EVALUACIÓN COMPARATIVA DE MÉTODOS DE CÁLCULO DE RECARGA EN AMBIENTES DE LLANURA. LA LLANURA INTERSERRANA BONAERENSE (ARGENTINA), COMO CASO DE ESTUDIO.
EVALUACIÓN COMPARATIVA DE MÉTODOS DE CÁLCULO DE RECARGA EN AMBIENTES DE LLANURA. LA LLANURA INTERSERRANA BONAERENSE (ARGENTINA), COMO CASO DE ESTUDIO
COMPARATIVE ASSESSMENT OF RECHARGE ESTIMATION METHODS IN PLAIN ENVIRONMENTS. THE INTER-MOUNTAINOUS PLAIN (ARGENTINA) AS A CASE STUDY
ORLANDO MAURICIO QUIROZ LONDOÑO
Dr en Ciencias Geológicas. CONICET. Universidad Nacional de Mar del Plata. Investigador Asistente. qlondono@mdp.edu.ar
DANIEL EMILIO MARTINEZ
Dr en Ciencias Geológicas. CONICET - Universidad Nacional de Mar del Plata. Investigador Independiente. demarti@mdp.edu.ar
HECTOR ENRIQUE MASSONE
Dr en Ciencias Geológicas. Universidad Nacional de Mar del Plata. Docente investigador. hmassone@mdp.edu.ar
Recibido para revisar Junio 10 de 2011, aceptado Noviembre 28 de 2011, versión final Diciembre 12 de 2011
RESUMEN: La recarga de un acuífero puede ser entendida como un proceso en el cual una porción laprecipitación infiltra en el suelo, drena a través del perfil no saturado y pasa a formar parte del agua subterránea. La determinación y cuantificación de este parámetro es de vital importancia para la planificación y gestión de los recurso hídricos. El objetivo de este trabajo es estimar los valores de recarga al acuífero pampeano en un sector de la llanura interserrana bonaerense mediante la aplicación de 4 metodologías diferentes, usando para esto datos hidroclimatológicos, químicos e hidrogeológicos. Las valores de recarga encontradas varían entre 9 y 21% del total de la precipitación con un valor medio total de 14%. Se discute en este trabajo sobre las ventajas y desventajas de las diferentes metodologías y se comparan sus resultados.
PALABRAS CLAVE: Acuífero, recarga, llanura pampeana, nivel freático.
ABSTRACT: Groundwater recharge can be understood as the process where rainwater infiltrates into the soil, travelling through the unsaturated zone and reaching the aquifer. Identification and quantification of this parameter is of vital importance for planning and managing water resources. The aim of this paper is to quantify the recharge rate in the Inter-mountainous Pampa Plain by using 4 different methods including hydrometeorological, chemical and hydrogeological data. The recharge values range from 9 to 21% of the total rainfall with a mean value of 14%. Major advantages, disadvantages and results of the different methodologies are discussed.
KEYWORDS: groundwater, recharge, pampean plain, phreatic level.
1. INTRODUCCIÓN
Se entiende por recarga o infiltración eficaz el agua que atraviesa el limite inferior de la zona no saturada, llega al acuífero y produce ascensos medibles del nivel freático [1]. En el medio natural la recarga se da por el aporte de fuentes superficiales, o a partir de la infiltración del agua lluvia y su posterior percolación [2]. En forma general los métodos para calcular este parámetro puede dividirse en 4 grandes grupos: método de balance de agua, métodos basados en estudios de aguas superficiales, métodos de zona no saturada y métodos de zona saturada. Elegir la metodología apropiadas es a menudo difícil, especialmente por la necesidad de considerar la variación espacio - temporal, el rango y la fiabilidad de los datos usados para cada técnica [3].
La llanura que se extiende entre las Sierras Septentrionales (Tandilia) y las Sierras Australes (Ventania) de Argentina, es denominada Llanura Interserrana Bonaerense [4]. Las características climatológicas, geológicas y geomorfológicas de esta llanura permiten el desarrollo de suelos de alta productividad agrícola, lo que la convierte en una de las zonas de mayor desarrollo agrícola del país. Dicha actividad es altamente dependiente de la disponibilidad del recurso hídrico tanto superficial como subterráneo [5-6-7]. Debido especialmente a las bajas pendientes que dominan esta región, los movimientos verticales del agua prevalecen sobre los horizontales, siendo la evaporación e infiltración factores dominantes en el balance hidrológico [8].
El objetivo de este trabajo es estimar las tasa de recarga de un sector de la llanura interserrana bonaerense utilizando diferentes metodologías. Para esto fueron seleccionados el método de balance de agua, método de balance de cloruros, variación de nivel freático y variación de la superficie freática. Se utilizaron para esto datos piezométricos, hidroquímicos e hidroclimatológicos.
Trabajos de estimación de recarga realizados en este acuífero en diferentes zonas del país han sido realizados. Para la zona de Rafaela y Oliveros (provincia de Santa Fé) [9], estiman recargas difusas variables entre 15% y 10% del total de la precipitación. En la referencia [10], para la misma zona pero utilizando series de tiempo más largas ajustan la recarga a valores entre el 8.7% y 13.8 %. Para la zona de Azul (Provincia de Buenos Aires) se establecen valores de recarga variables entre 12% y 20%, con un valor máximo de 54% [11]. En el caso de cuenca del Río Quequén Grande (RQG) se estima una recarga del 10% de la precipitación [12].
2. GENERALIDADES
El área de estudio se encuentra ubicada en el sector sureste de la Llanura Interserrana Bonaerense entre los 38°39`34` y 37°34'23'' de latitud Sur y los 59°6`50``y 58°16`28`` de longitud Oeste, con una elevación máxima de 420 msnm (Figura 1). El clima es subhúmedo - seco, con nulo o pequeño exceso de agua a los efectos agronómicos y conforme a su eficiencia térmica, de tipo mesotermal “B2” [13]. Los valores anuales de precipitaciones se encuentran entre 698 y 1289 mm/año para los últimos 14 años con un promedio de 907 mm/año. Los mayores valores de precipitación se encuentran entre los meses de septiembre y marzo.

