Publicado

2011-01-01

Flexión litosférica en la zona de subducción oceánica Caribe-Atlántico: características elásticas y edad de las placas

Palabras clave:

Flexión de placas, elasticidad, geodinámica, subducción, Placa Caribe (es)

Descargas

Autores/as

  • Antonio Ughi Universidad Central de Venezuela

Los datos geofísicos muestran diferencias morfológicas entre las secciones norte y sur de la zona de subducción entre el Caribe y el Atlantico. En el primer caso existe una fosa submarina característica de una subducción oceánica típica, pero en la sección sur el prisma de acreción de Barbados es la característica dominante. Esta diferenciación, también observable en la geometría del arco de las Antillas Menores, hace suponer la existencia de distintos estilos de subducción y comportamiento de la Placa Atlántica como respuesta elástica a la carga aplicada que representa la Placa Caribe. En esta investigación se pretenden dilucidar los procesos geodinámicos que interactúan entre la Placa Caribe y la Atlántica, el comportamiento elástico de esta última ante la aplicación de cargas supracorticales, como la Cuenca de Grenada, y cargas intracorticales como las producidas por el arco magmático activo de las Antillas Menores, así como estimar la edad de la placa al momento de la aplicación de estas cargas. Mediante el modelado del comportamiento elástico de la Placa Atlántica se pudo estimar su espesor elástico y a partir de este resultado estimar la edad de la placa al momento de ser cargada. Los resultados revelan que la Placa Atlántica está relajando elásticamente esfuerzos que se aplicaron durante el Cretácico Temprano al norte, Cretácico Tardío en la zona central y el Oligoceno en la zona sur. Estos resultados permiten sugerir que la Placa Atlántica ha sufrido por lo menos dos períodos de carga, el primero durante el Cretácico, probablemente asociado a la formación de la misma Placa Caribe y el Alto de Aves, y el segundo durante el Paleógeno Tardío que debe estar asociado a la formación del arco volcánico de las Antillas Menores.

Flexión litosférica en la zona de subducción oceánica Caribe-Atlántico: características elásticas y edad de las placas

Lithospheric flexure on the Caribbean-Atlantic Oceanic Subduction Zone: lastic features and age of plates

Antonio Ughi

Laboratorio de Interpretación del Subsuelo, Departamento de Geofísica, Universidad Central de Venezuela. Facultad de Ingeniería, Escuela de Geología, Minas y Geofísica,Caracas 1041-A, Venezuela antonioughi@gmail.com

Manuscrito recibido: 6 de julio 2011; aceptado: 13 de agosto 2011


Resumen

Los datos geofísicos muestran diferencias morfológicas entre las secciones norte y sur de la zona de subducción entre el Caribe y el Atlántico. En el primer caso existe una fosa submarina característica de una subducción oceánica típica, pero en la sección sur el prisma de acreción de Barbados es la característica dominante. Esta diferenciación, también observable en la geometría del arco de las Antillas Menores, hace suponer la existencia de distintos estilos de subducción y comportamiento de la placa Atlántica como respuesta elástica a la carga aplicada que representa la placa Caribe.

En esta investigación se pretenden dilucidar los procesos geodinámicos que interactúan entre la placa Caribe y la Atlántica, el comportamiento elástico de esta última ante la aplicación de cargas supracorticales, como la Cuenca de Grenada, y cargas intracorticales como las producidas por el arco magmático activo de las Antillas Menores, así como estimar la edad de la placa al momento de la aplicación de estas cargas.

Mediante el modelado del comportamiento elástico de la placa Atlántica se pudo estimar su espesor elástico y a partir de este resultado estimar la edad de la placa al momento de ser cargada.

Los resultados revelan que la placa Atlántica está relajando elásticamente esfuerzos que se aplicaron durante el Cretácico Temprano al norte, Cretácico Tardío en la zona central y el Oligoceno en la zona sur. Estos resultados permiten sugerir que la placa Atlántica ha sufrido por lo menos dos períodos de carga, el primero durante el Cretácico, probablemente asociado a la formación de la misma placa Caribe y el alto de Aves, y el segundo durante el Paleógeno Tardío que debe estar asociado a la formación del arco volcánico de las Antillas Menores.

Palabras clave: Flexión de placas, elasticidad, geodinámica, subducción, placa Caribe.


Abstract

The geophysical data show morphological differences between north and south sections of the Caribbean– Atlantic subduction zone. The Puerto Rico trench represents the morphological feature of a typical subduction zone at the northern part, and the Barbados accretionary prism represents the most prominent morphological feature at the southern part. This differentiation is also visible on the Lesser Antilles volcanic island arc and suggests the existence of differences in subduction style and the elastic behavior of the Atlantic plate.

In this research we try to understand the geodynamic processes affecting the Atlantic and Caribbean plates, the elastic behavior of the plates under cortical and subcortical loads like the Grenada basin and the Lesser Antilles island arc and estimate the age of the plate at time of loading.

We found that Atlantic plate is relaxing elastically different loads applied from Early Cretaceous to Oligocene, in consequence the Atlantic plate has suffered at least two load periods, first in the Cretaceous, probably associated with the Caribbean plate and Aves Ridge formation and second during Late Paleogene associated with the Lesser Antilles island arc formation.

Key words: Plate flexure, elasticity, geodynamics, subduction, Caribbean plate.


INTRODUCCIÓN

La región del Caribe ha sido una de las zonas geográficas del mundo más estudiada desde el punto de vista geocientífico durante los últimos 50 años (Silver et al. 1975; Burke et al. 1978; Pindell & Dewey 1982; Burke et al. 1984; Duncan & Hargraves 1984; Bouysse et al. 1990; Pindell & Barrett 1990; Stephan et al. 1990; Meschede & Frisch 1998; Bird et al. 1999; Christeson et al. 2008, entre otros).

Las condiciones geológicas y la evolución tectónica y geodinámica que ha tenido lugar en el Caribe desde finales del período Jurásico hasta el presente, le han conferido a esta región una complejidad geológica sorprendente; para tratar de explicarla se han propuesto una gran cantidad de teorías y modelos que intentan describir su evolución e interacción con las placas circunvecinas.

