VERTICAL WELL PRESSURE AND PRESSURE DERIVATIVE ANALYSIS FOR BINGHAM FLUIDS IN HOMOGENEOUS RESERVOIRS
Palabras clave:
Bingham fl uid, pressure gradient, yield stress, shear stress, shear rate (es)VERTICAL WELL PRESSURE AND PRESSURE DERIVATIVE ANALYSIS FOR BINGHAM FLUIDS IN HOMOGENEOUS RESERVOIRS
ANÁLISIS DE PRESIÓN Y DERIVADA DE PRESIÓN PARA FLUIDOS BINGHAM EN POZOS VERTICALES EN YACIMIENTOS HOMOGENEOS
JAVIER A. MARTINEZ
Programa de Ingeniería de Petróleos, Universidad Surcolombiana, Researcher, j_martinez70@hotmail.com
FREDDY H. ESCOBAR
Programa de Ingeniería de Petróleos, Universidad Surcolombiana, Professor, fescobar@usco.edu.co
MATILDE MONTEALEGRE
Programa de Ingeniería de Petróleos, Universidad Surcolombiana, Professor, matildelina2005@hotmail.com
Received for review September 14th, 2009, accepted October 8th, 2010, final version October 14th, 2010
ABSTRACT: This paper presents a technique for interpreting the behavior of pressure and pressure derivative for a Bingham-type fluid in a homogeneous reservoir drained by a vertical well using the TDS technique, by observing the influence of the minimum pressure gradient which characterizes this behavior, and characteristic points which are used for estimating formation permeability, drainage area, and skin factor. The pressure derivative for Bingham Non-Newtonian fluids is presented in the literature for the first time. The higher the minimum pressure gradient, the more asymmetrically concave the pressure derivative becomes. Also, it was observed in closed systems that the late unit-slope pressure derivative coincides with the same one for Newtonian fluids.
KEY WORDS: Bingham fluid, pressure gradient, yield stress, shear stress, shear rate
RESUMEN: Este trabajo presenta una técnica de interpretación del comportamiento de la presión y derivada de presión para un fluido tipo Bingham en un yacimiento homogéneo drenado por un pozo vertical, aplicando la técnica TDS observando la influencia del gradiente mínimo de presión que caracteriza este comportamiento y puntos característicos con el propósito de calcular la permeabilidad, el área de drenaje y el factor de daño de la formación. Es la primera vez que se presenta en la literatura la derivada de presión para estos fluidos. Entre mayor se hace el mínimo gradiente de presión la derivada se hace asimétricamente más cóncava hacia arriba. También se observó que en sistemas cerrados la pendiente unitaria tardía que se desarrolla en la derivada de presión coincide con la misma de fluidos Newtonianos.
PALABRAS CLAVES: Fluido Bingham, gradiente de presión, esfuerzo de cedencia, esfuerzo de corte, rata de corte.
1. INTRODUCTION
Flow of non-Newtonian fluids through porous media is encountered in many subsurface systems involving underground natural resource recovery or storage projects. Laboratory experiments and field tests indicate that certain fluids exhibit a Bingham-type non-Newtonian behavior in porous media. In these cases, flow only takes place once the applied pressure gradient exceeds a certain minimum value called the threshold pressure gradient. The flow of oil in many heavy oil reservoirs does not follow Darcy’s law but may be approximated by a Bingham Fluid.
A few studies of well pressure behavior in vertical wells have been recently conducted on the behavior of the non-Newtonian fluid approaching the power law model in vertical wells using both the TDS technique [1] and type-curve matching [2] and similarly for horizontal wells with non-Newtonian Bingham fluids [3].
In this work, the model governing the behavior of the flow of a non-Newtonian Bingham fluid in a closed porous media drained by a vertical well, [4], was numerically solved, see Appendix A. Once the pressure and pressure derivative was generated, the interpretation methodology was obtained by following the TDS philosophy to determine reservoir permeability, skin factor and drainage area, and tested through synthetic examples previously employed by [4].
2. BINGHAM FLUID AND RHEOLOGICAL MODEL
As a special kind of non-Newtonian fluid, Bingham fluids (or Bingham plastics) exhibit a finite yield stress at zero shear rates. There is no gross movement of fluids until the yield stress, ty, is exceeded. Once this is accomplished, it is also required to cut efforts to increase the shear rate, i.e. they behave as Newtonian fluids.
These fluids behave as a straight line crosses the y axis in t = ty, when the shear stress,t is plotted against the shear rate,
in Cartesian coordinates. The characteristics of these fluids are defined by two constants: the yield, ty, which is the stress that must be exceeded for flow to begin, and the Bingham plastic coefficient, mB. The rheological equation for a Bingham plastic is, [5]:
(1)
The Bingham plastic concept has been found to closely approximate many real fluids existing in porous media, such as paraffinic oils, heavy oils, drilling muds and fracturing fluids, which are suspensions of finely divided solids in liquids. Laboratory investigations have indicated that the flow of heavy-oil in some fields has non-Newtonian behavior and approaches the Bingham type.