Figura 1. Localización del area de estudio
El escurrimiento superficial es esta zona es encauzado por tres arroyos principales de bajo caudal que se originan en las sierras de Tandilia (Figura 1), ellos son el Arroyo El Moro que se extiende hacia el sur hasta desembocar en el Océano Atlántico y los Arroyos Tamangueyú y Seco que con dirección noroeste vierten sus aguas al RQG.
La estratigrafía del área está definida en forma general por tres grandes unidades. Un basamento cristalino compuesto por rocas metamórficas (Gneis, Anfibolitas y Migmatitas principalmente), diques básicos y granitóides [14], que constituyen la base de las sierras de Tandilla (Figura 1). Sobre esta unidad, se localiza en forma discordante la Cubierta Sedimentaria Precámbrica - Paleozoica Inferior compuesta por una secuencia siliciclástica de arenitas y sabulitas asociadas a niveles arenosos correspondiente a la Formación Balcarce [15]. Estas rocas conforman las sierras localizadas al norte del área las cuales son limitadas y controladas por fallas de alto ángulo [16]. Suprayaciendo el basamento, se encuentra la formación compuesta por los sedimentos Pampeanos y Postpampeanos. Los primeros asociados al Plioceno inferior - Pleistoceno superior, son los de mayor extensión y espesor de la zona. Están constituidos por material limoso que predomina sobre arenas y arcillas con proporciones variables de carbonato de calcio (tosca); presentan una estratificación poco definida y aspecto masivo, siendo su compactación mayor cuando hay carbonato de calcio. Por su parte, los sedimentos Postpampeanos (Pleistoceno superior - Holoceno) de menor extensión y espesor que los anteriores se restringen a zonas altas en los interfluvios. Están conformados por sedimentos arenosos, limosos, arcillosos, calcáreos, conchiles, de origen fluviolacustre, eólicos y marinos [17].
El acuífero presente en la zona es de carácter libre y está constituido por sedimentos Pampeanos y Postpampeanos, con algún grado de semiconfinamiento a profundidad [18]. El basamento hidrogeológico está conformado por las ortocuarcitas de la formación Balcarce que afloran en las sierras que limitan la zona al norte y/o por rocas ígneo - metamórficas del basamento cristalino precámbrico. Según las perforaciones efectuadas en la zona, el espesor del acuífero es mayor a los 100 metros [19].
El modelo 7hidrogeológico conceptual planteado para este sector del acuífero pampeano establece que la recarga se debe exclusivamente a la infiltración de agua de lluvia [19], la cual es favorecida por el predominio de los movimientos verticales en el acuífero y es a su vez definida por su distribución espacial y las características geomorfológicas, geológicas, hidrogeológicas, de uso y tipo de suelo. Son estas últimas características las que en última instancia determinan o no el paso del agua hacia la zona saturada.
Los valores de porosidad eficaz calculados para el acuífero pampeano son escasos, en la referencia [20] en la zona de La Plata define un rango entre 5 y 10%. Para el partido de Tandil se estiman valores de 10% [21]. En las referencias [9] y [10] encuentran valores inferiores al 10% para la zona de Rafaela y Olivos.
La distribución de las isopiezas determina la existencia de un flujo regional que se origina en el sector Norte hasta una zona de descarga general al Sur (Figura 1). La homogeneidad y equidistancia de las isopiezas no muestran cambios de permeabilidad importante en el acuífero, salvo en el contacto entre el sector serrano y la zona de llanura.
3. METODOLOGIA
El primer método utilizado fue el de balance hídrico edáfico según el método de Thornthwaite y Matter [22]. Este método permite estimar el valor mensual de la humedad del suelo, la ETPR y la escorrentía a partir de registros de precipitacion y evapotranspiración potencial (EVTP). Considera como única entrada al sistema la precipitación y como salidas la evapotranspiración y la escorrentía. Esta última, mínima debido al bajo gradiente topográfico. En áreas similares a la estudiada en este trabajo [23], define valores de 4% del total de lluvia como valor de la escorrentía superficial.
El método relaciona la temperatura media mensual y la evapotranspiración potencial para un mes de 30 días y 12 horas de luz mediante la expresión:

El valor de a se calcula mediante la expresión:

I es la suma de los valores de i (índice mensual de calor) para los doce meses del año.

El valor de la EVTP mensual fue corregido en función del número de días del mes y del número de horas de insolación teórica.
Para aplicar este método fueron utilizados los datos de las estaciones El Moro Viejo (LMV), San Manuel (LSM), San Cayetano (LSC) y La Ventura (LLV) (Figura 1). Dichas estaciones fueron georeferenciadas utilizando un GPS Garmin Etrex Vista. La información recopilada abarca datos de precipitación diaria y temperaturas máximas y mínimas. El análisis de precipitación y temperatura abarca un periodo de tiempo de 10 años (1995 - 2005), el cual es coincidente en la mayoría de las estaciones.
El segundo método aplicado fue el de balance de cloruros descrito por [26]. Este método considera la relación existente entre el contenido del ión cloruro en el agua lluvia y el agua de la parte más superficial del acuífero con buenos resultados en zonas llanas [24]. Este método parte de la siguiente ecuación:

Donde: I: infiltración, P: Precipitación, Es: Escorrentía superficial, E: Evaporación
Involucrando en esta formula las concentraciones de cloruros del agua lluvia (Cp), concentración de cloruros en agua subterránea (Ci), El contenido de cloruros aportado por el suelo y/o artificialmente (as), valores de cloruros retenidos por la vegetación (av) y los cloruros devueltos por la misma al morir (a'V). Los dos primeros en partes por millón (ppm) y los últimos en gr/m2/año. Determinando la siguiente ecuación:

Donde se deduce que el coeficiente de infiltración será:

Para aplicar la formula anterior se tuvieron en cuenta varios factores. El primero, que la zona que involucra los puntos de muestreo tiene un gradiente topográfico muy cercano a cero, por lo cual la escorrentía superficial es despreciable. En segundo lugar se considera que, acorde al conocimiento mineralógico que se tiene del acuífero, as= 0. Se considera además que av=a'v, debido a que existe un equilibrio entre la materia orgánica viva y en descomposición por no tratarse de un sector cultivado intensamente. Todo lo anterior restringe el balance de cloruros a la siguiente relación:

Esta última formula fue la empleada para realizar los cálculos de recarga. Los datos utilizados para su aplicación fueron obtenidos en las estaciones de lluvia SLM y SLC. Para el caso del agua subterránea se utilizaron 5 muestras obtenidas del pozo G071, ubicado dentro del área de influencia de las estaciones LSM y SLC (figura 1). Todos las determinaciones de este ión fueron realizadas en el laboratorio de de hidrogeoquímica de la Universidad Nacional de Mar del Plata, utilizando para su determinación el método de Mhor.
El tercer método aplicado fue el de variación de nivel freático (VNF) descrito en [25]. Este método es sencillo, de bajo costo y aplicable a acuíferos freáticos poco profundos, con respuesta rápida de los niveles freáticos a los fenómenos de recarga. Es uno de los métodos más utilizados para estimar la entrada de agua a este tipo de acuíferos. Requiere para su aplicación, la estimación previa del coeficiente de almacenamiento específico y mediciones temporales de nivel.
El cálculo de la recarga con esta metodología, parte de un modelo de balance del agua subterránea para la cuenca [26]. Puede ser simplificado de la siguiente manera:

Los últimos dos términos de la ecuación incluyen los pozos de bombeo y/o recarga existentes en la zona para la cual se realiza el balance.
El método de VNF se basa en la premisa de que aumentos en la superficie freática en acuíferos libres se deben a la incorporación de agua procedente desde la superficie. El cálculo de la recarga según este método es definido por la siguiente expresión matemática:

Esta ecuación asume que toda el agua que ingresa a la tabla de agua llega inmediatamente al almacenamiento y que todos los otros componentes de la ecuación general de recarga son cero durante el tiempo de recarga, por lo que el tiempo es critico en el éxito del método [25]. La información utilizada en este método corresponde a 4 pozos ubicados dentro de la estancia El Moro Viejo (Figura 1). Aunque se cuenta con mediciones desde el mes de enero del 2003 hasta enero de 2006, se seleccionaron los datos comprendidos entre noviembre del 2003 y diciembre de 2004, periodo durante el cual no se efectuaron extracciones. Las mediciones fueron realizadas con una periodicidad semanal, quincenal y en algún caso mensual, siempre en todos los pozos. La valoración de la recarga se realiza estimando el valor de
, el cual obedece a la diferencia entre el pico más alto del hidrograma y un punto extrapolado desde la curva de descenso anterior, para cada lapso de tiempo seleccionado [25].
El último método utilizado fue el de variación de la superficie freática (VSF). Este método evalúa la recarga mediante la variación volumétrica existente entre superficies freáticas consecutivas en el tiempo. Para esto se seleccionaron los tres pozos más cercanos con registro continuo. Se utilizaron las mismas mediciones utilizadas en la metodología anterior, 26 datos por pozo en total. Para cada una de las fechas se construye una superficie piezométrica utilizando el software Surfer 8.0 [27], aplicando el método de triangulación con interpolación lineal. Se eligió este algoritmo, debido a que el mismo, durante su ejecución conserva los valores reales medidos. Después de obtener las 26 superficies piezométricas, se calcularon los volúmenes existentes entre superficies consecutivas en el tiempo. Para este proceso el programa utiliza tres métodos, la regla trapezoidal, la regla trapezoidal de Simpson y la regla trapezoidal 3/8 de Simpson [27]. Dichos métodos corresponde a formulas de integración que calculan el volumen contenido entre dos superficies definidas por grillas con iguales límites geográficos.
El resultado obtenido de cada una de estas iteraciones es dado en dos volúmenes, que al ser multiplicados por un valor de porosidad eficaz se convierte en volumen que entra o sale del acuífero. El volumen positivo, se asocia a la zona donde la superficie más antigua se encuentra por encima de la más reciente, que para el caso de estudio corresponde al descenso del nivel freático, es decir una salida de agua del sistema. En segundo lugar se determina un volumen negativo el cual es calculado cuando la superficie más reciente sobre pasa la más antigua, lo que se puede interpretar en este análisis como recarga al acuífero
3. RESULTADOS
3.1 Método de Balance hídrico a nivel Edáfico
Los valores promedios de precipitación y evaporación se muestran en la figura 2. Con estos datos se determinó una recarga promedio de 18,4% para los últimos 10 años. Si se discriminan por áreas de influencia de las dos estaciones de temperatura de la cual se tienen datos diarios para el mismo periodo de tiempo, se tendría en el sector serrano (estaciones LSM y LSC) un recarga de 21,1% y en la zona distal de la cuenca (estación LMV), un valor de 13,71%, lo que en lámina de agua equivaldría a 173,69 mm, 200,12 mm y 129,42 mm anuales, respectivamente.