A pesar de la enorme cantidad de información recabada durante décadas, aún persisten discrepancias entre diversos autores sobre los procesos específicos de formación de algunas cuencas y en general la configuración final del proceso evolutivo de la placa Caribe como un todo (Duncan & Hargraves 1984; Bouysse et al. 1990; Meschede & Frisch 1998; Bird et al. 1999; Aitken et al. 2009).

Existe consenso en múltiples aspectos específicos de su configuración, morfología y geología, por ejemplo, los estudios realizados muestran que la constitución geológica de la corteza del Caribe es oceánica (Diebold et al. 1981); sin embargo, posee un inusual espesor del piso oceánico (Duncan & Hargraves 1984) detectado a partir de los estudios de refracción sísmica, que oscilan entre 10 y 15 km (Officer et al. 1959; Edgar et al. 1971; Houtz & Ludwig 1977) lo que la hace un poco más gruesa que las típicas cortezas oceánicas del Pacífico y el Atlántico, por lo que se le considera de tipo transicional. Más específicamente, en las cuencas transicionales de Venezuela, Colombia y Golfo de México tienen espesores aproximados de 15, 18 y 20 km respectivamente (Ladd & Watkins 1980).

Los datos aportados por el Proyecto DSDP (Deep Sea Drilling Project - Proyecto de Perforación Marina Profunda) revelan que el engrosamiento anómalo de la corteza está asociado a la presencia generalizada de diques y flujos basálticos de 1 a 2,5 km de espesor y de edad Cretácica Tardía (Coniaciense a Campaniense) cubiertos por sedimentos. Adicionalmente, esta estratificación también aparece reflejada en los estudios de sísmica de reflexión que han identificado los denominados Horizontes A‘‘ y B‘‘ en la corteza continental (Silver et al. 1975).

Los estudios realizados con relación al movimiento relativo de la placa Caribe con respecto a las placas vecinas han demostrado que la componente predominante de dicho movimiento tiene una dirección E-W aunada a una componente menor N-S (Minster & Jordan 1978). Soportes adicionales para estas conclusiones han sido aportados por los análisis de los focos sísmicos, que reflejan la relajación de esfuerzos ocasionados por el movimiento principal (E-W) a través de sistemas de fallas dextrales, mientras que los sistemas de fallas de compresión relajan los esfuerzos de la componente de movimiento N-S (Pennington 1981; Sykes et al. 1982; Schubert 1988; Audemard et al. 2005; Palma et al.2010). Adicionalmente, las investigaciones realizadas utilizando estaciones GPS han comprobado los datos iniciales sobre la velocidad de desplazamiento de la placa dando un promedio entre 1,5 y 2 cm/año (Freymueller et al. 1993; Kelogg & Vega 1995; Pérez et al. 2001; Weber et al. 2001; Trenkamp et al. 2002).

El límite oriental es una zona de subducción típica en donde la placa Atlántica está siendo consumida por debajo de la placa Caribe; la sismicidad en esta zona aumenta considerablemente, comparada con los límites norte y sur, y se forman grupos de hipocentros que delimitan con bastante precisión la zona de subducción con buzamiento al oeste (Bouysse 1984; Bouysse et al. 1990).

Otra característica del límite oriental de la placa Caribe se evidencia a partir de los estudios batimétricos y gravimétricos (Bird et al. 1999; Christeson et al. 2008; Ughi 2009; Bezada et al. 2010) que muestran diferencias morfológicas entre las secciones norte y sur del margen activo. En el primer caso existe una fosa submarina característica de una subducción oceánica típica, pero en la sección sur el prisma de acreción de Barbados es la característica dominante (Figura 1). Esta diferenciación, también observable en la geometría del arco de las Antillas Menores (Stoiber & Carr 1973; Ranneft 1976; Marsh 1979), hace suponer la existencia de distintos estilos de subducción y comportamiento de la placa Atlántica como respuesta elástica a la carga aplicada que representa la placa Caribe.

Modelos previos realizados en la Cuenca Oriental de Venezuela hacen suponer que la subsidencia observada en la cuenca es consecuencia de la aplicación de cargas supracorticales (representada por la Serranía Interior Oriental) y de la subducción del manto superior que causa la deflexión hacia abajo de la corteza continental de Suramérica, ya que la carga supracortical por sí sola no es suficiente para reproducir la subsidencia observada en la cuenca (Jácome et al. 2003a, 2003b).

Los modelos flexurales obtenidos para la región central de Venezuela (Ughi et al. 2004; Garzón & Ughi 2008) han encontrado similitudes con los modelos de la Cuenca Oriental en el valor del espesor elástico y en el hecho de que las cargas supracorticales no son suficientes para reproducir la flexión de la placa y la geometría de la cuenca antepaís asociada a ésta; sin embargo, difieren en la explicación geodinámica dada a la carga intracortical, la cual consiste en la sustitución de corteza por manto durante el proceso de apertura oceánica.

La presente investigación, enmarcada dentro del proyecto GEODINOS (Geodinámica reciente del límite norte de la placa Suramericana), pretende dilucidar los procesos geodinámicos que interactúan entre la placa Caribe y la placa Atlántica, el comportamiento elástico de esta última ante la aplicación de cargas supracorticales, como la Cuenca de Grenada, y cargas intracorticales como las producidas por el arco magmático activo de las Antillas Menores, así como estimar la edad de la placa al momento de la aplicación de estas cargas y vincular estos elementos con la diferenciación morfológica de la zona de subducción.

MORFOLOGÍA Y TECTÓNICA DE LA ZONA DE SUBDUCCIÓN CARIBE- ATLÁNTiCO

En esta zona hay cinco provincias tectónicas principales a considerar: las placas oceánicas Caribe y Atlántica, el arco de las Antillas Menores, el alto de Aves y la Cuenca de Grenada.

La placa Caribe presenta una plataforma basáltica asociada a un evento de superpluma ocurrido en el Cretácico Medio (Cox 1991; Larson 1991), que le confiere un espesor cortical atípico de 15 a 20 km (e.g., Burke et al. 1978; Mauffret & Leroy 1997) y es la causa de su característica flotabilidad que impide que sea subductada cuando entra en contacto con las placas oceánicas vecinas (e.g., Duncan & Hargraves 1984; Ughi 2002).

