CALIDAD MICROBIOLÓGICA DEL AGUA DE LA BAHÍA DE SANTA MARTA, COLOMBIA
CALIDAD MICROBIOLÓGICA DEL AGUA DE LA BAHÍA DE SANTA MARTA, COLOMBIA
MICROBIOLOGICAL WATER QUALITY OF SANTA MARTA BAY, COLOMBIA
MARIA VICTORIA MOSCARELLA
Universidad del Magdalena, mary_vicky22@hotmail.com
FRANCISCO GARCÍA
Universidad del Magdalena, Docente, fcofdogarcia@yahoo.com
CARLOS PALACIO
Universidad de Antioquia, Docente, cpalacio@udea.edu.co
Recibido para revisar mayo 13 de 2009, aceptado marzo 2 de 2010, versión final junio 22 de 2010
RESUMEN: Se monitoreo la calidad del agua utilizando como indicador los coliformes fecales y totales en la bahía de Santa Marta. El grado de contaminación fue determinado mediante el análisis de datos de calidad del agua en nueve estaciones de muestreo. Cuatro de ellas en las playas de Santa Marta, Taganga, Playa Grande y el Rodadero; dos en las desembocaduras de los ríos Manzanares y Gaira y las tres restantes en la descarga del emisario submarino a diferentes profundidades (Fondo, Profundidad media y Superficie). Las muestras fueron tomadas entre enero de 2006 y diciembre de 2008 cada dos meses. Se encontró una asociación entre el vertimiento del emisario submarino cuyo caudal fue estimado en 1028,64±163,9 (L/s) y la calidad del agua en Taganga y Santa Marta. Se examinó el grado de contaminación en las estaciones de muestreo, encontrando niveles de contaminación media en la playa de Santa Marta, las desembocaduras de los ríos y la estación en la superficie del emisario submarino.
PALABRAS CLAVES: aguas recreacionales, calidad del agua, monitoreo.
ABSTRACT: Water quality in Santa Marta bay was monitored using fecal and total coliforms. The pollution degree was determined by water quality data analyzing at nine sampling stations. Four of them on the beaches (Santa Marta, Taganga, Playa Grande and Rodadero), two at the mouths of Manzanares and Gaira rivers and the last in the submarine outfall discharges in different depths (Bottom, medium depth and surface). Samples were collected between January 2006 and December 2008, every two months. An association between the submarine outfall discharges (the flow was estimated at 1028.64 ± 163.9 L/s) and the water quality in Taganga and Santa Marta was found. The pollution degree at the sampling stations was examined, the Santa Marta beach, the mouths of the rivers and the submarine outfall surface station showed pollution at medium level.
KEY WORDS: Bathing waters, water quality, monitoring.
I. NTRODUCCIÓN
En general el océano provee una extensa capacidad de asimilación, lo cual es aprovechado para disponer las aguas residuales producidas por muchas comunidades alrededor del planeta [1,2]. Hasta hoy, la disposición de residuos líquidos domésticos en el mar es considerada una de las formas más confiables de disposición de aguas residuales [1]. Una gran cantidad de ciudades costeras en el mundo usan los sistemas de emisarios submarinos dadas las ventajas técnicas y económicas de esta tecnología [1,2]. Técnicamente las descargas de aguas residuales son admisibles a profundidades mayores a 20 metros para una mejor dispersión y difusión, donde se reducen automáticamente los niveles de concentración de materiales orgánicos e inorgánicos [3]. Sin embargo, el vertimiento de aguas residuales sin tratamiento o parcialmente tratadas puede resultar en la contaminación de los ambientes marinos [4].