Figure 1. Graphic Representation of Bingham fl uid, [5]
For a phenomenological description of flow in porous media, some equivalent or apparent viscosities for non-Newtonian fluid flow are needed in Darcy’s equation. Therefore, many experimental and theoretical studies have investigated rheological models or correlations of apparent viscosities and flow properties for a given non-Newtonian fluid and porous material. For flow problems in porous media involving non-Newtonian Bingham fluids, the formulation of Darcy’s law has been modified to:
(2a)
and,
(2b)
Where, G is the pressure gradient corresponding to the yield stress in a porous medium. The above conditions show that in this type of fluid, there is no flow until |P| exceeds the minimum pressure gradient, G. The two Bingham-fluid parameters, G and mB, should be determined by laboratory experiments or by a well test for a porous medium flow problem. For heavy oils, a reasonable value of G is in the order of 104 Pa/m (0.44 psi/ft).
[4] presented the governing equation for the problem we are dealing with. [4] also provided a complex analytical integral solution which requires numerical integration. [4] interpreted the pressure tests by numerical solutions and regression analysis, which means matching the well pressure response to the simulator response.
3. MATHEMATICAL FORMULATION
The problem considered here, presented by [4], involves the production of a Bingham fluid from a fully penetrating vertical well in a horizontal reservoir of constant thickness; the formation is saturated only with the Bingham fluid. The basic assumptions are:
- Isothermal, isotropic, and homogeneous formation.
- Single-phase horizontal flow without gravity effects.
- Darcy’s law applies (Eq. 2)
- Constant fluid properties and formation permeability.
The governing flow equation can be derived by combining the modified Darcy’s law with the continuity equation and is expressed in a radial coordinate system as:
(3)
The density of the Bingham fluid, r(P), and the porosity of the formation, fi = f(P), are functions of pressure only, so the solution of the Eq. 3 is:
(4)
The initial condition is:

At the wellbore inner boundary, r = rw, the fluid is produced at a given production rate, q, then the inner boundary condition is:
(5)
4. FUNDAMENTAL EQUATIONS
The dimensionless pressure PD, the dimensionless time tD, the dimensionless radius, rD and the dimensionless pressure gradient, GD (conveniently introduced here) are expressed as:
(6)
(7)
(8)
(9)
5. INTERPRETATION METHODOLOGY
The way the interpretation equations are formulated follows the philosophy of the Tiab´s Direct Synthesis, TDS, Technique, introduced by [6].
1) For radial flow and Newtonian fluid, the dimensionless pressure derivative is:
(10)
For a Bingham-type non-Newtonian fluid, this behavior changes by observing that there is a point where the dimensionless pressure derivative is high and this increases with an increase of GD and the reservoir radius, Figs. 2 and 3. Fig. 4 shows the trend between the dimensionless outer radius and the dimensionless derivative pressure maximum for various GD. The slope of each line is the product
. So by grouping all the straight lines in one, we obtain the following relationship:
(11)
(12)
Alter plugging the dimensionless quantities in the above expressions, it yields, respectively:
then,
(13)

Figure 2. Dimensionless pressure and derivative pressure
for reD = 9375

Figure 3. Dimensionless pressure and derivative pressure
for GD = 1.333x10-3

Figure 4. Relationship between the dimensionless radius
and the dimensionless derivative pressure at its peak
2) The behavior of the dimensionless pressure is added to the equation for radial flow and Newtonian fluid to produce an additional quantity we call "Bingham effect" which does not depend upon reservoir size, Fig. 5.
(14)
where:
(15)

Figure 5. Correlation for the "Bingham effect"
3) The skin factor, s, can be obtained by dividing Eq. 14 with Eq. 12:
(16)
In G = 0 the fluid is Newtonian which leads to the normal equations for obtaining permeability and skin factor as presented by [6].
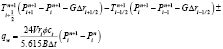
4) As observed in Fig. 2, the late pressure derivative coincides with that of a Newtonian fluid. Then, according to [7], the reservoir drainage area can be estimated from any convenient point during the late pseudosteady state derivative.
(17)
Which can be applied for t = 1 hr, extrapolating if necessary, so Eq. 17.a becomes:
(18)
Permeability can also be determined by relating the dimensionless outer radius with the maximum dimensionless time. This relationship works for any GD as shown in Fig. 6. The resulting equation is:
(19)