Las Antillas Menores forman un arco con un radio de curvatura de 450 km, en el que se encuentran 11 islas volcánicas principales y una pléyade de islotes e islas pequeñas que albergan 21 volcanes activos (Figura 1). El arco se prolonga 850 km desde el margen nor–oriental de Venezuela hasta el extremo oriental de las Antillas Mayores en la zona de la plataforma de Puerto Rico e islas Vírgenes (e.g., Bouysse 1979; Bouysse & Guennoc 1983; Bouysse et al. 1985).

Martín–Kaye (1969) y Fink (1972) han considerado a las Antillas Menores como dos arcos volcánicos unidos al sur y divergentes en las latitudes cercanas a la isla Dominica. Se piensa que el arco exterior, ubicado al este, fue volcánicamente activo desde el Eoceno al Mioceno Temprano, mientras que el arco interior o arco reciente (ubicado al oeste) fue activo desde el Mioceno Tardío hasta el Presente (Bouysse 1984; Bouysse 1988; Bird et al. 1993; Bird et al. 1999).

Por simple inspección visual, es posible subdividir a las Antillas Menores en tres segmentos aproximadamente rectilíneos (Stoiber & Carr 1973; Ranneft 1976; Mar- sh 1979). Se ha especulado que esta subdivisión está relacionada con una segmentación mayor de la zona Wadati- Benioff en tres bloques (Tomblin 1975; Dorel 1978).

Hacia el oeste, el arco de islas delimita la Cuenca de Grenada (Figura 1), la cual posee una profundidad de 2.800 a 3.000 m, y según Uchupi (1975) está rellenada con 7 km de sedimentos. Al oeste de la Cuenca de Grenada se encuentra el alto de Aves (Figura 1), un accidente topográfico del suelo marino coronado en su parte norte por la isla de Aves, que divide la Cuenca de Grenada de la Cuenca de Venezuela (Figura 1), el cual ha sido interpretado como un arco de islas volcánicamente activo desde el Cretácico Tardío hasta el Paleoceno (Fox et al. 1971; Nagle 1972; Fox & Heezen 1975; Clark et al. 1978; Bouysse et al. 1985; Bouysse 1988). Algunos autores piensan que puede ser la continuación oriental del arco de las Antillas Mayores (Speed & Westbrook 1984), mientras que otros autores sostienen que se trata de un arco abandonado previo a la apertura de la Cuenca de Grenada y la forma ción del arco de las Antillas Menores (e.g., Bouysse 1988; Bouysse et al. 1990; Audemard 2003).

La Cuenca de Grenada es la estructura geológica que separa al alto de Aves, ubicado al oeste, del arco de las Antillas Menores ubicado al este (Figura 1). Tiene una forma cóncava con 140 km de ancho y 600 km de longitud aproximadamente, limitada al sur por la parte continental de Venezuela y al norte por el Banco Saba.

Morfológicamente, la sección sur que constituye las dos terceras partes de la superficie de la cuenca, está caracterizada por una plataforma muy plana con un promedio de profundidad de 2.900 m, alcanzando en algunos lugares hasta los 3.000 m. Hacia el norte, la batimetría se hace más somera y la forma del fondo marino más "rugosa" con crestas y valles que discurren hacia el arco de islas volcánico de las Antillas Menores.

Van der Hilst (1990) destaca, a partir de imágenes tomográficas, que la subducción de la placa Atlántica por debajo del Caribe es más pronunciada hacia el norte, alcanzando los 200 km de profundidad, mientras que en la parte sur, cercana a Trinidad y la Península de Paria, la subducción tiene una menor pendiente. Esta geometría propicia que la lámina de subducción de la placa Atlántica tenga un buzamiento oeste-noroeste.

Ysaccis (1997) identifica una estructura arqueada de alta velocidad de onda compresional debajo de las Antillas Menores, la cual continua dentro de la sección nor-oriental de Venezuela y Trinidad; esto podría ser evidencia de cómo la subducción de la corteza Atlántica continua por debajo de Suramérica (Jácome et al. 2003a).

FLEXIÓN DE PLACAS

Para modelar teóricamente, y de manera sencilla, el comportamiento de una placa elástica sometida a una carga por un período de tiempo prolongado, resulta conveniente asumir un comportamiento lineal, es decir, si una carga h1(x) produce una flexión y1(x) y una segunda carga h2(x) produce una deflexión y2(x) , entonces la suma de las cargas h1(x) + h2(x) produce una deflexión y1(x) + y2(x). La caracterísitica de linealidad permite simular el comportamiento de una placa como si se tratase de un filtro lineal invariante en el espacio. Una de las propiedades de un filtro de estas características es la periodicidad, es decir, que si se aplica una carga periódica a la placa, la flexión resultante también es periódica.

La ecuación general que describe la respuesta de una placa elástica que suprayace a un sustrato fluido ante la aplicación de una carga periódica está dada por (Watts 2001):

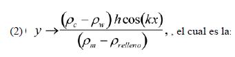
el módulo de Young, Te es el espesor elástico y "n" el radio de Poisson, rm es la densidad del manto, r relleno es la densidad del material sedimentario que rellena la cuenca de flexión, y es la flexión, x es la distancia horizontal, k es el número de onda de la carga en la dirección x, h, es la amplitud medio-pico de la carga y rc y rw son las densidades de la carga y del material que esta desplaza respectivamente.

La solución de la ecuación (1) es periódica y tiene la forma:

Si se analiza la ecuación (2) se puede ver que si D → 0, es decir, la placa se hace débil, entonces en la ecuación

respuesta isostática a una carga periódica según el modelo de Airy siempre que ρrelleno → ρc. Por otra parte, si D → ∞, (i.e. la placa se hace rígida), entonces y → 0, que es la respuesta isostática según el modelo de Bouguer. En otras palabras, lo que la ecuación (2) implica es que si la placa se hace débil, su respuesta a la aplicación de cargas es local y aproxima al modelo isostático de Airy, pero si la placa es rígida, no hay respuesta alguna, lo que se aproxima a la solución planteada por Bouguer; cuando la placa tiene una resistencia finita su respuesta a la aplicación de cargas es la flexión.

