operativas de trabajo [14].La flotación de los sulfuros, así como la de otros minerales, depende fuertemente del pH. [15, 16, 17, 18].
Para que los concentrados de Cu sean aptos para la fusión, deben tener un contenido mínimo de cobre, superior en general al 25% y con limitaciones en los valores de Zn, S, As, etc. Para alcanzar este grado de pureza, el concentrado "rougher" debe tener una remolienda que aumente la liberación y operaciones de limpieza.
El concentrado obtenido por flotación se ingresó al proceso de fusión en donde se realizó un balance de masa y energía teniendo en cuenta las características de operación. En el proceso de fusión flash se combina aire, oxígeno, concentrado y fundente secos los cuales se inyectan a través de un quemador en la forma de una mezcla dispersa, en una cámara de reacción a alta temperatura. Durante este proceso, las partículas se funden convirtiéndose en pequeñas gotas. Los productos que se obtienen son: eje fundido (58 a 65% Cu), escoria fundida (1 a 2% Cu) y gases (10 a 40% v/v de SO2) [6].
2. DESARROLLO EXPERIMENTAL.
Se seleccionó para este trabajo una muestra de mineral de cobre sulfurada de baja ley. Se realizó, en primer lugar, una distribución granulométrica en mallas Tyler que contempla: +100 #, +150#, +200# y +325 # (de acuerdo a la norma ASTM E-11-61).
En la tabla I, se presenta la descripción de las muestras de "cabeza" de acuerdo a las fracciones de tamaño estudiadas y el porcentaje de cobre total y soluble (ley) contenido en cada una, obtenida mediante análisis químicos por digestión acida y posterior lectura por espectrofotometría de absorción atómica (EAA) y análisis por medio de saturación en solución y lectura en EAA, respectivamente.
Tabla I. Leyes de cobre total y cobre soluble. Muestra Cabeza-Mineral de baja ley.
Table I. Total copper laws and receive soluble. Sample Head-Mineral of low law.

2.1 Estudio de la estructura.
Las muestras de mineral se aglomeraron en forma de briquetas y se prepararon para la observación mediante microscópica óptica y electrónica. A través de este estudio, se determinó la composición mineralógica de cada fracción de la muestra, estudiadas mediante la técnica del conteo de puntos con microscopio óptico. Los resultados permitieron comprobar que:
- Los minerales portadores de cobre que se han determinado en la muestra fueron: calcopirita y calcosina-covelina.(Figura 1 y 2)

Figura 1: Microfotografía de partícula de ganga (Gg) ligada a calcopirita (Cp) y Calcosina-covelina (Cs-Cv).(100#). Objetivo 16x. Escala 100 µm
Figure 1: Microphotography of Gangue particle (Gg) ligature to chalcopyrite (Cp) and Calcosina-covelina (Cs-Cv). Objective 16x. Scale 100 µm.

Figura 2: Microfotografía de una partícula de calcopirita (Cp) ligada a pirita (Py) y a calcosina-covelina (Cs-Cv) (-150+200#). Objetivo 16x. Escala 100 µm
Figure2: Microphotography of chalcopyrite particle(CP) ligature to pyrite(Py) and and Calcosina-covelina (Cs-Cv) Objective 16x. Scale 100 µm.
- Las fracciones de tamaño que tienen un mayor contenido de calcopirita son las correspondientes a: -100+150# y -150+200 #, con alrededor del 2%.
- El grado de liberación de la calcopirita, en los tamaños inferiores a 150 #, es de alrededor del 84 %. El tipo de ligadura más común de la calcopirita es la de calcosina-covelina, con ligadura de tipo de recubrimiento o aureola con distinto grado de alteración, aunque también se ha observado calcopirita como pequeñas inclusiones en pirita, ganga y óxidos de hierro. (Figura 2)
- La fracción de tamaños que presenta mayor contenido de calcosina-covelina es la -200 + 325 # (0.46%), con un grado de liberación de alrededor del 50 %.
- Las clases granulométricas estudiadas contienen más del 80 % de minerales de la ganga (fundamentalmente silicatos).(Figura 1)
- La fracción de tamaños en la que se ha observado mayor contenido de pirita es la -100+150 # con alrededor del 15 %.
- La fracción de tamaños que tiene mayor contenido de óxidos de hierro (hematita-magnetita-limonita) es la -150+200 #
- El grado de liberación de la pirita es de alrededor del 98% en tamaños inferiores a 100 #.