La bahía de Santa Marta es considerada uno de los destinos turísticos más importantes de Colombia, a esta llegan anualmente cerca de un millón de turistas, cuya mayor afluencia se produce en la temporada que va de diciembre a enero. Algunos estudios de calidad de agua desarrollados en esta región [5,6,7] revelan indicios de contaminación de las aguas recreacionales en la bahía. Se han reportado periodos estacionales donde, los coliformes fecales y totales mostraron valores altos, superiores a los límites permisibles para aguas de contacto primario [7]. En esta ciudad costera las aguas residuales domesticas generadas por cerca de medio millón de habitantes, son dispuestas en el océano por un sistema de emisario submarino que se extiende 428 metros de longitud desde la línea costera, en tubería de polietileno de alta densidad y 1 metro de diámetro; los difusores para la descarga del agua residual están situados en los últimos 120 metros de la misma, conformados por 31 orificios de 0,15 metros de diámetro cada uno, espaciados a 4 metros entre sí, para descargar los residuos líquidos a una profundidad de 56 metros. Actualmente se disponen 950 litros por segundo (L/s) de aguas residuales sin tratamiento. La capacidad de descarga del emisario es de 2500 L/s que se esperan alcanzar hacia el año 2050. Adicional a esta descarga puntual, existen otras de tipo difusas a lo largo de la línea costera, generadas por sectores de la población como Taganga y el Rodadero Sur, que no están conectados al sistema de alcantarillado. Los ríos Manzanares y Gaira aportan otra cantidad importante de contaminantes al mar, dados los vertimientos que reciben estas corrientes en su recorrido. Otra fuente adicional de llegada de contaminantes a la bahía de Santa Marta lo constituye la escorrentía superficial que aporta cantidades considerables de sedimentos.
Las aguas recreacionales contienen generalmente, una mezcla de patógenos procedentes de la entrada de aguas residuales, efluentes de procesos industriales y actividades agrícolas [8,9]. Esta mezcla se constituye en un peligro potencial para los bañistas [10]. Los cuerpos de agua destinados para uso recreacional son categorizados en dos grupos. Los de contacto primario y secundario. Los primarios incluyen actividades de nado y buceo y en general actividades donde se requiere un contacto directo y prolongado con el agua donde pueda existir una alta probabilidad de ingerir cantidades suficientes de agua que puedan causar riesgos significativos para la salud. Los de contacto secundario incluyen la pesca entre otros usos, es decir, las personas no tienen contacto directo, o contactos incidentales o accidentales por pocos periodos de tiempo, donde la posibilidad de ingesta de agua es mínima [11]. Estudios epidemiológicos han establecido una relación entre contaminación del agua por coliformes fecales y enfermedades experimentadas por bañistas, en particular síntomas gastrointestinales [12,13,14,15,16]. Dadas estas evidencias existe la necesidad de examinar la calidad de las aguas marinas en zonas destinadas al turismo y a la recreación y donde ocurra la disposición de aguas residuales mediante sistemas de emisarios submarinos, con la finalidad de dimensionar el problema y perfilar medidas de manejo para disminuir los riesgos a la salud de las personas y favorecer la estabilidad de los ecosistemas marinos.
Una investigación para evaluar la calidad bacteriológica del agua en la zona costera de Santa Marta fue desarrollada por las Universidades del Magdalena y de Antioquia, con el auspicio de COLCIENCIAS, entre enero de 2006 y diciembre de 2008. Se efectuaron análisis estadísticos para detectar la correlación entre la concentración de coliformes fecales en el sitio de la descarga del emisario submarino y la calidad del agua en las bahías de Taganga, Santa Marta y el Rodadero. La relación entre condiciones estacionales y niveles de contaminación también fueron examinadas.
2. MATERIALES Y MÉTODOS
2.1 Área de estudio
La bahía de Santa Marta se ubica entre los 11°13’00’’ y 11°15’30’’ de latitud norte y 74°12’30’’ y 74°14’30’’ de longitud oeste en el Mar Caribe, presenta un área de 5 km2 aproximadamente y una profundidad promedio de 80 metros. La conformación de su línea de costa presenta litoral rocoso en los extremos sur y norte, el sustrato parental geológico de la bahía de Santa Marta consiste en rocas metamórficas de esquistos verde azulados [17]. El régimen climático regional comprende una época lluviosa de junio a noviembre y otra de sequía de diciembre a mayo, durante la cual se presenta la influencia de los vientos alisios del noreste, con una velocidad media de 6,0 m/s y rango de variación de 0,3 - 12 m/s [7,18,19]. Debido a la configuración de la costa y a la orientación, intensidad y constancia de los vientos alisios se presenta un evento de surgencia local moderado, durante la época seca [7].