Los modelos de flexión pueden ser considerados de dos formas: flexión de una placa continúa y flexión de una placa rota. Desde el punto de vista teórico el concepto de placa rota corresponde a un caso particular de la placa continua, donde la diferencia estriba en que el momento de torsión y la fuerza de cizalla creados por una carga distribuida a lo largo de la placa rota están contrarrestados por fuerzas opuestas ubicadas en la posición de la ruptura de la placa, creándose las condiciones de borde requeridas en la posición del límite que se ha asumido (Hetényi 1946).

Resulta ventajoso, en aras de optimizar los cálculos de flexión, considerar sólo el espectro de las cargas en vez de considerar un conjunto de recuadros o triángulos que representen las cargas en el dominio del espacio, por lo que resulta preferible trabajar con transformadas de Fourier para realizar la conversión de la carga del dominio espacial al espectral.

Las ecuaciones para una placa elástica rota pueden derivarse de las ecuaciones para una placa continua. La expresión en el dominio espectral para la deflexión una placa continua (Banks et al. 1977) es:

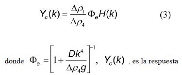
de la placa, en el dominio espectral, a la aplicación de un espectro de cargas H(k), δρ4 , H(k), δρ1 es el contraste de densidad de la carga, δr4 es el contraste de densidad entre el material sobre la placa y el material que rellena la cuenca de flexión, "k" el número de onda y "g" la aceleración de gravedad.

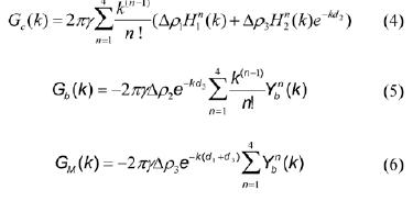
Para calcular el efecto gravitatorio de aire libre producido por la carga y la deflexión de la placa, se utilizan los cuatro primeros términos de la ecuación definida por Parker (1972) para la estimación del efecto producido por dos capas corticales:

donde Gc (k) es el efecto gravitatorio de la carga, Gb (k) corresponde al efecto del basamento, GM (k) al efecto de la discontinuidad de Mohorovicic, δρ1 es la densidad de la carga superficial, δρ2 es el contraste de densidades entre el relleno sedimentario y el basamento, δρ2 es el contraste de densidades entre el basamento y el manto, H1 (k) corresponde a la transformada de Fourier de la carga superficial, H2 (k) corresponde a la transformada de Fourier de la carga subsuperficial, "d1" es la profundidad media a la discontinuidad de Mohorovicic, "d2" es la profundidad media de la carga subsuperficial y "d3" es la profundidad media de la deflexión del basamento.

Es así como el efecto gravimétrico total puede obtenerse mediante:

La importancia del cálculo del efecto gravitatorio en el modelado de la flexión estriba en que existe correspondencia entre los valores positivos de la cupla gravimétrica y la porción de corteza obducida, mientras que los valores negativos están asociados a la deflexión del basamento (Karner & Watts 1983).

MODELADO DE FLEXIÓN EN LA ZONA DE SUBDUCCIÓN OCEÁNICA CARIBE - ATLÁNTICO

La flexión de una placa elástica se produce por el efecto combinado de las cargas tanto superficiales como subsuperficiales; sin embargo, si se asume que la rigidez de flexión es igual para ambas, entonces se puede comprobar que el factor dominante en la flexión está controlado por la carga subsuperficial a la que puede considerarse como carga primaria, por lo que la carga superficial o secundaria tendrá un efecto más restringido (Karner 1982). De igual modo, la flexión de la placa también es sensible a variaciones del espesor elástico "Te" existiendo una relación inversamente proporcional entre la deflexión y el "Te", es decir, para placas con espesores elásticos grandes la deflexión será reducida, mientras que las placas con espesores elásticos pequeños se flexionarán más (Karner & Watts 1983).

El modelado de flexión sobre la zona de subducción Caribe-Atlántico toma en consideración la geometría y densidad de las cargas y mediante un proceso iterativo, se evalúan los distintos espesores elásticos hasta obtener el mejor ajuste de las anomalías gravimétricas y la topografíabatimetría que constituyen los parámetros de control.

Se debe recordar que el límite de la placa está bien definido geográficamente, por lo que las cargas supracorticales son constantes durante el proceso de modelado, del mismo modo los parámetros como densidades y forma de los cuerpos de roca que representan a estas cargas fueron definidos a partir de modelos gravimétricos previos (Bird et al. 1999, Christeson et al. 2008; Ughi 2009; Bezada et al. 2010), quedando así como única variable por determinar el espesor elástico, para lo cual se trazaron tres perfiles de flexión, definidos como perfil norte, perfil central y perfil sur (Figura 2).

Para el perfil norte (Figura 3), el modelo de flexión logró el mejor ajuste de las anomalías mediante una configuración de subducción simple con una carga supracortical (representada en color verde) que emula la placa Caribe. Para facilidad del proceso de modelado se tomó el valor promedio de las densidades de los cuerpos corticales como dato para la densidad de la carga.

Debe hacerse notar que desde el punto de vista del análisis de flexión de placas para la zona de subducción del Atlántico, la carga supracortical principal está representada por la propia placa Caribe, y el espesor elástico que produjo el mejor ajuste es de 12,5 km.

En el perfil central (Figura 4) el prisma de acreción de Barbados se hace presente y se añade como carga supracortical a la placa Caribe. La subducción con estas cargas produce una deflexión de la placa oceánica más pronunciada y alargada para ajustar tanto las anomalías gravimétricas como los valores de batimetría presentes en el área. El espesor elástico que permitió obtener el mejor ajuste para este modelo es de 11 km.

El último modelo a considerar es el perfil sur de la región Atlántica (Figura 1), en donde el prisma de acreción de Barbados está en su máxima extensión y representa una carga supracortical mucho mayor comparado con la del perfil central. La batimetría en la zona también varía sustancialmente como consecuencia de la acumulación de sedimentos del prisma de acreeción.

El modelo de flexión para este caso es similar a los dos casos anteriores, lográndose el mejor ajuste con una emulación de la subducción simple por debajo de la placa Caribe ahora cargada adicionalmente con los sedimentos del prisma de acreeción. El mejor ajuste para el modelo se logró con un espesor elástico de 8,5 km.

