LAS MÁQUINAS DE VAPOR EN LA OBTENCIÓN DEL AZÚCAR DE CAÑA EN ESPAÑA: ANÁLISIS COMPARATIVO
Palabras clave:
Azúcar de caña, Máquinas de vapor, Arqueología Industrial, Fives-Lille, Mirrlees-Watson (es)LAS MÁQUINAS DE VAPOR EN LA OBTENCIÓN DEL AZÚCAR DE CAÑA EN ESPAÑA: ANÁLISIS COMPARATIVO
THE STEAM ENGINES IN SUGARCANE PRODUCTION IN SPAIN: COMPARATIVE AwNALYSIS
JOSÉ IGNACIO ROJAS-SOLA
Ph.D., Universidad de Jaén, jirojas@ujaen.es
JOSÉ RAMÓN UREÑA-MARÍN
Programa de Doctorado en Ingeniería Industrial de la Universidad de Jaén, jrurena65@hotmail.com
Recibido para revisar octubre 3 de 2011, aceptado noviembre 2 de 2011, versión final noviembre 10 de 2011
RESUMEN: El presente artículo muestra una investigación de historia de la tecnología aplicada para la obtención del azúcar de caña, realizando un estudio comparativo de las principales máquinas de vapor extendidas en España, como fueron la de tecnología escocesa Mirrlees-Watson y la de tecnología francesa Fives-Lille. Se ha expuesto brevemente el proceso de obtención del azúcar de caña, así como una breve descripción de las principales características de ambas dentro de su similitud, para finalizar exponiendo un análisis comparativo en términos de potencia mediante los métodos analítico y gráfico (diagrama dinámico de potencia). Como resultado de dicho estudio se pone de manifiesto la superioridad de la máquina de Mirrlees-Watson frente a la de Fives-Lille en cuanto a la potencia indicada total.
PALABRAS CLAVE: Azúcar de caña, Máquinas de vapor, Arqueología Industrial, Fives-Lille, Mirrlees-Watson.
ABSTRACT: This paper presents a research of the history of the technology applied used for the production of sugarcane, making a comparative analysis of the main steam engines widespread in Spain, were of Scottish technology Mirrlees-Watson and French technology Fives Lille. It has been briefly outlined the process for obtaining sugarcane, and also a brief description of the main features of both in its similarity to finish exposing a comparative analysis in terms of power by analytical and graphical methods (dynamic power diagram ). As a result of this study, the superiority of the Mirrlees-Watson engine in front of the Fives-Lille in total to the power has been exposed.
KEYWORDS: Sugarcane, Steam Engines, Industrial Archaeology, Fives-Lille, Mirrlees-Watson.
1. INTRODUCCIÓN
El azúcar de caña es uno de los principales alimentos que se han venido obteniendo a través de los siglos de diferentes formas, principalmente en el área del Caribe y de América Latina, exportándose a otros países con clima tropical entre ellos a España.
La importancia del estudio de todo lo relacionado con la caña de azúcar viene demostrada por numerosas publicaciones científicas recientes que describen diversas investigaciones sobre aspectos mecánicos [1-5] o sobre aspectos químicos [6-9].
Desde el punto de vista de la tecnología, existe muy buena literatura relacionada [10-15], especificándose que la secuencia de operaciones necesarias para extraer la sacarosa del jugo de la caña y obtener cristales de azúcar son cuatro: molienda, purificación de jugos, concentración de jugos y clasificación del tipo de azúcar.
El molino horizontal de hierro (figura 1) está constituido por tres rodillos o masas cilíndricas horizontales con sus ejes situados sobre un triángulo isósceles, siendo la transmisión de la fuerza mucho más perfecta que en los molinos verticales movidos por animales o por la fuerza hidráulica. Asimismo, lleva un sistema de muelles o pesas para facilitar una molienda mucho mejor, suministrando a las masas una presión variable. Posteriormente se les incorporó una rueda directriz adosada, que permitía conducir la caña de azúcar a una segunda presión entre el rodillo central y el tercero, eliminándose la alimentación manual [16].

Figura 1. Molino horizontal de 3 rodillos
Las primeras máquinas de vapor se instalaron en Cuba en 1817 y posteriormente se introdujeron en España en 1845, concretamente en las costas andaluzas debido al microclima tropical (fundamentalmente en Granada y Málaga) [17].
Las máquinas de vapor intervienen en la primera fase, es decir, la molienda, accionando el tren de molinos (dispuestos en serie) que presionaban a la caña de azúcar con objeto de agotar el jugo que contenían. Para ello, transforman la energía del vapor en energía mecánica, accionando un tren de engranajes de transmisión para reducir el par y adecuar la velocidad de la máquina a la de los rodillos del tren de molinos (figura 2).