Figura 2. Precipitación y evapotranspiración media mensual (1995 - 2005)
3.2 Método de Balance de Cloruros
Los valores empleados en esta metodología se ilustran en la Tabla (1). Los resultado encontrados utilizando el valor promedio de todas las mediciones indica una recarga promedio de 14,9 % de la precipitación. Si se toman los valores de muestras coincidentes en el tiempo, Septiembre y Diciembre del 2005, los valores de recarga obtenidos fueron 10.47 % y 16.67% respectivamente.
Tabla 1. Concentración de cloruros (mg/l)

3.3 Método VNF
La variación media de los niveles y la precipitación diaria en la misma zona sur del área de estudio, puede observarse en la figura 3. Con los datos de
tabulados y asumiendo una porosidad eficaz de 10% [20], se calcularon los valores de recarga en milímetros para cada mes y el porcentaje de precipitación que llega al acuífero.

Figura 3. Variación promedio del nivel freático y precipitación diaria
El análisis de esta información, indica una recarga de 140 mm, equivalentes al 17% de la precipitación total. Los mayores valores de recarga se registran entre los meses de julio y septiembre del 2004, los menores ingresos al sistema se registran durante los meses de Enero, Febrero, Marzo y Noviembre del 2004 (Figura 4).

Figura 4. Variación temporal de la recarga usando el método VTF
3.4 Método de Variación de la Superficie Freática
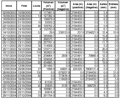
Con los datos definidos en la Tabla (2) se calculó el volumen total entre las superficies, que al ser multiplicado por un valor de porosidad eficaz, se convierte en volumen de agua que ha salido del acuífero en el caso de ser positivo o de entrada al acuífero en el caso de ser negativo. Estos datos fueron comparados con los valores de precipitación total para cada uno de los intervalos de tiempo analizados. Los cálculos fueron realizados para un área de 2.2 km2, obteniendo un valor de recarga de 89,4 mm, equivalentes al 9% de la precipitación total utilizando una porosidad eficaz de 10%.
Tabla 3. Variación de volumen entre superficies piezométricas