Los valores de espesor elástico obtenidos son comparables a los compilados por Watts (2001) a partir de 48 estudios de determinación de espesores elásticos en diferentes partes del mundo.

ANÁLISIS DE RESULTADOS

Los primeros estudios que sugieren la existencia de una relación entre la edad de la carga y la rigidez de flexión se deben a Walcott (1970). Este autor basó su hipótesis en una comparación que realizó con datos provenientes de lagos glaciares (cargas litosféricas de poca edad geológica) y cadenas submarinas e islas volcánicas (cargas litosféricas antiguas). El resultado de su estudio fue que las cargas recientes están asociadas a grandes valores de rigidez flexural, mientras que las islas oceánicas y cadenas submarinas tienen bajos valores de rigidez flexural. Sin embargo, a pesar de ser un estudio pionero se le realizaron varias críticas, una de las más importantes fue el hecho que comparó cargas litosféricas oceánicas contra cargas continentales, y esto indujo a muchos de sus colegas a suponer que las diferencias en la rigidez de flexión se debían a las diferencias inherentes al tipo de carga y al tipo de placa que la sostenía y no al tiempo geológico transcurrido desde el momento de ocurrir el evento de carga.

Watts (1978) llevó a cabo el primer estudio detallado sobre las variaciones del espesor elástico (parámetro que controla la rigidez de flexión) a lo largo de la misma estructura geológica. Este investigador utilizó perfiles de topografía y anomalías del campo gravitatorio a lo largo de la cadena de islas Hawaii-Emperador para modelar el comportamiento mecánico de la placa oceánica del Pacífico como respuesta a la aplicación de las cargas supracorticales representadas por la cadena de islas y la cadena submarina. Sus resultados confirmaron la hipótesis inicial realizada por Walcott (1970), ya que obtuvo valores altos de espesor elástico en el extremo de la cadena de islas donde las cargas tienen una edad reciente y valores bajos de Te en el extremo donde se ubican las cargas más antiguas. La importancia de este estudio es que se realizó sobre una misma estructura geológica que se asienta sobre una placa oceánica que varía en edad tan sólo de 80 a 100 Ma.

Otro aporte crucial que se derivó del estudio realizado por Watts (1978) es que aunque los volcanes que crearon la cadena submarina Emperador, se formaron en una litosfera oceánica de similar edad a la que sirvió de asiento para los volcanes de la cadena Hawaiiana, la edad de la litosfera en el momento de ser cargada a lo largo del Ridge Hawaiiano difería significativamente de la edad de la cadena Emperador. Específicamente, la cadena Hawaiiana de 0 a 5 Ma se formó en un piso oceánico de 75 a 80 Ma, mientras que la cadena submarina Emperador de 50 a 65 Ma de antigüedad se formó cuando el piso oceánico poseía una edad de 13 a 30 Ma. Watts (1978) se graficó estos resultados junto con otros obtenidos para la cadena submarina del Atlántico Central y la trinchera de las Kuriles y se mostró que existe una tendencia general mediante la cual el Te se incrementa en la medida que aumenta la edad de la litosfera al momento de ser cargada.

Estudios posteriores realizados sobre el mismo tenor por Caldwell & Turcotte (1979), Lago & Cazenave (1981) y Calmant et al. (1990) han demostrado que los resultados obtenidos por Watts (1978) son robustos, lo que permite concluir que la litosfera oceánica, en la medida que se enfría y envejece, se hace más rígida en la manera como responde mecánicamente a la aplicación de cargas supracorticales.

Este concepto se ilustra en la Figura 6 donde se muestra un gráfico log-log que relaciona la rigidez flexural con la edad de la placa al momento de ser cargada, contiene datos tanto de cargas continentales como oceánicas y muestra la estrecha relación entre el incremento de la rigidez y el incremento de la edad de la placa.

Al utilizar la relación lineal de la Figura 6 para evaluar el comportamiento de la placa Atlántica ante la aplicación de cargas litosféricas se obtuvo como resultado que la edad de la litosfera oceánica al momento de ser cargada es Oligoce- no Temprano (31,6 Ma) al sur, Cretácico Tardío para el pe- fil central (Campaniense-79,4 Ma) y Cretácico Temprano para el perfil norte (Albiense-100 Ma). Estos resultados se compilan en la Tabla 1 junto con los datos necesarios para calcular la rigidez de flexión a partir del espesor elástico obtenido con los modelos de flexión de placas.

Para validar la calidad de los resultados obtenidos se transfirieron al gráfico de la edad de la placa oceánica al momento de ser cargada en función de los espesores elásticos (Figura 7) Watts (2001).

Los puntos de color negro representan los resultados obtenidos en este estudio cotejados contra 139 estimaciones de espesor elástico publicados en artículos científicos y compilados por Watts (2001). Los datos están referidos a estudios de flexión de placas en distintas zonas del mundo, en donde se evaluaron diferentes tipos de cargas, como por ejemplo, tincheras oceánicas, deltas de ríos, zonas de fracturas, cadenas de islas, volcanes submarinos y cadenas de montañas medio-ocenánicas (Figura 7).

Los resultados muestran que la mayor parte de los espesores elásticos están acotados entre las isotermas de 300° y 600° C, a excepción de algunos casos en la Polinesia Francesa que dan valores menores y algunas zonas de fracturas y trincheras oceánicas que dan valores mayores.

Esto implica que en la medida en que la litosfera oceánica se enfría y envejece se hace más rígida en la manera en que responde a las cargas aplicadas, de manera que las cargas que se forman cerca de anomalías termales (zonas de subducción o expansión oceánica) tendrán un menor espesor elástico (Watts, 2001).

Para el caso de las placas Caribe y Atlántica en la zona de subducción, los valores son cercanos a la isoterma de 300 °C, salvo los resultados obtenidos para la placa Atlántica en el norte que dan valores menores a dicha isoterma. Esto es consistente con los resultados por Watts (2001) para zonas de subducción o expansión oceánicas.