La localización de la bahía de Santa Marta se puede apreciar en la figura 1, donde a la vez se muestran los sitios donde se ubicaron las estaciones de muestreo para la investigación. En total se monitorearon nueve estaciones, cuatro en playa (Playa Grande, Taganga, Santa Marta y Rodadero), dos estaciones en desembocadura de ríos tributarios (Gaira y Manzanares) y una estación en la descarga del emisario submarino. En esta última estación se tomaron muestras en la superficie del agua, a profundidad media (28 m) y en el fondo (54 m). Para la localización de los puntos de muestreo se consideró la actividad de bañistas y las fuentes de entrada de contaminantes al área de estudio, dadas las descargas naturales y/o artificiales [20].

Figura 1: Localización área de estudios y estaciones de muestreo
Figure 1: Localization of the study area and sampling stations
2.2 Recolección de muestras
La investigación fue conducida entre enero de 2006 y diciembre de 2008, se tomaron muestras a intervalos bimestruales durante este periodo. Las muestras de las estaciones de playas, desembocadura de ríos y en la superficie de la descarga del emisario, se recogieron directamente a 30 cm de la superficie del agua. A profundidad media y en el fondo de la estación en la descarga del emisario se usó un muestreador horizontal tipo Van Dorn. Para las determinaciones bacteriológicas, el agua se colectó en recipientes de vidrio estériles de 100 ml de capacidad. El punto de muestreo en todas las estaciones excepto en la descarga del emisario se ubicó en zonas donde la profundidad fue 1 metro [20,21]. La toma de muestras para este estudio se llevó a cabo a las 11 a.m. en todas las estaciones y en cada jornada de muestreo [21]. Las muestras de agua obtenidas se almacenaron para su transporte a 4 °C y se trasladaron al laboratorio de calidad del agua de la Universidad del Magdalena donde fueron procesadas antes de 24 horas. Todas las muestras fueron analizadas en laboratorio por medio del recuento indirecto por tubos múltiples de fermentación expresado en el número más probable (NMP) en 100ml de agua siguiendo las recomendaciones de los métodos estándar [22]. En la Tabla 1 se muestran las variables analizadas y los métodos de referencia usados en su determinación.
Tabla 1. Variables analizadas en el agua de mar.
Table 1. Seawater analized variables

2.4 Caracterización de la descarga
En la caracterización de la descarga del emisario submarino se utilizó la técnica de muestra compuesta compensada de acuerdo al caudal. Las muestras fueron tomadas en la estación de bombeo antes de entrar al tanque de almacenamiento y homogenización para su impulsión al mar. La valoración de la cantidad y composición de las aguas residuales se efectuó cada 15 días en el periodo comprendido del 3 de enero al 27 de diciembre del 2006. Las jornadas de muestreos se desarrollaron durante 24 horas. Cada 20 minutos durante el muestreo se tomó un litro de agua residual y se midió el caudal de circulación. Las 72 muestras fueron almacenadas y refrigeradas a 4º C, posteriormente fueron trasladadas al laboratorio, donde se compusó un volumen de 5 litros con 72 alícuotas tomadas una de cada muestra con un volumen proporcional al caudal registrado durante su recolección. La muestra compuesta fue analizada mediante metodologías estandarizadas especificadas en el Standard Methods for the Examination of Water and Wastewater [22]. En la tabla 2 se muestran los parámetros considerados para la determinación de la composición de las aguas residuales así como los equipos y las técnicas de referencia usadas en su determinación.