Estos resultados permite establecer como los meses con mayor recarga al acuífero los comprendidos entre Octubre - Noviembre del 2003 y Julio - Septiembre del 2004. Se puede observar también como durante los meses de verano, donde hay mayor aporte de lluvias los valores de disminución en el nivel freático son igualmente mayores. Esta metodología permitió además estimar un volumen de 0.48 hm3 de agua que ha salido del acuífero.
4. DISCUSIÓN
Las diferentes técnicas empleadas para estimar el valor de la recarga efectiva presentan valores variables entre 9% y 21,2% del total de precipitación. Los valores extremos fueron obtenidos mediante las técnicas de VSF y balance edáfico respectivamente.
El método de balance hídrico a nivel edáfico se aplicó en dos zonas distintas, encontrando resultados que difieren en un total de en un 7.29% de la recarga. Tal diferencia es ocasionada por la variación de temperatura entre las estaciones, teniendo siempre mayores temperaturas en cercanías a la costa. Lo anterior sugiere un variación espacial de la recarga.
El método de VSF indica la tasa de recarga más baja. Esto se debe a que este método no tiene en cuenta las recargas que se generan cuando el nivel freático tiende al descenso, y se limita solo a cuantificar la entrada al sistema durante los periodos en que los niveles tienden a ascender. Los valores encontrados con esta metodología son acordes a los reportados por [12] para la cuenca del Río Quequén Grande.
Los valores logrados por los métodos de Balance de Cloruros y VNF fluctúan en un rango más cerrado (14,9% - 17%). Los datos utilizados para el balance de cloruros son variables en el tiempo, aunque la concentración promedio del ión para las dos estaciones de muestreo de agua de lluvia es similar. Este método involucra valores medios de recarga para un lapso de tiempo que no correspondería a las tomas puntuales en el agua subterránea. Por lo que es más adecuado tomar el valor promedio de concentración en el agua lluvia (10.4 mg/l).
En los hidrogramas utilizados para el método de VNF se observa una respuesta rápida del acuífero ante eventos extremos de precipitación, siendo más notoria cuando dichos eventos son precedidos por lluvias menos intensas y la humedad en el suelo es alta. En general el acuífero presentó un descenso en los primeros meses de monitoreo. Esto se debe posiblemente a que el acuífero se encuentra retornando a su nivel normal acorde a las precipitaciones regionales después de un evento de inundación ocurrido a finales del año 2002. Pese a esto las pulsos de recarga fueron definidos y cuantificados. En los meses de primavera y verano, cuando las temperaturas comienzan a ser mayores, la evaporación comienza a exceder a la precipitación ocurriendo un descenso en el nivel del agua en el acuífero interpretado como una descarga natural del mismo.
Las bajas pendientes que se presenta en la zona, permiten realizar una simplificación de la ecuación de balance de donde parten de las distintas metodologías aplicadas. En ellas la escorrentía superficial es considerada como muy baja o nula. A parte de esto son realizadas algunas consideraciones especiales en cada metodología. En el balance a nivel edáfico, el número de factores meteorológicos que se tienen en cuenta para calcular la ETP es muy reducido, por lo cual la incertidumbre que se genera es grande, pudiendo subestimar los valores de este parámetro y aumentar consecuentemente los valores de recarga. No obstante cuenta con la ventaja de que se puede aplicar cuando no se tienen nada más que esos datos.
El método de balance de cloruros, asume que el acuífero no presenta una fuente alternativa de este ión. Las descripción mineralógica de este acuífero realizada por [28] avala la aplicación de este método. La cercanía entre el punto de muestreo de agua subterránea y la estación colectora de agua lluvia (LSM) (30 m), permite descartar actividades que puedan aumentar la presencia de este ión, dando validez a los resultados obtenidos. La similitud en concentración general de Cloruros en las estaciones LSM y LSC indica una homogeneidad en el contenido de este ión en las precipitaciones al menos en la zona cercana a las sierras.
La metodología de VNF refleja directamente el comportamiento del acuífero, sus ascensos comparables y medibles en el tiempo pueden asumirse como recargas del acuífero. En la necesidad de estimar el coeficiente de almacenamiento para aplicar este método radica su mayor limitante. El valor de un coeficiente de almacenamiento de 10 para este acuífero es un valor validado por diversos autores, entre ellos [20-21-9-10].