CONCLUSIONES

Los modelos de flexión permitieron estimar el espesor elástico de la placa Atlántica para la zona de subducción y a partir de este resultado estimar la edad de la placa al momento de ser cargada. Los resultados revelan que la placa Atlántica está relajando elásticamente esfuerzos que se aplicaron durante el Cretácico Temprano al norte de la placa, Cretácico Tardío en la zona central y el Oligoceno en la zona sur. Estos resultados permiten sugerir que la placa Atlántica ha sufrido por lo menos dos períodos de carga, el primero durante el Cretácico, probablemente asociado a la formación de la misma placa Caribe y el alto de Aves, y el segundo durante el Paleógeno Tardío que debe estar asociado a la formación del arco volcánico de las Antillas Menores.

AGRADECIMIENTOS

Es menester expresar un especial reconocimiento al Departamento de Geofísica de la UCV y al Laboratorio de Interpretación del Subsuelo, así como al proyecto FONACIT: G-2002000478 por el financiamiento otorgado para realizar esta investigación. Además a los revisores anónimos quienes han contribuido en mejorar el manuscrito sustancialmente.

Referencias

Aitken, T., Mann, P., Escalona, A. & Christeson, G. (2009): Evolution of the Grenada and Tobago basins and implications for arc migration. Marine and Petroleum Geology, pp 1-24.

Audemard, F. (2003): Geomorphic and geologic evidence of ongoing uplift and deformation in the Mérida Andes, Venezuela. Quaternary International, 102-102: 43-65.

Audemard, F. A., Romero, G., Rendon, H. & Cano, V. (2005): Quaternary fault kinematics and strees tensors along the southern Caribbean from fault-slip data and focal mechanism solutions. Earth Science Reviews, 69: 181-233.

Banks, R., Parker, R. & Huestis, S. (1977): Isostatic compensation on a continental scale: Local versus regional mechanisms. Geophysical Journal of the Royal Astronomical Society, 51: 431- 452.

Bezada, M., Magnani, M., Zelt, C., Schmitz, M. & Levander, A. (2010): The Caribbean – South American plate boundary at 65°W: Results from wide – angle seismic data. Journal of Geophysical Research, (15) B08402.

Bird, D., Hall, S., Casey, J. & Millegan, P. (1993): Interpretation of magnetic anomalies over the Grenada Basin. Tectonics, 12 (5): 1267-1279.

Bird, D., Hall, S., Casey, J. & Millegan, P. (1999): Tectonic evolution of the Grenada Basin – In: Mann, P. (ed.), Sedimentary Basins of the World, Caribbean Basins, pp 389-416.

Bouysse, P. (1979): Caractères morphostructuraux et evolution géodynamique de l‘arc insulaire des Petites Antilles. Bull. Rech. Geol. Min., 3 (4): 185-210.

Bouysse, P. (1984): The Lesser Antilles island arc: structure and geodynamic evolution – In: Biju- Duval, B. & Moore, J. (ed.), Init. Repts. DSDP, 78A: Washington (U.S. Gov. Printing Office), pp 83-103.

Bouysse, P. (1988): Opening of the Grenada back-arc basin and evolution of the Caribbean plate during the Mesozoic and early Paleogene. Tectonophysics, 149:121-143.

Bouysse, P & Guennoc, P. (1983): Données sur la structure de l‘arc insulaire des Petites Antilles, entre Ste. Lucie et Anguilla. Mar. Geol., 53: 131-166.

Bouysse, P, Andreieff, P., Richard, M., Baurbron, J., Mascle, A, Maury, R. & Westercamp, D. (1985): Gèologic de la ride d‘Aves et des pentes sous-marines du nord des Petites Antilles. Esquisse bathymétrique à de l‘Est-Caribe. Doc. B.R.G.M., 93.

Bouysse, P., Westercamp, D. & Andreieff, P. (1990): The Lesser Antilles island arc – In: Moore, J. & Mascle, A. (ed.), Proceedings of the ocean drilling program, scientific results, 110: 29-44.

Burke, K., Fox, P. & Sengor, A. (1978): Buoyant ocean floor and the evolution of the Caribbean. Journal of Geophysical Research, 83: 3949-3954.

Burke, K., Cooper, C., Dewey, J., Mann, P. & Pindell, J. (1984): Caribbean tectonics and relative plate motions – In: Bonini, W., Hargraves, R. & Shagam, R. (ed.), The Caribbean-South American plate boundary and regional tectonics. Geological Society of America, Memoir 162: 31-63.

Caldwell, J. & Turcotte, D. (1979): Dependence of the thickness of the elastic oceanic lithosphere on age. Journal of Geophysical Research, 84: 7572-7576.

Calmant, S., Francheteau, J. & Cazenave, A. (1990): Elastic layer thickening with age of the oceanic lithosphere. Geophys. J., 100: 59-67.

Christeson, G., Mann, P., Escalona,A. &Aitken, T. (2008): Crustal structure of the Caribbean-northeastern South America arc-continent collision zone. Journal of Geophysical Research, (113) B08104: 1-19.

Clark, T., Korgen, B. & Best, D. (1978): Heat flow in theeastern Caribbean. Journal of Geophysical Research, 83 (B12): 5883-5891.

Cox, C. (1991): A superplume in the mantle. Nature, 352: 564- 565.

Diebold, J., Stoffa, P., Buhl, P. & Truchan, M. (1981): Venezuelan basin crustal estructure. Journal of Geophysical Research, 86 (B9): 7901- 7923.

Dorel, J. (1978): Sismicité et structure de l‘arc des Petites Antilles et du basin atlantique (Trabajo de Grado). University of Paris, Paris.

Duncan, R. & Hargraves, R. (1984): Plate tectonic evolution of the Caribbean region in the mantle reference frame - In: Bonini, W., Hargraves, R. & Shagam, R. (ed.), The Caribbean – South America Plate Bondary and Regional Tectonics, Geological Society of America, Memoir 162, 81- 93.

Edgar, N., Ewing, J. & Hennion, J. (1971): Seismic refraction and reflection in Caribbean Sea. American Association of Petroleum Geologists Bulletin, 55: 833- 870.

Fink, L. (1972): Bathymetric and geologic studies of the Guadeloupe region. Lesser Antilles arc. Marine Geology, 12 (4): 267-288.

Fox, J. & Heezen, B. (1975): Geology of the Caribbean crust – In: Nairn, A. & Stehli, F. (ed.), The ocean basins and margins, (Vol. 3) New York, pp 421-466.