- La asociación más abundante de la pirita es a minerales de la ganga, a los óxidos de hierro y en menor grado a la calcopirita.
Otros minerales observados, en muy pequeña proporción, fueron: esfalerita, molibdenita, galena, rutilo y apatita.
2.2 Ensayos de flotación.
Se realizó una molienda en molino de bolas hasta un tamaño P80 de 150 μm. El acondicionamiento de los reactivos, se realizó en etapas utilizando una la celda de flotación Denver Sub A con diferentes recipientes según el peso del mineral de sulfuro de cobre a flotar.
Los reactivos seleccionados son los estándares en la flotación de minerales sulfurados:
- Cal: para regular el pH (alcalinidad) de la pulpa y permitir su flotación.
- Colectores (PAX, Z200, Dietil ditiocarbamato): Colectores selectivos de los sulfuros de Cu.
- Espumantes (MIBC): Alcohol sintético de uso frecuente en plantas de cobre.
A continuación se detallan las condiciones aplicadas para cada ensayo:
Ensayo 1. Se realizó la flotación contemplando: pH 10.3, colectores fueron PAX, 30 g/t y Z 200 25 g/t. Las limpiezas se realizaron a pH 11. El concentrado "rougher", se molió nuevamente en molino de porcelana – 325#. Los tiempos de espumación considerados fueron de: 14, 12, 8 y 6 minutos para el "rougher" y las tres limpiezas, respectivamente.
Ensayo 2. Se realizó una molienda de 17 minutos que produjo un 65% - 200#. La flotación "rougher" se ajustó a pH 10.5 y los reactivos seleccionados fueron: 30 g/t de PAX, 25 g/t de Dietil ditiocarbanato y 20 g/t de MIBC. El tiempo de la flotación "rougher", fue de 14 minutos. Las tres limpiezas se hicieron luego de la remolienda a – 325#, en todos los casos el pH se mantuvo en 11.0 con cal, los tiempos fueron de 12, 8 y 8, respectivamente.
Ensayo 3. Se realizó una molienda de la muestra a -150µm, con un tiempo de mantenimiento de 11 minutos. La pulpa se acondicionó con cal a pH 10.5. Los reactivos fueron; 30 g/t de PAX, 25 g/t de Dietil ditiocarbanato y 20 g/t de MIBC. El tiempo de flotación fue de 14 minutos. La espuma "rougher" se remolió a – 325# y el pH se ajustó en 11. El tiempo de flotación de la primera limpieza fue de 12 minutos. En la segunda y tercer limpieza se trabajó solamente controlando el pH en 11 con cal y los tiempos fueron de 8 minutos en los dos casos.
Ensayo 4. En este caso la muestra ensayada proviene de un ensayo de lixiviación ácida, realizada bajo las siguientes condiciones: ácido H2SO4, 20 g/l; tiempo de contacto, 24 horas; Mineral triturado a -10#; Relación sólido/líquido 1:1. El residuo de la lixiviación fue lavado y secado, con 11 minutos de flotación. La pulpa se acondicionó con cal a pH 9.1. Los reactivos fueron; 30 g/t de PAX, 25 g/t de Dietil ditiocarbamato y 20 g/t de MIBC. El tiempo de flotación fue de 15 minutos. La espuma rougher se remolió a – 325# y se ajustó el pH en 11.2, el tiempo de flotación de la primer limpieza fue de 12 minutos. La segunda y tercera limpieza se realizó solamente controlando el pH en 11 con cal y los tiempos fueron de 8 y 6 minutos, respectivamente.
2.3 Determinación de la composición química.
Las muestras obtenidas a partir de los 4 ensayos de flotación se analizaron mediante la técnica de vía húmeda por medio de digestión ácida y posterior lectura de la solución por espectrofotometría de absorción atómica en el equipo Perkin-Elmer AA 100, con el objetivo de conocer la composición química de cada concentrado y la recuperación de Cu en el proceso de flotación. Los resultados obtenidos se presentan en la tabla II.
Tabla II. Composición química de las muestras de concentrado obtenidas por flotación.