Figura 2. Máquina de vapor, volante de inercia y tren de engranajes (de izquierda a derecha)
Entre los fabricantes más conocidos de máquinas de vapor se encuentran Fives-Lille, Cail y Carion-Delmotte en Francia, Mirlees-Watson en Escocia, Hallesche-Halle y Braunschweigische Maschinenbauanstalt AG en Alemania o Ste. Ame J.J. Gilain en Bélgica, entre otras.
El objetivo del presente artículo es realizar un trabajo de arqueología industrial, en el sentido de recuperación del patrimonio industrial azucarero, como punto de partida para desarrollar un estudio de la historia de la tecnología aplicada a las máquinas de vapor de una forma integral, enfocándolo hacia un análisis comparativo en términos de potencia.
2. MÁQUINAS DE VAPOR
A pesar de existir diversos fabricantes de máquinas de vapor, en España se han difundido dos principalmente: Fives-Lille y Mirrlees-Watson.
Para estudiar desde el punto de vista de la ingeniería las dos máquinas y poder realizar una comparación, se buscaron dos fábricas que tuvieran estos dos tipos de máquinas de vapor en buen estado de conservación, o al menos que se dispusiera de los planos originales para la toma de dimensiones. Esta búsqueda arrojó como resultado el hallazgo en la costa tropical granadina de dos fábricas: la de Nrta. Sra. del Rosario en Salobreña (Granada) con la máquina de vapor con tecnología escocesa Mirrlees-Watson (figuras 3 y 4) (1928), puesta en orden de marcha, por primera vez en el año 1929, y por otro lado, la de Nrta. Sra. del Pilar en Motril (Granada) con la máquina de vapor con tecnología francesa Fives-Lille (1929) (figura 5).

Figura 3. Máquina de vapor Mirrlees-Watson

Figura 4. Plano original de la máquina de vapor Mirrlees-Watson [19]

Figura 5. Máquina de vapor Fives-Lille
Ambas son muy similares ya que son de disposición horizontal, de émbolo con movimiento rectilíneo alternativo, doble efecto y escape libre, diferenciándose en algunas características constructivas, en la distribución del vapor y sus mecanismos de regulación, así como en la potencia suministrada [18].
La complejidad en los criterios de diseño y dimensionado de dichas máquinas queda patente por ser muy numerosos los elementos que las componen, tales como una biela motriz y la manivela (con el gorrón incluido), el volante de inercia, el árbol y las poleas de transmisión, el cilindro, el vástago del émbolo, la cruceta y su unión con el vástago y la caja prensaestopas, elementos objeto de estudio en una tesis doctoral en realización.
Debido a la amplitud del estudio, se ha decidido estudiar en detalle, la variable más importante, que es la potencia indicada en cada cara del émbolo y la total de la máquina de vapor.
Para ello, se realizará la determinación de la potencia indicada total analíticamente mediante expresiones según bibliografía especializada y también mediante la representación gráfica del diagrama dinámico ideal de cada máquina.
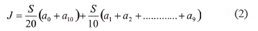
3. CÁLCULO DE LA POTENCIA INDICADA SEGÚN EL DIAGRAMA DINÁMICO IDEAL
La determinación de la potencia de las máquinas de vapor por medio del diagrama dinámico ideal es una de las aplicaciones más importantes.
La potencia indicada total se obtiene según [20]:

Para calcular la presión media se obtiene la representación gráfica del diagrama ideal. El método consiste en trazar ordenadas
hasta
, a distancias de un décimo de la longitud del diagrama. Las ordenadas
y
se trazarán a una distancia del borde igual a un cuarto del ancho de una parte.
Como cada ordenada corresponde a la altura media de un trapecio, la superficie J del diagrama se obtendrá sustituyendo los valores de las ordenadas, junto con el valor de
en la expresión:

Identificando a la variable h como la altura media del diagrama, J se puede expresar como el producto de la longitud de la carrera
por la altura media h, quedando:

Este resultado se mide en unidades de superficie, por lo que atendiendo a la escala de presiones (diviendo por 100) se obtiene la presión media en Kg/cm2.
Por otro lado, el valor de
se obtiene mediante la expresión:

donde n es el número de revoluciones por minuto y l es la longitud de la carrera del émbolo.
4. RESULTADOS Y DISCUSIÓN
Los cálculos que a continuación se expondrán, están basados en datos empíricos que han sido recopilados de antiguos maestros de molino, molineros y resto del personal de la azucarera, completados con documentación técnica específica [19, 21], así como la correspondiente bibliografía técnica consultada para el cálculo y diseño de máquinas de vapor.
Ambas máquinas de vapor son de simple expansión, escape libre y doble efecto, y para el cálculo de la potencia indicada o teórica, se han de tener en cuenta determinados parámetros.
4.1 Máquina de vapor de Fives-Lille
4.1.1 Potencia obtenida analíticamente
Las expresiones analíticas que permiten obtener estos datos aparecen en diversas monografías especializadas [20, 22, 23], donde aparecen una serie de parámetros. En el caso de la máquina de Fives-Lille, sus valores son:
: Presión media de admisión (9 kg/cm2).
: Carrera del émbolo (1.10 m).
: Diámetro del émbolo (0.66 m).
: Diámetro del vástago en la cara izquierda (0.21 m) (desde el tope del vástago hasta el émbolo).
: Diámetro del vástago en la cara derecha (0.11 m). (desde el émbolo hasta la cruceta)
: nº de revoluciones por minuto (45 rpm).
: Superficie útil del émbolo (cara izquierda).
: Superficie útil del émbolo (cara derecha).
: Presión media estimada según la ecuación empírica de Grassmann.
Según se recomienda (para máquinas de simple expansión con descarga a la atmósfera), la presión media indicada pm se ha de mantener según la siguiente fórmula:

Por tanto, calculando su valor, se obtiene:

Este parámetro permitirá calcular la potencia de la máquina según el diagrama dinámico ideal de la misma, el cual se analizará posteriormente.
Calculando ahora el valor de las superficies de émbolo útiles
y
, se obtendrá:
)
de donde, la potencia indicada
(cara izquierda del émbolo) será:

y para la cara derecha será:

Por tanto, la potencia indicada total
será:

El valor de la potencia que realmente va a entregar la máquina corresponde a la potencia efectiva o útil
y será la diferencia entre la potencia indicada (bruta o nominal)
y la potencia perdida
que se invierte en vencer las resistencias pasivas y rozamiento entre piezas.
Sin embargo, el porcentaje aproximado de pérdida de potencia indicada en una máquina de vapor suele estar entre un 15 a un 20 % [23] y en el caso que nos ocupa, para abordar los cálculos, se considerará que se pierde alrededor de un 15%, aunque evidentemente este porcentaje puede variar dependiendo de la tipología de la máquina, tipo de combustible o tipo y grado de carga, entre otros factores.
Por tanto, la potencia perdida
se calculará como:

Y así, la potencia útil
de la máquina será:

Como el rendimiento mecánico real vendrá dado por la expresión
para máquinas de vapor monocilíndricas, sustituyendo por los valores obtenidos, quedará:

4.1.2. Potencia obtenida gráficamente
El diagrama dinámico ideal obtenido se representa en la figura 6.

Figura 6. Diagrama dinámico ideal Fives-Lille
Siguiendo lo expuesto en el apartado 3, se calculará en primer lugar la presión media a través de la representación gráfica del diagrama ideal.
Así pues, sustituyendo los valores reales resulta un valor de J = 336.25 unidades de superficie, y por tanto, atendiendo a la escala de presiones resulta un valor de:

Este valor es muy parecido al obtenido en el apartado 4.1.1. de 3.45 Kg/cm2, resultando por tanto, este método bastante fiable.
Para calcular el valor de la velocidad media de la carrera del émbolo
, se tomarán los valores de n = 45 rpm y como longitud de la carrera la señalada en el apartado anterior l = 1.10 m, calculándose según la expresión (4) como sigue:

Por tanto, sustituyendo los valores en la expresión (1) quedará:

Este valor obtenido está muy cercano al valor de 242.91 CV, demostrando una vez más la fiabilidad del método gráfico, ya que sólo hay una pequeña diferencia de 2.62%.
4.2 Máquina de vapor de Mirrlees-Watson
4.2.1 Potencia obtenida analíticamente
Análogamente a lo expuesto en el apartado 4.1.1., los valores de los parámetros para la máquina de vapor de Mirrlees-Watson son:
: Presión media de admisión (9.5 kg/cm2).
: Carrera del émbolo (1.52 m).
: Diámetro del émbolo (0.72 m).
: Diámetro del vástago en la cara izquierda (0.23 m) (desde el tope del vástago hasta el émbolo).
: Diámetro del vástago en la cara derecha (0.13 m) (desde el émbolo hasta la cruceta).
: nº de revoluciones por minuto (45 rpm).
: Superficie útil del émbolo (cara izquierda, lado tapa).
: Superficie útil del émbolo (cara derecha, lado cruceta).
: Presión media estimada según la ecuación empírica de Grassmann [22].
Los cálculos se realizarán de forma análoga a la de Fives-Lille. Así pues, siguiendo las expresiones (5) a (12), se obtienen los siguientes resultados:
La presión media indicada es:

Calculando ahora el valor de las superficies de émbolo útiles
y
, se obtendrá:

La potencia indicada
(cara izquierda del émbolo) será:

y para la cara derecha resulta:

Por tanto, la potencia indicada total
será:

Si en el caso de esta máquina se supone una pérdida de un 20%, entonces:
Por tanto, la potencia perdida
se calculará como:

Y así, la potencia potencia útil
será:

Y por tanto, el rendimiento mecánico real será:

4.2.2 Potencia obtenida gráficamente
Análogamente y siguiendo lo expuesto en el apartado 3, se calculará en primer lugar la presión media a través de la representación gráfica del diagrama dinámico ideal (figura 7).

Figura 7. Diagrama dinámico ideal de Mirrlees-Watson
Así pues, sustituyendo los valores reales resulta un valor de J = 336.50 unidades de superficie, y por tanto, atendiendo a la escala de presiones resulta un valor de:

Este valor es muy parecido al obtenido en el apartado 4.1.1. de 3.45 Kg/cm2, resultando por tanto, este método bastante fiable.
Para calcular el valor de la velocidad media de la carrera del émbolo
, se tomarán los valores de n = 45 rpm y como longitud de la carrera la señalada en el apartado anterior l = 1.52 m, calculándose como sigue:

Por tanto, sustituyendo los valores en la expresión (1) quedará:

Este valor obtenido está muy cercano al valor de 413.28 CV, demostrando una vez más la fiabilidad del método gráfico, aunque en esta ocasión hay una diferencia de 5.87%.
5. CONCLUSIONES
Se han descrito las dos máquinas de vapor (Mirrlees-Watson y Fives-Lille) más extendidas en España para la obtención del azúcar de caña, poniendo de manifiesto a partir de un estudio técnico comparativo, que la máquina de vapor de Mirrlees-Watson proporcionaba mayor potencia indicada en cada cara del émbolo y por tanto, en la máquina.
Aún teniendo ambas máquinas la misma velocidad de rotación (45 rpm), la conclusión obtenida se justificaba debido a que la presión media indicada era mayor, al ser mayor la presión media de admisión, pero también a consideraciones constructivas, ya que las dimensiones eran mayores tanto la carrera del émbolo, como el diámetro del émbolo o los diámetros del vástago en la caras izquierda y derecha, repercutiendo en los valores obtenidos de las potencias indicadas en ambas caras, y por tanto, en la potencia indicada total.
Asimismo, en lo relativo a la obtención de las potencias indicadas totales de cada una de las máquina de vapor, el diagrama dinámico ideal ha sido una herramienta muy útil y rápida para obtener resultados fiables, algo más ajustado en la máquina de Fives-Lille que en la de Mirrlees-Watson.
Este resultado que supone una ventaja considerable de la máquina de Mirrlees-Watson frente a la de Fives-Lille, obligaba a que dependiendo de la naturaleza constructiva del tren de molinos y por tanto, de la velocidad de su funcionamiento, se diseñara un tren de engranajes para reducir el par obtenido y adecuar su velocidad a la velocidad del tren de molinos.
AGRADECIMIENTOS
Los autores agradecen sinceramente al Profesor Miguel Giménez Yanguas, la valiosa información gráfica y técnica proporcionada para la correcta realización de esta investigación.
REFERENCIAS
[1] Garcia, J.I., Burbano, J.C. and Coronado, J. J., Vulnerability analysis of the mechanical strength of a coupling used in sugarcane train, Dyna-Colombia, 160, pp. 159-167, 2009.
[2] Ceballos, W.F., Gómez, A. L. and Coronado, J. J., Fatigue Behavior of Sae 4140 Steel With High Surface Roughness in a Corrosive Environment. Dyna-Colombia 162, pp. 125-135, 2010.
[3] Saraz, J.A., Aristizabal, F. and Mejía, J.A., Mechanical Behavior of the Concrete Reinforced With Sugar Cane Bagasse Fibers. Dyna-Colombia 153, pp. 59-69, 2007.
[4] Ceballos, W.F., Gómez, A.L. and Coronado, J.J., The Synergism Between High Superficial Roughness and Corrosive Atmosphere in the Fatigue Behavior of the Sae 1045 Steel. Dyna-Colombia 154, pp. 91-100, 2008.
[5] Casanova, F., Failure Analysis and Redesign of a Wagon Wheel Shaft for Sugar Cane Transport. Dyna-Colombia 166, pp. 48-54, 2011.
[6] Marriaga, N., Performance Indicators of Bioethanol Distillation. Dyna-Colombia 159, 85-92, 2009.
[7] Pena, C. and Arango, R., Evaluation of Ethanol Production Using Recombinant Strains of Saccharomyces Cerevisiae From Sugar Cane Molasses. Dyna-Colombia 159, pp. 153-161, 2009.
[8] Oliveira De Paula, M., Ferreira Tinôco, I.F., Souza Rodrigues, C. and Osorio Saraz, J. A., Sugarcane bagasse ash as a partial-portland-cement-replacement material. Dyna-Colombia 163, pp. 47-54, 2010.
[9] Montes, E., Torres, R. and Andrade, R., Equation of Capriste and Lozano Modified to Predict the Point of Boiling Increasing in Solutions of Sugar Cane. Dyna-Colombia 153, pp. 135-140, 2007.
[10] Jenkins, G.H., Introduction to cane sugar technology, Elsevier, London, 1966.
[11] Hugot, E., La sucrerie de cannes, Dunod, París, 1970.
[12] Buenaventura, A., Guía práctica para extraer el azúcar de la remolacha y demás plantas sacarinas, Librería de sucesores de Escribano, Madrid, 1875.
[13] Beaudet, L., Pellet, H. and Saillard, C.H., Traité de la fabrication du sucre de betterave et de canne, Librairie Générale Scientifique et Industrielle H. Desforges, Paris, 1894.
[14] Tromp, L.A., Machinery and equipment of the cane sugar factory: a textbook on machinery for the cane sugar industry, Norman Rodger, London, 1946.
[15] Meade, G.P., Manual del azúcar de caña, Montaner y Simón, Barcelona, 1967.
[16] Rojas Sola, J.I. and Ureña Marín, J.R., Technological evolution of the steam engine in sugarcane production. Actas del Congreso Internacional Conjunto XVI ADM-XIX INGEGRAF. Perugia, Italia, pp. 549-556, Junio 2007.
[17] Piñar Samos, J. and Giménez Yanguas, M., Motril y el azúcar II: Del paisaje industrial al patrimonio tecnológico (1845-1995), Motril (Granada), 1996.
[18] Rojas Sola, J.I. and Ureña Marín, J.R., Evolución tecnológica de la máquina de vapor "Fives-Lille" en la producción de azúcar de caña. Actas del 20 Congreso Internacional de Ingeniería Gráfica (CD). Valencia, España, Junio 2008.
[19] Colección de planos de la máquina de vapor de la casa escocesa Mirrlees-Watson de la fábrica de azúcar de Ntra. Sra. del Rosario, Salobreña (Granada), 1928.
[20] ACADEMIA HÜTTE, Manual del ingeniero, Tomo II, 2ª ed. Rafael Hernández (trad.), Gustavo Gili, Barcelona, 1926.
[21] Colección de planos de la máquina de vapor de la compañía francesa Fives-Lille de la fábrica de azúcar de Ntra. Sra. del Pilar, Motril (Granada), 1929.
[22] Dubbel, H., Manual del constructor de máquinas., Tomo I, 3ª ed. José Serrat y Bonastre (trad.), Labor, Barcelona, 1925.
[23] Bärh, H. and Herre, O., La Escuela del técnico mecánico. Calderas y máquinas de vapor, Tomo VII, 3ª ed. José Serrat y Bonastre (trad.), Labor, Barcelona, 1959.
Cómo citar
IEEE
ACM
ACS
APA
ABNT
Chicago
Harvard
MLA
Turabian
Vancouver
Descargar cita
Visitas a la página del resumen del artículo
Descargas
Licencia
Derechos de autor 2012 DYNA

Esta obra está bajo una licencia internacional Creative Commons Atribución-NoComercial-SinDerivadas 4.0.
El autor o autores de un artículo aceptado para publicación en cualquiera de las revistas editadas por la facultad de Minas cederán la totalidad de los derechos patrimoniales a la Universidad Nacional de Colombia de manera gratuita, dentro de los cuáles se incluyen: el derecho a editar, publicar, reproducir y distribuir tanto en medios impresos como digitales, además de incluir en artículo en índices internacionales y/o bases de datos, de igual manera, se faculta a la editorial para utilizar las imágenes, tablas y/o cualquier material gráfico presentado en el artículo para el diseño de carátulas o posters de la misma revista.