Fox, J. Schreiber, E. & Heezen, B. (1971): The geology of the Caribbean crust: Tertiary sediments, granitic and basic rocks from the Aves Ridge. Tectonophysics, 12: 89-109.

Freymueller, J. T., Kellogg, J. N. & Vega, V. (1993): Plate motions in the north Andean region. Journal of Geophysical Research, 98: 21853-21863.

Grazón, Y. & Ughi, A. (2008): Modelado geodinámico por medio del análisis de flexión de placas en la región nor-occidental de Venezuela. XIV Congreso Venezolano de Geofísica, memorias en CD.

Hetényi, M. (1946): Beams on elastic foundation. University of Michigan Press, Ann Arbor.

Houtz, R. & Ludwig, W. (1977): Structure of the Colombia Basin, Caribbean Sea, from profiler sonobuoy measurements. Journal of Geophysical Research, 82: 4861- 4867.

Jácome, M. I., Kusznir, N., Audemard, F. & Flint, S. (2003a): The formation of the Maturin Foreland Basin, Eastern Venezuela: Thrust sheet loading or subduction dynamic topography, Tectonics, 22 (5): 1-17.

Jácome, M. I., Kusznir, N., Audemard, F. & Flint, S. (2003b): Tectono-stratigraphic evolution of the Maturin

Foreland Basin: Eastern Venezuela – In: Bartolini, C., Buffler, R. & Blickwede, J. (eds.), The Circum-Gulf of Mexico and the Caribbean: Hydrocarbon habitats, basin formation and plate tectonics. AAPG Memoir 79: 735-749.

Karner, G. (1982): Spectral Representation of Isostatic Models. BMR Journal of Australian Geology and Geophysics, 7: 55- 62.

Karner, G. & Watts, A. (1983): Gravity Anomalies and Flexure of the Lithosphere at Mountain Ranges. Journal of Geophysical Research, 88 (B12): 10.449-10.477.

Kellogg, J. & Vega, V. (1995): Tectonic development of Panama, Costa Rica and Colombian Andes: Constraints from Global Positioning System geodetic studies and gravity. Special Paper-Geological Society of America, 295: 75-90.

Ladd, J. & Watkins, J. (1980): Seismic stratigraphy of the Western Venezuela Basin. Marine Geology, 35: 21-41.

Lago, B. & Cazenave, A. (1981): State of stress in the oceanic lithosphere in response to loading. Geophysical Journal of the Royal Astronomical Society, 64: 785-799.

Larson, R. (1991): Latest pulse of the earth: evidence for mid-Cretaceous superplume. Geology, 19: 547-550.

Marsh, B. (1979): Island arc development: some observations, experiments and speculations. Journal of Geology, 87: 687-713.

Martín-Kaye, P. (1969): A summary of the geology of the Lesser Antilles. Overseas Geol. Mineral. Res. G.B., 10 (2): 172-206.

Mauffret, A. & Leroy, S. (1997): Seismic stratigraphy and structure of the Caribbean igneous province. Tectonophysics, 283: 61-104.

Meschede, M. & Frisch, W. (1998): A plate-tectonic model for the Mesozoic and Early Cenozoic history of the Caribbean plate. Tectonophysics, 296: 269-291.

Minster, J. & Jordan, T. (1978): Present day plate motions. Journal of Geophysical Research, 83: 5331-5354.

Nagle, F. (1972): Rocks from the seamounts and escarpments of the Aves ridge. Trans. 6th Carib. Geol.Conf., Margarita, Venezuela, pp 409-413.

Nishimura, C. & Forsyth, D. (1989): The anisotropic structure of the upper mantle in the Pacific. Geophysical Journal, 96: 203-229.

Officer, C., Ewing, J., Hennion, J., Harkinder, D. & Miller, D. (1959): Geophysical investigations in the eastern Caribbean – Summary of the 1955 and 1956 cruises, in Ahrens. Physics and Chemistry of the Earth, Pergamon, New York, 3: 17-109.

Parker, P. (1972): The rapid calculation of potential anomalies. Geophysical Journal of the Royal Astronomical Society, 31: 447- 455.

Palma, M., Audemard, F. & Romero, G. (2010): Nuevos mecanismos focales para Venezuela y areas vecinas 2005-2008: importancia de la densificación y distribución de la Red Sismológica Nacional. Revista Técnica de Ingeniería Universidad del Zulia, 33 (2): 1-14.

Pennington, W. (1981): Subduction of the eastern Panama Basin and Seismotectonics of northwestern South America. Journal of Geophysical Research, 86:10753- 10770.

Pérez, O., Bilham, R., Bendick, R., Velandia, J., Hernández, N., Moncayo, C., Hoyer, M. & Kozuch, M. (2001): Velocity field across the southern Caribbean plate Boundary and stimates of Caribbean/South- American plate motion using GPS geodesy 1994 -2000. Gephysical Research Letters, 28: 2987-2990.

Pindell, J. & Dewey, J. (1982): Permo-Triassic reconstruction of western Pangea and the evolution of the Gulf of Mexico-Caribbean region. Tectonics, 1 (2):179-212.

Pindell, J. & Barrett, S. (1990): Geological evolution of the Caribbean region: A plate tectonics perspective – In: Dengo, G. & Case, J. (eds.) The Caribbean Region (The geology of North American, vol. H), Geological Society of America, Boulder, CO., pp 339-374.

Ranneft, T. (1976): Understanding segmentation of island arcs aids exploration. Oil & Gas Journal, 15:114-118.

Schubert, C. (1988): Neotectonics of the La Victoria fault zone, north central Venezuela. Anales Tectonicae,2: 58-66.

Silver, E., Case, J. & Macgillavry, H. (1975): Geophysical study of the Venezuelan Borderland. Bulletin of the Geological Society of America, 86: 213-226.

Speed, R. & Westbrook, G. (1984): Lesser Antilles Arc and adjacent terrains. Ocean Margin Drilling Program Regional Atlas Series, vol. 10, 27 plates, Mar. Sci. Int. Woods Hole, MA.

Stephan, J., Mercier de Lepinay, b., Calais, E., Tardy, M., Beck, C., Carfantan, J., Thery, J., Tournon, J., Blanchet, R. & Dercourt, J. (1990): Paleogeodynamic maps of the Caribbean: 14 steps from Lias to Present. Bull. Soc. Géol. Fr., 8 (6): 915-919.

