An approximation of behind-casing hydraulic conductivity between layers from transient pressure analysis
Aproximación a la conductividad hidráulica de flujo detrás del revestimiento entre capas de pruebas de presión
DOI:
https://doi.org/10.15446/dyna.v86n210.76739Palabras clave:
radial flow, linear flow, TDS technique, pressure derivative (en)flujo radial, flujo lineal, técnica TDS, derivada de presión (es)
Descargas
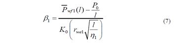
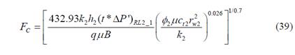
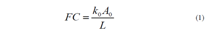
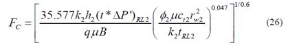
Flow behind the casing has normally been identified and quantified using production logging tools. Very few applications of pressure transient analysis, which is much cheaper, have been devoted to determining compromised cemented zones. In this work, a methodology for a well test interpretation for determining conductivity behind the casing is developed. It provided good results with synthetic examples.
El flujo detrás del revestimiento se ha identificado y cuantificado normalmente utilizando herramientas de registro de producción. Se han efectuado muy pocos desarrollos de análisis de presión transitoria, que son mucho más baratas, para la determinación de zonas cementadas comprometidas. En este trabajo, se desarrolla una metodología para la interpretación de las pruebas de pozo para la determinación de la conductividad detrás del revestimiento y se prueba con buenos resultados con ejemplos sintéticos.
Referencias
Bakulin, A. and Korneev, V., Acoustic signatures of cross-flow behind casing: downhole monitoring experiment at teapot dome. Society of Exploration Geophysicists. DOI: 10.1190/1.2792430. Jan. 2001.
Cooke, C.E., Radial Differential Temperature (RDT) logging - A new tool for detecting and treating flow behind casing. Society of Petroleum Engineers. DOI: 10.2118/7558-PA. Jun. 1979.
Escobar, F.H., Jongkittnarukorn, K. and Hernandez, C.M., The power of TDS technique for well test interpretation: a short review. Journal of Petroleum Exploration and Production Technology, 9(1), pp. 731-752, 2019. ISSN 2190-0566. DOI: 10.1007/s13202-018-0517-5. 2018.
Escobar, F.H., Zhao, Y.L., Urazan, C. and Trujillo, C.M., Pressure and pressure derivative interpretation for horizontal wells in compressible formations. Journal of Geophysics and Engineering. 15. pp. 1551-1560, 2018. ISBN 1742-2140. DOI: 10.1088/1742-2140/aaadc9. 2018.
Kremenetskiy, M.I., Ipatov, A.I. and Kokurina, V., Well-test interpretation in case of behind-the-casing crossflow. Society of Petroleum Engineers. In: SPE Russian Oil and Gas Technical Conference and Exhibition, 28-30 October, Moscow, Russia, 2008. DOI: 10.2118/115323-MS. Jan. 2008.
McKeon, D.C., Scott, H.D., Olesen, J.-R., Patton, G.L. and Mitchell, R.J., Improved oxygen-activation method for determining water flow behind casing. Society of Petroleum Engineers, 6(03), 1991. DOI: 10.2118/20586-PA
Rahman, N.M.A., Measuring behind casing hydraulic conductivity between reservoir layers. US patent and Trademark Office. Patent Application Number 14/182.430. 2014.
Rahman, N.M.A, Bin-Akresh, S.A. and Al-Thawad, F.M., Diagnosis and characterization of cross flow behind casing from transient-pressure tests. Society of Petroleum Engineers. In: SPE Annual Technical Conference and Exhibition, 28-30 September, Houston, Texas, USA, 2015. DOI: 10.2118/174999-MS
Tiab, D., Analysis of pressure and pressure derivative without type-curve matching: 1- skin and wellbore storage. Journal of Petroleum Science and Engineering, 12, pp. 171-181, 1995. DOI: 10.1016/0920-4105(95)00064-X
Wahl, J.S., Nelligan, W.B., Frentrop, A.H., Johnstone, C.W. and Schwartz, R.J., The thermal neutron decay time log. Society of Petroleum Engineers Journal, 10(04), 1970. DOI: 10.2118/2252-PA
Cómo citar
IEEE
ACM
ACS
APA
ABNT
Chicago
Harvard
MLA
Turabian
Vancouver
Descargar cita
Licencia
Derechos de autor 2019 DYNA

Esta obra está bajo una licencia internacional Creative Commons Atribución-NoComercial-SinDerivadas 4.0.
El autor o autores de un artículo aceptado para publicación en cualquiera de las revistas editadas por la facultad de Minas cederán la totalidad de los derechos patrimoniales a la Universidad Nacional de Colombia de manera gratuita, dentro de los cuáles se incluyen: el derecho a editar, publicar, reproducir y distribuir tanto en medios impresos como digitales, además de incluir en artículo en índices internacionales y/o bases de datos, de igual manera, se faculta a la editorial para utilizar las imágenes, tablas y/o cualquier material gráfico presentado en el artículo para el diseño de carátulas o posters de la misma revista.