Tabla 2. Variables analizadas en el agua residual
Table 2. Wastewater analized variables

2.5 Tratamiento estadístico
El estudio estadístico de la posible afección ocasionada por el vertimiento continuo del emisario sobre el estado del agua en la bahía de Santa Marta se llevó a cabo mediante la combinación de diferentes técnicas (estadística descriptiva, ANOVA y correlación). Primero se analizaron las tendencias espaciales y temporales de variación y, en una segunda fase, se evaluó la tendencia general de evolución del sistema. La primera parte del estudio comenzó con el análisis general de los parámetros estadísticos descriptivos (media, desviación típica, valores máximos y mínimos) de cada una de las variables analizadas agrupadas en las distintas estaciones y campañas realizadas. Posteriormente, a partir de la misma matriz de datos brutos, se estableció la significación estadística de las diferencias entre las variables analizadas en las distintas campañas mediante sendos análisis de la varianza de una vía. Debido a la falta de normalidad de los datos de la mayoría de las variables y de la heterogeneidad de algunos grupos de varianzas, se optó por el empleo de una técnica de análisis de la varianza no paramétrica, el ANOVA de rangos de Kruscal-Wallis
3. RESULTADOS Y ANÁLISIS
3.1 Descarga de aguas residuales
La caracterización química de la descarga de agua residual en la bahía de Santa Marta dada la operación del emisario submarino durante el año 2006, se muestra en la tabla 3. Se encontró un caudal promedio de 1028,64±163,9 L/s, mientras que la DQO promedio fue de 650,84±97,2 mg O2/L. De acuerdo a ello, la carga promedio de contaminantes aportada al mar es de 57,83±1,37 Ton DQO/día. Los resultados mostraron que las características químicas del agua residual en la ciudad de Santa Marta están en un nivel de contaminación entre media y alta de acuerdo a la concentración de los parámetros muestreados. Los sólidos totales y la DBO mostraron valores altos, atípicos para aguas residuales urbanas, lo cual muestra un alto contenido de materia orgánica, determinando que las aguas residuales son predominantemente de origen domiciliario con una muy baja contribución del sector industrial. El valor alto en los sólidos totales puede ser un indicativo de la cantidad de arenas y sedimentos que arrastra el alcantarillado, pues en algunos sectores de la ciudad este sistema, se usa para evacuar igualmente las aguas lluvias o en general la escorrentía superficial. La carga de nutrientes vertidos en forma directa por la disposición de aguas residuales en la bahía de Santa Marta es de 2,92±0,1 Ton N/día y 1,37±0.06 Ton P/día para el caso del nitrógeno y el fósforo total respectivamente. La variación temporal de los parámetros caracterizados en el agua residual dispuesta por el emisario submarino de Santa Marta se muestra en las figuras 2 y 3.
Tabla 3. Resumen de los resultados de los análisis del agua residual de santa Marta, 2006.
Table 3. Summary of results of analyses of from Santa Marta wastewater, 2006


Figura 2. Variación temporal de nitrógeno, fósforo y grasas y aceites en el agua residual, 2006
Figure 2. Total Nitrogen, total phosphorus and oil and fat wastewater temporal variation, 2006

Figura 3. Variación temporal de DBO y DQO en el agua residual, 2006
Figure 3. BDO and CDO wastewater temporal variation, 2006
3.2 Coliformes fecales
3.2.1 playas
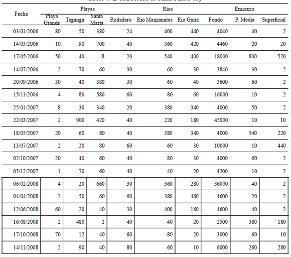
Los resultados de las determinaciones de coliformes fecales en las diferentes estaciones monitoreadas se muestran en la tabla 4. Las estaciones ubicadas en playas, presentaron concentraciones entre <2 y 900 NMP/100 ml. En las playas muestreadas, el valor más alto de coliformes fecales se encontró en Taganga, pese a ello solo el 11,1 % de los datos en esta estación (2 de 18 muestras) presentaron valores superiores al límite establecido por la norma para concentraciones de coliformes fecales en aguas de contacto primario. El promedio de los valores de la concentración de coliformes fecales resultó inferior a este límite en las estaciones de Playa Grande (21 NMP/100 ml), Rodadero (37 NMP/100 ml) y Taganga (120 NMP/100 ml). Para el caso de la Playa de Santa Marta el promedio de los datos (222 NMP/100 ml) fue superior al límite establecido por la normatividad (200 NMP/100 ml). En esta playa el 38,8 % de los datos (7 muestras) presentaron valores superiores a la norma. En Playa Grande, Rodadero y Taganga, no se reportaron valores superiores a 200 NMP/100 ml.