Stoiber, R. & Carr, M. (1973): Quaternary volcanic and tectonic segmentation of Central Americas. Bulletin of Volcanology, 37 (3): 304-323.

Sykes, L., McCann, W. & Kafka, A. (1982): Motion of the Caribbean plate during the last 7 million years and implications for earlier Cenozoic movements. Journal of Geophysical Research, 87: 10656- 10676.

Tomblin, J. (1975): The Lesser Antilles and Aves ridge – In: Narín, A. & Stehli, F. (ed.), The Ocean Basins and Margins (Vol. 3), New York, pp 467-500.

Trenkamp, R., Kellogg, J., Freymueller, J. & Mora, H. (2002): Wide plate margin deformation, southern Central America and north-western South America, CASA GPS observations. Journal of South American Earth Science, 15: 157-171.

Uchupi, E. (1975): Physiography of the Gulf of Mexico and Caribbean Sea – In: Narín, A. & Stehli, F. (ed.), The Ocean Basins and Margins (Vol. 3), New York, pp 1-64.

Ughi, A. (2002): Modelaje geofísico integrado de la región central de Venezuela por medio del análisis de flexión de placas en la sección 67° 00‘ W. (Trabajo Especial de Grado). 206 p. Departamento de Geofísica, U.C.V., Caracas.

Ughi, A. (2009): Modelado geofísico integrado en la zona de subducción activa del arco de islas de las Antillas Menores. (Trabajo de Grado de Maestría).101 p. Escuela de Matemática, U.C.V., Caracas.

Ughi, A., Reyes, J. & Rodríguez, I. (2004): Modelado geodinámico por medio del análisis de flexión de

Van der Hilst, R. (1990): Tomography with P, PP and pP delay-time data and the three-dimensional mantle structure below the Caribbean region. Geol. Ultraiectina, 67, p 250.

Walcott, R. (1970): Flexural rigidity, thickness and viscosity of the lithosphere. Journal of Geophysical Research, 75: 3941- 3954.

Watts, A. B. (1978): An analysis of isostasy in the world´s oceans: Hawaiian-Emperor Seamount Chain. Journal of Geophysical Research, 83: 5989-6004.

Watts, A. B. (2001): Isostasy and flexure of the lithosphere.Cambridge University Press, 1fst Edition, p 480.

Watts, A., Karner, G. & Steckler, M. (1982): Lithosphere flexure and the evolution of sedimentary basins – In: Kent, P., Bott, M., McKenzie, D. & Williams, C. (eds), The Evolution of Sedimentary Basins, Volumen 305 A, Phil. Trans. R. Soc. Lond., pp 249-281.

Weber, G., Dixon, T., DeMets, C., Ambeh, W., Jansma, P., Mattioli, G., Saleh, J., Sella, G., Bilham, R. & Pérez, O. (2001): GPS estimate of relative motion between the Caribbean and South American plates, and geological implications for Trinidad and Venezuela. Geology, 29 (1): 75-78.

Ysaccis, R. (1997): Tertiary evolution of the northeastern Venezuela offshore. (Tesis Doctoral). p 285. Rice University, Houston, Texas.

Cómo citar

APA

Ughi, A. (2011). Flexión litosférica en la zona de subducción oceánica Caribe-Atlántico: características elásticas y edad de las placas. Geología Colombiana, 36, 73–90. https://revistas.unal.edu.co/index.php/geocol/article/view/22457

ACM

[1]
Ughi, A. 2011. Flexión litosférica en la zona de subducción oceánica Caribe-Atlántico: características elásticas y edad de las placas. Geología Colombiana. 36, (ene. 2011), 73–90.

ACS

(1)
Ughi, A. Flexión litosférica en la zona de subducción oceánica Caribe-Atlántico: características elásticas y edad de las placas. Geología Colombiana 2011, 36, 73-90.

ABNT

UGHI, A. Flexión litosférica en la zona de subducción oceánica Caribe-Atlántico: características elásticas y edad de las placas. Geología Colombiana, [S. l.], v. 36, p. 73–90, 2011. Disponível em: https://revistas.unal.edu.co/index.php/geocol/article/view/22457. Acesso em: 28 dic. 2025.

Chicago

Ughi, Antonio. 2011. «Flexión litosférica en la zona de subducción oceánica Caribe-Atlántico: características elásticas y edad de las placas». Geología Colombiana 36 (enero):73-90. https://revistas.unal.edu.co/index.php/geocol/article/view/22457.

Harvard

Ughi, A. (2011) «Flexión litosférica en la zona de subducción oceánica Caribe-Atlántico: características elásticas y edad de las placas», Geología Colombiana, 36, pp. 73–90. Disponible en: https://revistas.unal.edu.co/index.php/geocol/article/view/22457 (Accedido: 28 diciembre 2025).

IEEE

[1]
A. Ughi, «Flexión litosférica en la zona de subducción oceánica Caribe-Atlántico: características elásticas y edad de las placas», Geología Colombiana, vol. 36, pp. 73–90, ene. 2011.

MLA

Ughi, A. «Flexión litosférica en la zona de subducción oceánica Caribe-Atlántico: características elásticas y edad de las placas». Geología Colombiana, vol. 36, enero de 2011, pp. 73-90, https://revistas.unal.edu.co/index.php/geocol/article/view/22457.

Turabian

Ughi, Antonio. «Flexión litosférica en la zona de subducción oceánica Caribe-Atlántico: características elásticas y edad de las placas». Geología Colombiana 36 (enero 1, 2011): 73–90. Accedido diciembre 28, 2025. https://revistas.unal.edu.co/index.php/geocol/article/view/22457.

Vancouver

1.
Ughi A. Flexión litosférica en la zona de subducción oceánica Caribe-Atlántico: características elásticas y edad de las placas. Geología Colombiana [Internet]. 1 de enero de 2011 [citado 28 de diciembre de 2025];36:73-90. Disponible en: https://revistas.unal.edu.co/index.php/geocol/article/view/22457

Descargar cita

Visitas a la página del resumen del artículo

893

Descargas

Los datos de descargas todavía no están disponibles.