Table II. Chemical composition of the concentrates samples obtained by flotation

2.4 Proceso de fusión instantánea
Con el objetivo de comprender el comportamiento de fusión de las muestras en estudio se realizo simulaciones mediante balance de masa y energía de fusión instantánea en un horno flash. Las muestras de los concentrados obtenidos, ingresan a un circuito de fusión, compuesto por un horno que provoca la fusión instantánea, luego pasa por una caldera y finalmente ingresa a un precipitador electrostático, la mata obtenida ingresa a el proceso de conversión que solamente se tendrá en cuenta para caracterizar la salida del horno Outokumpu. Típicamente un horno de fusión flash mide 20 metros de largo, 7 de ancho y 3 de alto. La torre de combustión tiene 6 metros de diámetro y 6 metros de alto mientras que la salida de gases tiene el ancho del horno (7m), 3 metros de largo y 6 metros de alto. Con estas dimensiones es posible tratar 1200 toneladas de carga seca por día.[22]
El modelo esta basado en el siguiente procedimiento de cálculo:
- Se realizó los cálculos de carga al horno de fusión. Esto es el tonelaje a tratar de concentrado, fundente y aire. Cada flujo a tratar posee una composición porcentual en peso de los elementos en juego Cu, Fe, S, SiO2, Al2O3 y O2
- Se determinó cuanto fundente es requerido de acuerdo al balance de SiO2.
- Se estableció las reacciones químicas involucradas para cada especie en cada compuesto. En general, es suficiente considerar sólo las reacciones de formación de cada una de las especies involucradas en el proceso.
- Se consideró como fases la escoria, concentrado y gas en la primera etapa. Luego, se debe considerar la Eje, escoria, polvos y gas
Concentrado: CuFeS2 – CuS- FeS
Escoria: FeO – Cu2O
Gases: SO2, O2, SO3, N2, H2, SO, H2O
Eje: Cu2S – FeS
Consideración para la simulación.
En la simulación se consideró que el mineral esta compuesto mayoritariamente por calcopirita, covelina y en menor porcentaje de pirita. Las condiciones que fueron contempladas en este caso son:
a) una tasa de fusión de 72,70 tph, debido a ser la media para la relaciones entre los valores de S/Cu y los rangos de eje a obtener, el cual genera la mayor producción.[21]
b) la composición del fundente es de SiO2: 93%, Al2O3:3%, CaO:2%, MgO: 2% , por ser la mas usada en las fundiciones.
c) la composición porcentual de los polvos recirculados es de: CuSO4: 53%, Fe2O3: 19%, Fe3O4: 18%, Cu2O: 5%, SiO2 : 5 %. Para todos los casos se ha supuesto que los polvos recirculados corresponden al 6 % de la mezcla de concentrado fresco alimentado al horno[21], valor en concordancia con lo reportado con fundiciones de cobre que utilizan hornos flash tipo Outokumpu. La temperatura de los polvos recirculados se definió en 25 °C.
d) Se consideraron para todas las simulaciones que las temperaturas de las fases presente como Eje a 1260°C, Escoria:1300°C y Gases y Polvos 1350°C. Estos valores están en concordancia con la experiencia práctica operativa.
Dependiendo del grado de liberación de calor que poseen los concentrados, en las operaciones normalmente se tolera una leve variación en la temperatura de las fases, ± 20°C. Cabe mencionar que en el caso de las simulaciones realizadas. Las temperaturas objetivo de las fases en el horno, no han sido modificadas.
En la simulación se ha asumido que tales temperaturas se alcanzan cuando la temperatura de la torre de reacción del horno flash es de 1500 °C. Con esta temperatura como función objetivo en la torre de reacción, se calcula el nivel de enriquecimiento necesario al cual se debe operar el horno.
e) Con respecto a la composición química de la fase escoria, se considera como máxima pérdida de Cu: 1,6%, al igual que demás parámetros son determinados empíricamente.
f) La cantidad de fundente utilizado se calcula mediante un balance de masa y energía en el cual se ha definido como función objetivo un 30 % de sílice en la escoria, que representa la proporción de composición de la fayalita (2FeO*SiO2) para garantizar mínima viscosidad y temperatura de fusión.
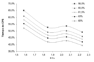
Considerando los parámetros expuestos, se simuló el proceso mediante el modelo con diferentes % de Cu a la salida del horno flash, considerando una ley de eje del 58%, 60%, 61,5%, 63% y 65%. En la figura 3 se puede observar la recuperación metalúrgica del horno flash vs. la relación S/Cu , cuanto mayor es la ley mientras menor es la calidad del eje, situación bastante trivial, ya que una menor ley de eje representa una menor exigencia térmica al horno.