Figure 6. Relationship between the dimensionless outer
radius and the maximum dimensionless time
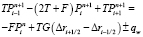
5) Eqs. 13 and 19 are functions of the external reservoir radius. When the late pseudosteady-state flow is not developed, then permeability is obtained by equating Eqs. 14 and 19. This yields:
(20)
Eq. 20 is solved iteratively using the Newton-Raphson method (or any other) by choosing an initial value of permeability, until the difference between the new and previous value is less than 0.001.
(21)
(22)
(23)
6) Fig. 7 shows a relation between the dimensionless minimum pressure gradient and the Cartesian slope of the pressure derivative values during the radial flow regime. If there is no peak in the derivative pressure, obtaining the Cartesian slope of the derivative pressure against time, we can obtain the permeability.
(24)

Figure 7. Relationship between Cartesian slope from the pressure
derivative during radial fl ow and dimensionless pressure gradient
6. EXAMPLES
6.1. Synthetic example 1
With the information taken from [9] obtain the formation permeability and the skin factor from a reservoir that produces a Bingham-type fluid with a G = 0.0044 psi/ft (100 Pa/m)
Pi = 1450 psi q = 272 STB/D h = 3.2 ft
f = 20 % k = 1000 md mB = 1 cp
rw = 0.32 ft B = 1 rb/STB ct = 4.52x10-6 psi-1
SOLUTION
From Fig. 8, the following information is read:
DPr, máx. = 110.5 psi (t*DP’) r, máx.= 9.7 psi
(t*DP’) p1 = 0.43 psi tr,máx = 4.01 hr

Figure 8. Pressure and pressure derivative for example 1
The drainage area is obtained from Eq. 18 using information from the late pseudosteady-state regime:

Assuming a circular reservoir shape, the reservoir radius, re, is 4035.75 ft.
Formation permeability is estimated from Eq. 14:

The dimensionless minimum pressure gradient, Eq. 9, is:

Now, skin factor can be estimated from Eq. 16:

Eq. 19 is employed to estimate formation permeability as follows:

Since GD is small enough for the application of the semilog (conventional) straight-line method, the semilog slope is obtained from Fig. 9, then:




Figure 9. Semilog plot of pressure vs. time for example 1
These last two equations were presented in a monograph published by [8]. However, the conventional method or straight -line method is difficult to apply in this type of systems, especially when GD > 5.33x10-4, since no straight line is formed during radial flow, as seen in Fig. 10.

Figure 10. Dimensionless semilog plot
6.2. Synthetic example 2
A drawdown test for a well centered in a closed circular reservoir with a G = 0.44 psi/ft was generated with the information given below. Use the TDS technique to interpret this test.
Pi = 3000 psi q = 300 STB/D h = 50 ft
k = 300 md mB = 3 cp rw = 0.35 ft
B = 1.25 rb/STB f = 20 % ct = 2x10-6 psi-1
SOLUTION
From Fig. 10, the information below was read:
DPr, máx. = 1128 psi (t*DP’) r, máx.= 456 psi
tr,máx = 25.0 hr
As seen in Fig. 10, the late pseudosteady-state regime was not developed for this test, so a trial-and-error procedure has to be used with Eqs. 20-22 starting with a permeability value of 400 md:



Figure 11. Pressure and pressure derivative for example 2
A summary of the following computations is shown below:

k » 299.2 md. Reservoir size is needed for the estimation of skin factor. Then, solving for re from Eq. 19:

The minimum dimensionless pressure gradient is obtained by means of Eq. 9. Afterwards, skin factor is calculated from Eq. 16,


s = -2.27
7. COMMENTS ON THE RESULTS
The two synthetic examples presented have shown that the proposed methodology and developed equations/correlations work very well. In the first example, permeability was estimated with an absolute deviation error less than 2.2 %. In the other example the deviation was 0.26 %. Although, for the first example, a good permeability value was obtained from the conventional technique since the value of the minimum pressure gradient was small. This means that the semilog straight line is still seen and representative. For the first example, the skin factors agree well. There is no comparison point for the second example.
CONCLUSIONS
- A new formulation for estimating permeability and skin factor in non Newtonian fluids in vertical wells using the TDS technique is presented. Although, some correlations are involved, their correlation coefficient is practically one in all the cases.
- A "Bingham effect" was introduced here on the dimensionless pressure variation. To maintain the same flow rate, the wellbore pressure decrease more rapidly as the minimum pressure gradient increases.
- As the minimum pressure gradient increases, the pressure derivative becomes asymmetrically more concave, displaying a maximum or "peak" point which is taken as a characteristic feature which is used for well test interpretation. The shape of the pressure derivative is also a function of reservoir size. As the reservoir size increases the time position of the peak increases. The time at which the pressure derivative is maximum is the same for any GD value and the same size of the reservoir.
- All the pressure derivative curves for the same reservoir radius tend to display the same pseudosteady state, which is employed for estimating the reservoir drainage area.
NOMENCLATURE