Igual que el método de VNF, el método de VSF utiliza el coeficiente de almacenamiento para sus cálculos. Esto, sumado a la necesidad de contar con mediciones continuas en puntos cercanos son los mayores limitantes para su aplicación. Con el objetivo de validar esta metodología debe realizarse entre otras tareas, un análisis de sensibilidad de los distintos métodos de interpolación aplicados en la generación y evaluación de las superficies utilizadas.
Debido a las consideraciones anteriores se puede establecer que las metodologías con menos incertidumbres son las de balance de cloruros y VNF.
5. CONCLUSIONES
La recarga promedio de este acuífero utilizando todos los valores obtenidos en las diferentes metodologías seria de 14.5% de la precipitación, aun cuando el promedio que se obtiene a partir de los resultados menos inciertos es de 15,5%. La metodología de variación de superficie freática indicó la menor tasa de recarga del acuífero. Esta puede ser tomada como un valor conservador para este parámetro en este sector de la llanura interserrana bonaerense.
La baja pendiente que predomina en la zona de influencia de este trabajo limita el número de componentes involucrados en los balances que tienen como objetivo determinar las tasa de recarga al acuífero. Esto se convierte en un punto a favor a la hora de realizar los cálculos ya que disminuye la información requerida para tal fin.
Las metodologías de balance de cloruros y VNF tuvieron resultados similares pese a utilizar información distinta, esta situación apunta a favor de la idea de que uno y otro método se validan mutuamente.
El uso de fórmulas empíricas que involucren otras variables climatológicas o mediciones directas de la evapotranspiración, podrían ayudar a ajustar la cuantificación de la recarga.
AGRADECIMIENTOS
Los autores queremos agradecer la colaboración recibida por los propietarios y empleados de la estancia El Moro Viejo, los propietarios del paraje San Cayetano y La Balanza pública de San Manuel. Al Organismo Internacional de Energía Atómica (OIEA) por el apoyo económico en la compra de equipos para medición de nivel. Al técnico Químico Gustavo Bernava por las determinaciones de Cl- en todas las muestras. La ANPCyT por la financiación de los estudios (PICT00390). A los revisores por la lectura critica del texto y las sugerencias realizadas, las cuales ayudaron a mejorar el manuscrito.
REFERENCIAS
[1] Sophocleus, M., Interaction between Groundwater and Surface Water: The State of the Science. Hydrogeology Journal, Vol 10, N° 1, pp 52-67, 2002.
[2] Betancur, T. y Palacio, C. La modelación numérica como herramienta para la exploración hidrogeológica y construcción de modelos conceptuales (caso de aplicación: bajo cauca antioqueño). Dyna, Año 76, Nro. 160, ISSN 0012-7353, Medellín, Colombia pp. 39-49, 2009.
[3] Scanlon, B. R. y Healy, R. W., Choosing Appropriate Techniques for Quantifying Groundwater Recharge. Hydrogeology Journal. Vol 10, N° 1, pp 18 - 39, 2002.
[4] Rolleri, E. O., Provincias Geológicas Bonaerenses. En Geología de la provincia de Buenos Aires, VI Congreso Geológico Argentino, Relatorio 29 - 54, Buenos Aires, Septiembre 1975.
[5] Kruse, E., El agua Subterránea y los Procesos Fluviales en la Región Centro Oriental de la Provincia de Buenos Aires. Caracterización Ambiental de la Provincia de Buenos Aires. C.I.C. La Plata. Año II, 15, pp. 13-31, 1993.
[6] Kruse, E., Laurencena, P., Deluchi, M. y Varela, L., Caracterización de la Red de Drenaje para la Evacuación Hidrológica en la Región Interserrana (Provincia de Buenos Aires). En: actas del I Congreso Nacional de Hidrogeología y II Seminario Hispano - Argentino sobre Temas Actuales de Hidrología Subterránea. Bahía Blanca, pp. 133 - 145, Octubre 1997.
[7] Campo De Ferreras, A. M. y Piccolo, M.C., Hidroquímica del Arroyo Pescado Castigado. Actas III Jornadas Nacionales de Geografía Física. Vol 1, N°1, pp. 97- 103, 2002.
[8] Ussunoff, E., Técnicas en estudios de Llanura. Seminario Hispano Argentino sobre Temas Actuales en Hidrología Subterránea. Universidad Nacional de Mar del Plata - Consejo Nacional de inversiones. Mar del Plata. pp. 103 - 117, septiembre 1994.
[9] Venecio, M. y Varni, M., Estimación de la carga y del Almacenamiento Específico a través de Análisis de Registros de Nivel Freático. III congreso Argentino de Hidrogeología y I seminario Hispano-latinoamericano sobre temas actuales de la hidrología subterránea. ISBN 950-673-395-3. Rosario Argentina. pp. 153-160. Octubre 2003.
[10] Ferreira, G., Rodríguez, L., Vonnet, C., Choque, J. y Marano, P., Avances en el conocimiento del acuífero libre de la cuenca del arroyo Cululú (provincia de Santa Fe). VI Congreso Nacional de Hidrogeología y IV Seminario hispanoamericano de Temas Actuales de la Hidrogeología Subterránea, Santa Rosa, La Pampa, Argentina. ISBN 978-987-1082-36-7. Vol 1. N°1. pp 147- 3157, Agosto 2009.