Tabla 4. Resultados E-coli en la bahía de Santa Marta
Table 4. E-coli results at Santa Marta bay

3.2.2. Ríos
La concentración de coliformes fecales en el río Gaira estuvo cercano al límite establecido por la norma para aguas de contacto primario, pero no sobrepasó el mismo, pese a ello el 38,8 % de los datos (7 muestras) si sobrepasaron este limite. La estación en la desembocadura del río Manzanares mostró valores más críticos que los presentados en el río Gaira, allí 9 muestras (el 50 % de los datos) superaron el límite establecido por la normatividad y su promedio fue de 221 NMP/100 ml.
3.2.3 Emisario
Las estaciones en la descarga del emisario presentaron concentraciones entre 2 y 45000 NMP/100 ml. Como era de esperarse la estación en el fondo mostró las concentraciones de coliformes fecales más altas entre estos puntos de muestreos y en general de todo el estudio. En esta, todos los valores son superiores a la norma para contacto primario. Mientras que en los puntos a profundidad media y en la superficie solo 4 valores por nivel de profundidad (25 %) presentan concentraciones superiores a la norma. En ambos puntos el promedio de la concentración de coliformes fecales es menor a 200 NMP/100 ml, mientras que para la estación en el fondo de la columna de agua el promedio fue de 9880 NMP/100 ml.
3.3. Coliformes totales
3.3.1 playas
El resumen de las concentraciones de coliformes totales (NMP/100 ml) se presenta en la tabla 5. La concentración de este parámetro en las estaciones de Playa Grande, Santa Marta, Rodadero y Taganga, mostró un rango entre 1274 y 58 NMP/100 ml. Las estaciones ubicadas en las playas de Taganga y Santa Marta, presentaron valores altos en comparación a las playas del Rodadero y Playa Grande. Solo en estas dos estaciones, Santa Marta y Taganga, se encontraron valores superiores a la norma de calidad de aguas para contacto primario en lo referente a la concentración de coliformes totales (1000 NMP/100 ml). En la playa de Taganga se reportaron dos valores (el 11,1 % de la muestras) mientras que en Santa Marta las concentraciones que superaron el límite normativo correspondieron a 3 muestras (16,67 %). En Playa Grande y Rodadero no se encontraron concentraciones de coliformes totales superiores a 1000 NMP/100 ml. El test de Kruskal-Wallis mostró que hay diferencias estadísticamente significativas entre las medias a un nivel de confianza del 95.0%, reportándose tres grupos homogéneos, el primer grupo o de concentraciones bajas, conformado por las estaciones de Playa Grande y el Rodadero, en el segundo grupo está la bahía de Santa Marta y un grupo final formado por la bahía de Taganga. La figura 4 presenta el diagrama de cajas y bigotes de los datos de coliformes totales medidos entre los años 2006 y 2008 y diferenciados entre estaciones ubicadas en playas, ríos y emisario submarino. En esta última estación se discrimina la descarga ubicada en el fondo de la columna de agua de las concentraciones medidas a profundidad media y en la superficie.
Tabla 5. Resumen de concentraciones coliformes Totales, bahía de Santa Marta 2006 – 2008.
Table 5. Summary Total coliforms concetration, Santa Marta bay 2006 – 2008


Figura 4. Figura de cajas y bigotes para coliformes totales
Figure 4. Total Coliforms box and whisker plot
3.3.2. Ríos
En la desembocadura de los ríos estudiados se encontraron concentraciones de 417 NMP/100 ml. para el río Manzanares y 327 NMP/100 ml. para el Rio Gaira en el periodo entre enero de 2006 y diciembre de 2008. En ninguna de estas dos estaciones se reportaron valores de coliformes totales superiores a la norma para contacto primario. Las concentraciones medidas en la desembocadura del río Manzanares fueron sensiblemente superiores a las del río Gaira. El test de Kruskal-Wallis mostró que no hay diferencias estadísticamente significativa entre las medias a un nivel de confianza del 95.0%.