SUFFIXES

GREEK SYMBOLS

APPENDIX A. NUMERICAL SOLUTION
A logarithmic grid was used to solve the problem. The numerical solution was successfully tested for cases of G = 0 and, also, compared to the graphical solutions presented by Wu et al. (1992). The discretization process of Eq. 4 follows:
(A.1)
Where 
Solving for the transmissibilities, it yields:
(A.2)
Where 
It should be clarified that for the first grid point, ri-1/2=rw and for the last grid point (boundary), ri+1/2=re. Assuming constant petrophysical properties, the transmissibilities are:
(A.3)
Where 
Using the above relationships, the final equation applied to each gridpoint is:
(A.4)
Where,
,
, and


Application of Eq. A.4 to the first and last gridpoint, respectively, it will result:


The final tri-diagonal matrix system is solved by the Thomas algorithm.
REFERENCES
[1] KATIME, I., and TIAB, D., 2001. Analysis of Pressure Transient Test of Non-Newtonian Fluids in Infinite Reservoir and in the Presence of a Single Linear Boundary by the Direct Synthesis Technique. Paper SPE 71587 Paper SPE 71587 prepared for presentation at the 2001 SPE Annual Technical Conference and Exhibition held in New Orleans, Louisiana, 30 Sept.-3 Oct.
[2] IGBOKOYI, A. and TIAB, D. 2007. New Type Curves for the Analysis of Pressure Transient Data Dominated by Skin and Wellbore Storage - Non Newtonian Fluid. Paper SPE 106997 presented in the Productions Operation Symposium held in Oklahoma City, OK, March 31-April 4.
[3] OWAYED, J. F. and TIAB, D., 2008. Transient pressure behavior of Bingham non-Newtonian fluids for horizontal wells. Journal of Petroleum Science and Engineering, Volume 61, Issue 1, April 2008, Pages 21-32.
[4] WU, Y.S., 1990. Theoretical Studies of Non-Newtonian and Newtonian Fluid Flow Through Porous Media. Ph.D. dissertation, U. of California, Berkeley.
[5] BEAR, J., 1972. Dynamics of Fluids in Porous Media. Elsevier Science Publishers, New York City.
[6] TIAB, D., 1995. Analysis of Pressure and Pressure Derivative without Type-Curve Matching: 1- Skin Factor and Wellbore Storage. Journal of Petroleum Science and Engineering 12 (1995), p. 171-181.
[7] CHACON, A., DJEBROUNI, A., and TIAB, D., 2004. Determining the Average Reservoir Pressure from Vertical and Horizontal Well Test Analysis Using the Tiab's Direct Synthesis Technique. Paper SPE 88619 presented at the SPE Asia Pacific Oil and Gas Conference and Exhibition held in Perth, Australia, 18-20 October 2004.
[8] MATHEWS, C.S. and RUSSELL, D.G., 1967. Pressure Buildup and Flow Tests in Wells. SPE Monograph Vol. 1. 1967.
[9] WU, Y.S, PRUESS, K. and WITHERSPOON, P.A., 1992. Flow and Displacement of Bingham Non-Newtonian Fluids in Porous Media. SPE Reservoir Engineering. August 1992, p. 369-376.
Cómo citar
IEEE
ACM
ACS
APA
ABNT
Chicago
Harvard
MLA
Turabian
Vancouver
Descargar cita
Visitas a la página del resumen del artículo
Descargas
Licencia
Derechos de autor 2011 DYNA

Esta obra está bajo una licencia internacional Creative Commons Atribución-NoComercial-SinDerivadas 4.0.
El autor o autores de un artículo aceptado para publicación en cualquiera de las revistas editadas por la facultad de Minas cederán la totalidad de los derechos patrimoniales a la Universidad Nacional de Colombia de manera gratuita, dentro de los cuáles se incluyen: el derecho a editar, publicar, reproducir y distribuir tanto en medios impresos como digitales, además de incluir en artículo en índices internacionales y/o bases de datos, de igual manera, se faculta a la editorial para utilizar las imágenes, tablas y/o cualquier material gráfico presentado en el artículo para el diseño de carátulas o posters de la misma revista.