[11] Varni, M., Weinzetel, O., Análisis de Registros Freatigráficos en la Cuenca del Arroyo Azul. VI Congreso Nacional de Hidrogeología y IV Seminario hispanoamericano de Temas Actuales de la Hidrogeología Subterránea, ISBN 978-987-1082-36-7. Santa Rosa, La Pampa, Argentina. pp. 299- 307, Agosto 2009.
[12] Bocanegra, E., Martínez, D., Massone, H. y Farenga, M., Modelación numérica preliminar del flujo subterráneo de la cuenca del río Quequén, Provincia de Buenos Aires. IV Congreso Argentino de Hidrogeología, ISBN 950- 665-346-1. Río Cuarto, Córdoba, 25 al 28 de octubre, Vol 1 N°1, pp. 191-200, Octubre 2005.
[13] Thorntwaite, C. W., An Aproach Towards a Rational Classification of Climate. Geographycal Review Vol. 38, No. 1, pp. 55-94. , 1948.
[14] Dalla Salda, L., De Barrio, R. E., Etcheveste, H. J. y Fernández, R. R., El Basamento de las Sierras de Tandilia. Geología y Recursos Minerales de la Provincia de Buenos Aires. Relatorio del 16° Congreso Geológico Argentino IV, Tomo I. pp. 31-50, Septiembre 2005.
[15] Dalla Salda, L. E. e Iñiguez, R, M., "La Tinta", precámbrico y paleozoico de Buenos Aires. VII Congr. Geol. Arg., Tomo I, Neuquén, Argentina, pp. 539-550. Septiembre 1979.
[16] Frenguelli, J., Rasgos Generales de la Morfología y Geología de la Provincia de Buenos Aires. Prov. de Buenos Aires, M.O.P., LEMIT, serie II, 33. La Plata, Argentina, 1950.
[17] Varela, L. y Teruggi, L., Caracterización Hidrológica de la cuenca del Río Quequén Grande, Provincia de Buenos Aires. Manejo Integral de Cuencas Hidrográficas y Planificación Territorial. Vol1. pp. 19-26, 2001
[18] Sala, J. M., Recursos Hídricos (Especial Mención de las Aguas Subterráneas), Relatorio VI Con. Geol. Arg., pp. 169-193, Septiembre 1975.
[19] Quiroz Londoño, OM., Martínez De Dapeña, C., Massone, H., Hydrogeochemistry and isotope analyses used to determine groundwater recharge and flow in low-gradiente catchments of the province of Buenos Aires, Argenitna. Hydrogeol J 16: pp.1113- 1127, 2008.
[20] Auge, M., Vulnerabilidad de Acuíferos: Conceptos y Métodos. Buenos Aires. Disponible en: www.gl.fcen.uba.ar/investigacion/grupos/hidrogeologia/auge/Vulnerabilidad- Conceptos.pdf, 2004.
[21] Ruiz De La Garreta, A., Varni, M., Banda, N. R. y Barranquero, R., Caracterización Geohidrológica Preliminar en la Cuenca del Arroyo Langueyú, partido de Tandil, Buenos Aires. V Congreso Argentino de Hidrogeología. pp. 119 - 128, Octubre 2007.
[22] Custodio, E. y LLamas, M., Hidrología Subterránea. Ediciones Omega. Barcelona, 1976.
[23] Massone, H., Geología y planificación territorial en la cuenca superior del arroyo grande (provincia de Buenos Aires). Tesis Doctoral. Universidad Nacional de La plata. Facultad de Ciencias Naturales y Museo. La Plata - Argentina. 2003.
[24] Custodio, E., Planteamiento de estudios geohidrogeológicos en pequeñas zonas sin datos sistemáticos. Simposio de la UNESCO sobre Previsión de recursos de aguas con datos inadecuados. Madrid, España, Tomo I, 1973.
[25] Healy, R. W. y Cook, P. G., Using Groundwater Levels to Estimate Recharge. Hydrogeology Journal. V 10, N 1, pp 91 - 109, 2002.
[26] Schicht, R. J y Walton, W.C., Hydrologic Budgets for three small watersheds in Illinois. Illinois State Water Surv Rep Invest 40, 40 P. 1961.
[27] GOLDEN SOFTWARE. Contouring and 3D Surface Mapping Package for Scientists and Engineers. User's Guide. Golden Software, Inc, Golden, Surfer® Version 8. USA, 2002.
[28] Teruggi, M. E., The Nature and Origin of Argentine Loess. Journ. Sedim. Petrol., XXVII, 3 (Oxford), pp. 322 - 332. 1957.
Cómo citar
IEEE
ACM
ACS
APA
ABNT
Chicago
Harvard
MLA
Turabian
Vancouver
Descargar cita
Visitas a la página del resumen del artículo
Descargas
Licencia
Derechos de autor 2012 DYNA

Esta obra está bajo una licencia internacional Creative Commons Atribución-NoComercial-SinDerivadas 4.0.
El autor o autores de un artículo aceptado para publicación en cualquiera de las revistas editadas por la facultad de Minas cederán la totalidad de los derechos patrimoniales a la Universidad Nacional de Colombia de manera gratuita, dentro de los cuáles se incluyen: el derecho a editar, publicar, reproducir y distribuir tanto en medios impresos como digitales, además de incluir en artículo en índices internacionales y/o bases de datos, de igual manera, se faculta a la editorial para utilizar las imágenes, tablas y/o cualquier material gráfico presentado en el artículo para el diseño de carátulas o posters de la misma revista.