Figura 3. Relación S/Cu vs Recuperación metalúrgica en horno flash.
Figure 3. S/Cu relation versus metallurgical Recovery in furnace flash
Con 58% de ley de eje, se obtuvó una mayor recuperación, sin embargo se incremento el tiempo de operación de los procesos posteriores tales como la conversión, tal como se desprende a partir del análisis de la figura 4, en donde se observa un comportamiento no lineal del tiempo de soplado en función de la relación de S/Cu, esto se debe a que existe otra variable que también participa en el tiempo de soplado que es la concentración de Fe, es decir que a medida que aumenta el % de Fe en la muestra el tiempo de soplado en la primera etapa llamada "eliminación de Fe" se alarga.

Figura 4. Relación S/Cu vs Tiempo en chimenea del CPS.
Figure 4. S/Cu – Time ratio in the CPS chimney
El tiempo de soplado es unas de las variables esenciales en la operación de conversión la cual determina la eficacia del proceso.
La mencionada variable se controla por medio de una adecuada organización del equipo y su disponibilidad, mano de obra e incrementando las cargas de eje a un máximo práctico.
Por lo expuesto anteriormente se comprueba que una relación óptima de operación consistiría en desarrollar las simulaciones con una ley de eje del 61,5%, dado que tendríamos una recuperación metalúrgica considerable, mientras que el tiempo de exposición en los convertidores no ha aumentado.
Los resultados simulados se presentan en la Tabla IV, donde se contemplan los valores comparativos para los diferentes casos teniendo en cuenta la relación S/Cu de cada ensayo, mostrando los parámetros como lo son consumo de oxígeno y el enriquecimiento. Sobre esta base se pudo determinar el consumo de aire total y los gases que se liberan, por otra parte se tuvo en cuenta el ingreso de fundente para cada mineralogía, la cantidad de escoria producida, la cantidad de eje producido y el cobre arrastrado en la escorias, también se puede observar en la tabla las salidas de gases y el calor necesario para que se produzca el proceso de fusión.
Tabla IV. Resultados de la simulación de fusión en horno flash
Table IV. Results of the melting simulation in the flash furnace.

3. ANÁLISIS DE RESULTADOS.
La identificación y caracterización de los minerales es de vital importancia en el desarrollo de las operaciones de minería y sistemas de procesamiento para poder seleccionar tanto los procesos como ajustar las operaciones de recuperación de metales [20]. Los datos obtenidos mediante microscopía óptica y electrónica (figura 1 y 2) sobre las muestras en estudio permitieron comprobar que el mineral contiene concentraciones mayoritarias de calcopirita y calcosina-covelina, con ganga proveniente de minerales silicatos, también se observaron impurezas de pirita y minoritarios de esfalerita, molibdenita, galena, rutilo y apatita.
Ensayos de flotación "rougher", remolienda y 3 limpiezas del concentrado, sobre la muestra "cabeza" demuestran que es posible separar un concentrado con 17 a 22% de Cu. La recuperación final es del 50 al 66% de Cu. Esta dificultad para lograr leyes superiores al 25% y con recuperaciones del 90%, está relacionada al hecho que las muestras corresponden a sectores del yacimiento con minerales secundarios de Cu. La oxidación parcial de los sulfuros afecta a su comportamiento en flotación por la menor interacción con los colectores sulfhidrílicos. Para estos minerales es recomendable un proceso combinado de lixiviación ácida de los minerales oxidados y flotación de los sulfuros.
Finalmente con la muestra proveniente de la lixivian ácida y luego flotada se separa un concentrado del 18%, donde la recuperación final, es de 60%.
También aquí se verifica que la flotación está limitada por la complejidad mineralógica que presenta el mineral. Por lo que se concluye que en este tipo de minerales el tratamiento ácido en la flotación de los sulfuros es limitado.
