Comportamiento Poscosecha y Evaluación de Calidad de Fruta Fresca de Guayaba en Diferentes Condiciones de Almacenamiento
Keywords:
Psidium guajava L., frutas tropicales, vida útil, caracterización química y física (es)Downloads
Comportamiento Poscosecha y Evaluación de Calidad de Fruta Fresca de Guayaba en Diferentes Condiciones de Almacenamiento
Postharvest Behavior and Quality Evaluation of Fresh Fruit Guava in Different Storage Conditions
Carlos García Mogollón1; Katia Isabel Cury Regino2 y Saúl Dussán Sarria3
1 Profesor Asistente. Universidad de Córdoba - Sede Berastegui - Facultad de Ciencias Agrícolas. Carrera 6 No. 76-103, Montería, Córdoba, Colombia. <carlosalbertogm@hotmail.com>
2 Profesor Instructor. Universidad de Sucre - Departamento de Ingeniería Agroindustrial. Carrera 28 No. 5-267, Sincelejo, Sucre, Colombia. <katiacuryr@hotmail.com>
3 Profesor Asociado. Universidad Nacional de Colombia - Sede Palmira - Facultad de Ingeniería y Administración - Departamento de Ingeniería. Carrera 32 Chapinero, Vía Candelaria, Palmira, Valle del Cauca, Colombia. <sdussan@unal.edu.co>
Recibido: Octubre 15 de 2010; aceptado: Agosto 21 de 2011.
Resumen. La guayaba (Psidium guajava L.) cultivar Roja es un producto altamente perecedero cuando se conserva en condiciones inadecuadas de temperatura, humedad relativa y empaque. En este trabajo se evaluó el comportamiento poscosecha y los atributos de calidad de esta fruta. El producto se almacenó a diferentes condiciones de temperatura y empaque. La evaluación poscosecha se realizó durante 15 días y se utilizó un diseño completamente al azar con arreglo factorial consistente en tres factores: 1. Tiempo de almacenamiento con seis niveles (0, 3, 6, 9, 12 y 15 días), 2. Temperatura de almacenamiento con dos niveles; ambiente (37± 2 °C y 85 a 90% de HR) y refrigeración (9±2 °C y HR de 85 - 90%) y 3. Dos tipos de empaques; bandeja de poliestireno con película plástica de PVC o cubiertas con papel de aluminio. Durante el periodo de almacenamiento se observó que los factores tiempo, temperatura y tipo de empaque tienen un efecto estadístico significativo (P<0,05) sobre el diámetro equivalente (cm), esfericidad (%), masa específica aparente(g cm-3), SST (°Brix), pH y acidez titulable (% ácido cítrico) de las frutas. El producto empacado en bandeja de poliestireno cubierta con película plástica de PVC puede ser almacenado como fruta fresca con hasta 10 días a temperatura ambiente y hasta 15 días en refrigeración.
Palabras clave: Psidium guajava L., frutas tropicales, vida útil, caracterización química y física.
Abstract. The guava fruit (Psidium guajava L.) Red cultivar is a product very perishable when it is storage in inappropriate conditions of temperature, relative humidity and packing. In this work the postharvest behavior and quality indexes of fruit were evaluated. Fruits were storage to different temperatures and packing conditions. The postharvest evaluation was made during 15 days and was utilized a completely random factorial design with three factors: time of storage with six levels (0, 3, 6, 9, 12 and 15 days), storage temperature with two levels: room temperature 37 ± 2 °C and 85 to 90% RH) and cold storage (9±2 °C and 85 to 90% RH); two type of package: tray of polystyrene covered with PVC film or aluminum foil. During storage was observed that time, temperature and packing type, have significant statistic effect (P<0.05) on equivalent diameter, sphericity, bulk density, total soluble solids, pH and titratable acidity of fruits. The fresh fruit packed in polystyrene tray covered with PVC film can be storage for a period of 10 days at room temperature and for a period of 15 days in cold storage.
Key words: Psidium guajava L., tropical fruits, shelf life, chemical and physical characterization.
La guayaba (Psidium guajava L.) es una especie de amplia distribución y demanda en América Latina, en Colombia el consumo interno se da principalmente en fresco, como materia prima para la elaboración de jugos, néctares y bocadillo, es el caso del departamento de Córdoba, donde las plantaciones alcanzaron para el año 2007 un volumen de 1.488 t y 14.733 kg/ha (Ministerio de Agricultura y Desarrollo Rural, 2008). En el año 2008, el país contaba con 22 mil hectáreas sembradas y se obtuvo un rendimiento de 440 mil toneladas de fruta. La producción nacional se concentra en los departamentos de Santander, Meta, Tolima, Antioquia y Boyacá (ICA, 2009).
Comercialmente, las guayabas se agrupan en blancas y rojas, según la coloración que presenta la pulpa (González, 2010). La mayoría de los frutos frescos son catalogados como productos perecederos, por la tendencia inherente a sufrir deterioro fisiológico, presencia de enfermedades e infecciones o por el ataque de plagas; factores que inciden en las pérdidas desde el momento de cosecha, durante su acopio, distribución e incluso luego de adquiridas por el consumidor. En Colombia se estima que en frutas, incluyendo la guayaba, las pérdidas en poscosecha son altas y se acercan al 30% (CCI, 2006). La frecuencia de estas alteraciones se incrementa en la medida que el manejo de la fruta no es el adecuado (Alférez et al., 2003). Para el caso de la guayaba, los daños mecánicos son muy determinantes en el mantenimiento de la calidad del producto, daños en ocasiones imposibles de detectar a simple vista, pero que a medida que la fruta va terminando su vida de anaquel se hacen más evidentes, repercutiendo en cuestiones económicas (Yam et al., 2010).