3.3.3 Emisario
En la superficie del agua en el punto donde se ubica la descarga del emisario submarino no se presentaron valores de coliformes totales superiores al límite establecido por la normatividad para contacto primario. El test de Kruskal-Wallis mostró que hay diferencias estadísticamente significativa entre las medias a un nivel de confianza del 95.0% entre fondo - superficie y fondo – profundidad media, más no entre la profundidad media y la superficie del agua.
3.4 Influencia de los vertimientos
La descarga del emisario submarino mostró una correlación positiva relativamente buena con las estaciones de playas en Santa Marta (0,4595) y Taganga (0,5747), mientras que para Playa Grande y el Rodadero la correlación medida por rangos de Spearman fue negativa. En el punto donde se ubica la descarga del emisario submarino se encontró que existe una baja correlación o correlación negativa entre el fondo de la columna de agua con la superficie y la profundidad media, sin embargo hay una correlación positiva alta (0,7272) entre la profundidad media y la superficie de la columna del agua en este mismo punto. La correlación entre el río Gaira y la playa del Rodadero es negativa, mientras que el río Manzanares mostró una correlación de 0,2041 con la playa en Santa Marta. Estos resultados sugieren que la descarga del emisario submarino tiene una influencia importante en la calidad microbiológica de las aguas en la bahía de Taganga y de Santa Marta, sin afectar el Rodadero ni Playa Grande. Buena parte de la variación de la calidad microbiológica del agua en estas dos estaciones (Santa Marta y Taganga) puede explicarse por las descargas del emisario submarino, los resultados sugieren que no menos del 50 % de los datos pueden obedecer a este criterio en ambas estaciones. El río Manzanares a su vez afecta la calidad del agua en la bahía de Santa Marta mientras que el río Gaira no parece tener ninguna influencia sobre la concentración de coliformes en el Rodadero.
3.5 Nivel de contaminación
El nivel de contaminación microbiológica en las estaciones monitoreadas se estableció utilizando la escala conceptual del grado de contaminación para los contaminantes microbiológicos, propuesta por Marín [7, 23]. La escala de valoración usada se presenta en la tabla 6. La figura 5 muestra los resultados de la clasificación del grado de contaminación microbiológica en las estaciones estudiadas, según este criterio. Se valoraron solo las aguas superficiales, es decir, no se tuvo en cuenta la descarga del emisario que sucede en el fondo de la columna de agua, ni los datos de la toma de muestra a profundidad media. Se encontró un nivel de contaminación media en las estaciones del emisario (superficial), la Playa de Santa Marta y la desembocadura de los ríos Manzanares y Gaira. Las restantes estaciones se clasificaron en el grado de no contaminadas. Ninguna estación resulto con grado de contaminación alta.
Tabla 6: Criterio para determinar el grado de contaminación microbiológica.
Table 6: Criteria for Microbiological pollution degree determination


Figura 5. Grado de contaminación microbiológica en la bahía de Santa marta
Figure 5. Microbiological pollution degree in Santa Marta bay
4. CONCLUSIONES.
El emisario submarino de Santa Marta vierte en la actualidad un caudal promedio diario que está entre los 900 y 1200 L/s, lo que equivale a aproximadamente el 40 % de su capacidad. Bajo estas condiciones se encontró una asociación entre la descarga de agua residual en la bahía de Santa Marta y alteraciones en la calidad del agua en las playas de Taganga y Santa Marta. La estación de monitoreo ubicada en la playa de Santa Marta presentan un nivel de contaminación media, según la escala de valoración considerada, donde se califica el hecho que más del 21 % de las determinaciones de coliformes fecales en las muestras colectadas presentan valores por encima de 200 UNF/ 100 ml, que es el límite establecido por la normatividad para aguas de contacto primario. Dado que en la playa de Taganga se encontró que menos del 20 % de los datos de la concentración de coliformes fecales sobrepasan el límite de la normatividad, se considera esta como no contaminada. A pesar que ambas playas reciben la influencia del vertimiento de aguas residuales mediante el emisario submarino, la playa en Santa Marta tiene una fuente adicional de aportes de contaminantes. Las concentraciones de coliformes fecales vertidas por el río Manzanares y determinadas en la desembocadura de este, mostraron una relación baja pero positiva con las concentraciones de este mismo parámetro en la playa de Santa Marta. El aporte adicional de contaminantes dada la desembocadura del río Manzanares pudiera explicar la diferencia en el grado de contaminación encontrado entre estas dos estaciones de muestreo (Santa Marta y Taganga). Sin embargo hay que considerar algunos fenómenos adicionales como los patrones de circulación, los tiempos de residencias de las bahías, la dispersión de los contaminantes y los fenómenos de dilución.