Ingresando los datos obtenidos en los ensayos de flotación a la simulación del proceso de fusión, se considera que la capacidad del circuito Horno Flash – Caldera - Precipitador Electrostático Seco (PES), está entre otros, acotada a un máximo de temperatura de gases entrando al PES, situación asociada al balance térmico del horno y la capacidad de retiro de calor en la caldera, es que se efectúan análisis relacionados con la exotermicidad de los concentrados. Entendiendo que la exotermicidad de los concentrados es función de la relación entre el contenido de Cu y los contenidos de Fe y S, con el fin de simplificar el análisis se utiliza como parámetro para medir la "calidad" del concentrado, la relación S/Cu.A partir de los resultados obtenidos con el modelo de fusión flash para los distintos concentrados se observa que no existe un comportamiento lineal. Los casos 2 y 3 con una relación de S/Cu de 1,6 y de 2,1 respectivamente poseen una producción de 379,02 toneladas por día (tpd) y de 312,68 tpd siendo su recuperación metalúrgica en el horno flash de 95% y de 94%., mientras que se observa un mínimo de recuperación para la relación de S/Cu de 1,85 esto se debe a la mayor cantidad de Fe en la composición química del concentrado lo cual indica una mayor cantidad de escoria producida lo que indirectamente conlleva a un arrastre de partículas de Cu y por lo consiguiente a una menor recuperación metalúrgica.Mientras que para la relación de S/Cu de 1.6, posee un menor ingreso de fundente y esto producirá una disminución en la producción de escoria, lo que implica bajar los costos para el tratamiento de las mismas.
Considerando que actualmente existen restricciones en cuanto al medio ambiente, otra variable a controlar es la producción de anhídrido sulfuroso ya que es una limitante en las fundiciones. Se considera que la producción del ensayo 2 es de alrededor de 650.000 t/año mientras que para una mayor relación de S/Cu la producción será aproximadamente 700.000 t/año.
4. CONCLUSIONES.
Países vecinos, tales como Chile, Perú han trazado una trayectoria importante en la industria del cobre, Argentina si bien se realiza explotación no se ha vinculado mas allá, dejando de lado el producto de cobre refinado el cual trae importantísimas ventajas económicas y sociales, tal es así que el concentrado de cobre de minas argentinas es enriquecido y libre de impurezas tales como el As, Pb, Cd, Hg es comprado por otros países como los son Chile, Canadá, Inglaterra, etc para mezclarlo con su concentrado de baja ley y rico en impurezas, para obtener su producto final de cobre refinado evitando que en el precipitador electroestático, convertidores y hornos flash se emita partículas con metales volátiles y manteniendo así dentro de las normas medioambientales.
A partir de lo expuesto en este trabajo, se puede considerar que aún contemplando el mineral analizado de baja ley (0,36 % de Cu) que representa una condición no tan beneficiosa, se puede a través de los procesos posteriores tales como flotación y fusión flash obtener un concentrado con una ley del 61.5 %. Con base en a los resultados experimentales y de simulación se pudo comprobar que dichos procesos son factibles químicamente y térmicamente. Estos concentrados, tratados posteriormente en convertidores durante un tiempo óptimo y cumpliendo las normas ambientales (debido a la emanación de SO2 y los metales antes mencionados), permiten producir cobre refinado.
Sin embargo, se debería hacer una actualización de costos y ganancias de una planta de fundición, la cual debería representar un punto de interés relevante en nuestro país dado que tiene un impacto directo en la economía del mismo y fundamentalmente un alto impacto social en la región con todo lo que ello implica, la formación de nuevos recursos humanos, la promoción de nuevos proyectos industriales y de servicios con amplios espectros de crecimiento y finalmente que a futuro, Argentina ocupe un lugar en el mercado del cobre a nivel mundial.
5. REFERENCIAS.
[1] Peralta E. Actas de Encuentro Internacional de Minería. Secretaria de Minería de la Nación. Buenos Aires. Argentina,5-15.1994.