En el punto donde se ubica la descarga del emisario submarino, se encontró un nivel de contaminación medio a nivel de superficie. El test de Kruskal-Wallis mostró que hay diferencias estadísticamente significativas entre las medias de las concentraciones de coliformes fecales entre fondo y superficie y entre fondo y profundidad media, más no entre la profundidad media y la superficie del agua. Esta diferencia puede atribuirse al fenómeno de dilución influenciada por el momentum inducido en la entrada del agua residual al medio receptor y el efecto de boyancia generado por la diferencia de densidades. En el fondo de la columna de agua, la pluma de agua residual descargada apenas comienza su dilución, por tanto existen concentraciones fuertes de coliformes, mientras que en la superficie del agua la dilución esta en sus etapas finales. Igualmente, dado que se presume en el sitio donde se descargan las aguas residuales existe estratificación vertical por la existencia de dos capas de aguas de diferentes densidades, la pluma del agua residual descargada se queda en la capa del fondo sin afectar la calidad del agua en la superficie. En ocasiones este fenómeno de estratificación puede romperse por efectos de los fuertes vientos entre otros factores, haciendo que la pluma de agua residual aflore a la superficie afectando la calidad del agua en este punto de la columna de agua.
REFERENCIAS
[1] METCAL, F and EDDY. Wastewater Engineering, Treatment, Disposal and Reuse. McGraw-Hill, 1991.
[2] YANG, L. Review of marine outfall systems in Taiwan. Water Science and Technology, 31, 257-264, 1995.
[3] SHANMUGAM, P., NEELAMANI, S., AHN, Y., PHILIP, L., HONG, G. Assessment of the levels of coastal marine pollution of Chennai city, Southern India. Water Resources Management, 21(7) 1187-1206, 2007.
[4] LIU, W., KUO, J., YOUNG, C., and WU, M., Evaluation of marine outfall with three-dimensional hydrodynamic and water quality modeling. Environ Model Asses, 12 201-211, 2007.
[5] GÁMEZ, J. Impacto sobre las aguas costeras adyacentes al Emisario Submarino de Santa Marta (D.T.C.H), Caribe colombiano [tesis de grado]. Riohacha: Universidad de la Guajira, 2002.
[6] MARÍN, B., GARAY, J., RAMÍREZ, G., BETANCOURT, J., TRONCOSO, W., GÓMEZ, M. Diagnóstico y evaluación de la calidad ambiental marina en el Caribe y Pacífico colombiano red de vigilancia para la conservación y protección de las aguas marinas y costeras de Colombia. Diagnóstico Nacional y Regional 2005. INVEMAR; 2005.
[7] RAMOS, L., VIDAL, L., VILARDY, S. y SAAVEDRA, L. Análisis de la contaminación microbiológica (coliformes totales y fecales) en la bahía de Santa Marta, Caribe Colombiano. Acta biol. Colomb., 13(3) 87- 98, 2008.
[8] AFIFI, S., ELMANAMA, A., SHUBAIR, M. Microbiological assessment of beach quality in Gaza Strip. Egypt. J. Med. Lab. Sci. 9(1).
[9] ELMANAMA, A., FAHD, M., AFIFI, S., ABDALLAH, S., and BAHR, S. Microbiological beach sand quality in Gaza Strip in comparison to seawater quality. Environmental Research, 99 1-10, 2005.