[2] SEGEMAR. Servicio Geológico Minero de Argentina. http://www.segemar.gov.ar/P_Oferta_Regiones/Oferta/Introducción.htm [ citado 15 de agosto de 2010]
[3] Beretta A., Bazan V. Algunos fundamentos de las ventajas estratégicas de la instalación de una fundición de cobre en argentina SAM / CONAMET. San Nicolás. Buenos Aires, Argentina. 7-12. Septiembre 2007
[4] Guitierrez A., Chong D., Espinoza R, Rev. de la Asociación Geológica Argentina Niveles de exposición de Yacimientos del distrito minero de agua de Dionisio (YMAD), Catamarca. 61 (2). 269-277.2006
[5] Vanini G, Introducción a la Metalurgia. Recursos metalúrgicos: metalurgia general II. UNMSM, E.A.P. de Ingeniería Metalúrgica, Lima Perú . 146-170.2004
[6] Biswas A; Davenport, W. Metalurgia Extractiva. "El Cobre". Ed. Limusa. México. 175-195.1993
[7] Dimitrijevic M., Rostov A., Tasic V. Melosevic N. Influence of pyrometallurgical copper production on the enviorment. Journal of Hazardous Materials 164. 892-899.2009
[8] Sancho J.; Verdeja L.F; Ballester A.; Metalurgia Extractiva. Vol II. Procesos de obtención Ed. Sintesis, España, 245-294.2000
[9] Luszczkiewicz A., Chiemlewski T. Acid treatment of copper sulfide middlings and rougher concentrates in the flotation circuit of carbonate ores, International Journal Mineral Processing, 88, (1-2). 45-52. 2008
[10] Benzaazoua M., Marion P., Liouville-Bourgeois L. et al. Mineralogical distribution of some minor and trace elements during a laboratory flotation processing of Neves-Corvo ore (Portugal) International Journal Mineral Processing, 66,(1-4) 163-181. 2002
[11] Sanchez V, Valero J, Flores P, Pérez M, Mass Balance Calculation in Copper Flash Smelting by Jeans of Genetic Algoritms. JOM, December. 29-32.2004
[12] Moskalk R, Alfantazi A, Review of copper pyrometallurgical practice: today and tomorrow. Mineral Engineering. Volume 16, Issue 10, October , 893-919. 2003
[13] Kojo I., Jokilaakso A. and Aníñala P., Flash Smelting and Converting Furnaces: A 50 Year Retrospect. JOM, 52,2, Feb, 57-60.2000.
[14] J.P Ibáñez, J Ipinza, N Collao, G Ahlborn. Respuesta metalurgia de facciones finas de minerales de cobre en un proceso combinado de flotación modificada y biolixiacion agitada. Rev. de Metalurgia. Madrid 43(2), 125-132.2007.
[15] Varela N., Brossard L., Dupotey B., Penedo M, Trujillo M., Nuviola L.,. Verdecia R, Influencia de las soluciones alcalizadas en la flotación de minerales de cobre. Parte i Tecnología Química Vol. XXII ,N°1. 93-101.2002.
[16] Valderrama L., Castillo C., Olguin D.y Carmona M. Obtención de Concentrados de Pirita desde Relaves de Flotación de Cobre Rev. De la Facultad de Ingeniería 18 . 46-51.2004
[17] Lee K., Archibald D., McLean J., Reuter M.A., Flotation of mixed copper oxide and sulphide minerals with xanthate and hydroxamate collectors Minerals Engineering , 22 (4), 395-40122. 2009
[18] Sarquis P., González M., Bazan V. y Moyano A., Separación de sulfuros usando depresores selectivos de origen orgánico. VII Simposio Internacional de Mineralurgía Tecsup. Lima. Peru. 2008.
[19] Seetharaman S., "Fundamentals of metallurgy". Ed. Seetharaman., 320-324.2005
[20] Olubambi P.A., Ndlovu S., Potgieter J.H. y Borode J.O. Mineralogical characterization of Ishiagu (Nigeria) complex sulphide ore, International Journal Mineral Processing, 87,(3-4), 83-89. 2008
[21] Moraga R. Tesis de Grado. Modelo Técnico Económica para la Creación de Valor en las Fundiciones de Concentrados de Cobre. Universidad de Concepción. Chile,. 55-57.2003
[22] Sánchez M. "Pirometalurgia del cobre y comportamiento de sistemas fundidos", Universidad de Concepción. Chile. 2002.
Cómo citar
IEEE
ACM
ACS
APA
ABNT
Chicago
Harvard
MLA
Turabian
Vancouver
Descargar cita
Visitas a la página del resumen del artículo
Descargas
Licencia
Derechos de autor 2011 DYNA

Esta obra está bajo una licencia internacional Creative Commons Atribución-NoComercial-SinDerivadas 4.0.
El autor o autores de un artículo aceptado para publicación en cualquiera de las revistas editadas por la facultad de Minas cederán la totalidad de los derechos patrimoniales a la Universidad Nacional de Colombia de manera gratuita, dentro de los cuáles se incluyen: el derecho a editar, publicar, reproducir y distribuir tanto en medios impresos como digitales, además de incluir en artículo en índices internacionales y/o bases de datos, de igual manera, se faculta a la editorial para utilizar las imágenes, tablas y/o cualquier material gráfico presentado en el artículo para el diseño de carátulas o posters de la misma revista.