[10] World Health Organization (WHO). Draft Guidelines for Safe Recreational Water Environment: Coastal and Fresh Water. WHO, Geneva. 1998.
[11] YAP, S. and KAHORU, T. A baseline study on water resources of the tourist island, Pulau Perhentian, Peninsular Malaysia, from an ecological perspective. The Environmentalist, 21, 273-286, 2001.
[12] CABELLI, J., DUFOUR, P., McCABE, J. and LEVIN, A. Swimming associated gastroenteritis and water quality. Am. J. Epidemiol., 115, 606-616, 1982.
[13] FLEISHER, M., KAY, D., WYER, M. and MERRETT, H. The enterovirus test in the assessment of recreational water-associated gastroenteritis. Water Res. 30(10), 2341-2346, 1996.
[14] KAY, D., FLEISHER, M., SALMON, L., JONES, F., WYER, D., GODFREE, F., ZELENAUCHJACQUOTTE, Z. and SHORE, R. Predicting the likelihood of gastroenteritis from sea bathing, results from randomized exposure. Lancet 344(8927), 905-909, 1994.
[15] KAY, D., BARTRAM, J., PRUSS, A., ASHBOLT, N., WYER, D., FLEISHER, M., FEWTRELL, L., ROGERS, A. and REES, G. Derivation of numerical values for the World Health Organization guidelines for recreational waters. Water Res., 38, 1296-1304, 2004.
[16] ELLIOTT, A. Prediction of illness risk near ocean outfalls using frequency distributions of bacterial concentrations. Wat. Res., 32(10) 3182-3187, 1998.
[17] BARTELS, G. Geomorphologische Höhenstufen der Sierra Nevada de Santa Marta (Kolumbien). Giessener Geogr. Schr., 21,1-56, 1970.
[18] ANDRADE, A. Análisis de la velocidad del viento en el mar Caribe. Bol Cient CIOH, 13,33-43, 1993.
[19] CABRERA, E. y DONOSO, C. Estudio de las características oceanográficas del Caribe colombiano. Región III, Zona I, PDCTM. Bol Cient CIOH. 13,19-32,1993.
[20] Minister of National Health and Welfare (WHNM). Guidelines for Canadian Recreational Water Quality, 1992. Avaliable: http://www.hc-sc.gc.ca/ewh-semt/pubs/water-eau/guide_water-1992-guide_eau-eng.php [citado 2 de Mayo de 2009].
[21] LAWS, E., ZIEMANN, D. and SCHULMAN, D. Coastal water quality in Hawaii: the importance of buffer zones and dilution. Marine Environmental Research, 48,1-21, 1999.
[22] American Public Health Association. Standards Methods for the examination of water and wastewater. 20 th ed.; Washington, APHA, AWWA,JWPCF, 1998.
[23] GARAY, J., MARÍN, B., CALVANO, N., RAMÍREZ, G., TRONCOSO, W., MEDINA, O., et al. Diagnóstico y evaluación de la calidad ambiental marina en el Caribe y Pacífico Colombiano. Red de vigilancia para la protección y conservación de la calidad de las aguas marinas y costeras. Tomo II. Informe Final. INVEMAR; 2001.
Cómo citar
IEEE
ACM
ACS
APA
ABNT
Chicago
Harvard
MLA
Turabian
Vancouver
Descargar cita
Visitas a la página del resumen del artículo
Descargas
Licencia
Derechos de autor 2011 DYNA

Esta obra está bajo una licencia internacional Creative Commons Atribución-NoComercial-SinDerivadas 4.0.
El autor o autores de un artículo aceptado para publicación en cualquiera de las revistas editadas por la facultad de Minas cederán la totalidad de los derechos patrimoniales a la Universidad Nacional de Colombia de manera gratuita, dentro de los cuáles se incluyen: el derecho a editar, publicar, reproducir y distribuir tanto en medios impresos como digitales, además de incluir en artículo en índices internacionales y/o bases de datos, de igual manera, se faculta a la editorial para utilizar las imágenes, tablas y/o cualquier material gráfico presentado en el artículo para el diseño de carátulas o posters de la misma revista.