Por ser una fruta altamente perecedera, la guayaba después de ser cosechada sufre pérdida de peso y reducción de su vida útil de 5 a 7 días, limitando su comercialización en mercados extranjeros (López y Mercado, 2006). Las pérdidas aumentan debido al manejo inadecuado que recibe el producto (Martínez et al., 2005), lo que conlleva a la búsqueda de alternativas que permitan aumentar la preservación de las bayas.
En función de la calidad del producto, el conocimiento de las características fisicoquímicas (sólidos solubles totales (SST), pH, acidez titulable (AT)) y las propiedades mecánicas (volumen, diámetro, peso específico) juegan un papel indispensable para lograr una buena presentación y conservación, permitiendo definir el manejo más adecuado del producto durante los periodos de precosecha, cosecha y poscosecha (Yirat et al., 2009). De igual manera, el conocimiento del comportamiento de propiedades físico-mecánicas y químicas en almacenamiento a diferentes condiciones y el empleo de diversos materiales de empaque, permiten establecer las condiciones óptimas para el tiempo de consumo y uso industrial (García et al., 2008).
El objetivo de este trabajo fue evaluar el comportamiento poscosecha y los atributos de calidad de la guayaba en fresco, conservada en diferentes condiciones de almacenamiento y empaque.
MATERIALES Y MÉTODOS
Preparación de la muestra. Las guayabas frescas cultivar Roja, fueron obtenidas de diferentes cultivos del corregimiento Retiro de los Indígenas del municipio de Cereté, Córdoba (Colombia) y presentaban madurez fisiológica, en el estado verde-maduro (cambio de color del verde oscuro al verde claro). Las frutas inicialmente fueron seleccionadas y clasificadas por tamaño e integridad, descartando aquellos que presentaban daños mecánicos, defectos fisiológicos y/o señales de ataque por patógenos.
Tratamientos utilizados y formas de almacenamiento. Las frutas fueron lavadas con una solución de agua más cloro en concentración de 200 μL L-1. A continuación se dispusieron 24 tratamientos derivados de dos condiciones de almacenamiento (37 ± 2 °C y 85 a 90% de HR y 9 ± 2 °C y HR de 85 a 90%) y dos condiciones de empaque (bandeja de poliestireno recubierta con película plástica de PVC o papel de aluminio). El valor de la HR corresponde al ambiente externo de los empaques, es decir, a la HR del aire de refrigeración y se determinó utilizando un termohigrómetro digital TFA® 30.5002 utilizado en ambientes de conservación. El mantenimiento de los niveles elevados de HR en el ambiente refrigerado se logró con el uso de bandejas que contenían agua con adecuada superficie de exposición para que permitiera su respectiva evaporación y humidificación del aire. En cada empaque se acondicionaron tres frutas para posteriores evaluaciones. Los resultados fueron analizados utilizando el programa estadístico Statgraphics Centurion XV y Microsoft Excel.
Métodos analíticos. Para medir los SST (°Brix), se utilizó un refractómetro Atago® según la norma colombiana NTC 4624 (ICONTEC, 1999); para determinar el pH se empleó un potenciómetro modelo PH211 Hanna Instruments® y los valores de AT (% ácido cítrico), se determinaron siguiendo la norma técnica colombiana NTC 4623 (ICONTEC, 1999). La masa se determinó usando una balanza modelo Scout Pro Ohaus® y la masa específica aparente (MESAP) en (g cm-3), por la relación entre la masa ocupada en un volumen conocido (probeta de 1000 cm3), el diámetro equivalente (de) en cm, y el valor de esfericidad (E) en porcentaje del fruto con la ayuda de un calibrador o pie de rey según el procedimiento propuesto por Mohsenin (1986). Las propiedades físicas fueron evaluadas cada tres días durante el periodo de almacenamiento.
Diseño experimental. En el experimento se utilizó un diseño completamente al azar en arreglo factorial 2x2x6 para un total de 24 tratamientos, dos condiciones de almacenamiento, dos condiciones de empaques y evaluados en seis tiempos de almacenamiento (0, 3, 6, 9, 12 y 15 días).
RESULTADOS Y DISCUSIÓN
Propiedades físicas. La combinación de los factores temperatura y empaque no tuvo un efecto sobre las propiedades físicas masa especifica aparente y diámetro equivalente (Figura 1), pero sí en la esfericidad de las guayabas cuando fueron refrigeradas y empacadas en papel de aluminio.

Figura 1. Efecto de las interacciones de temperatura y tipo de empaque (□: papel aluminio, x: bandeja) sobre las propiedades físicas de frutas de guayaba fresca. a: masa especifica aparente, b: diámetro equivalente, c: esfericidad.
En las guayabas en fresco la interacción del factor tiempo por temperatura y tipo de empaque durante el almacenamiento tienen un efecto significativo (P<0,05) sobre el diámetro equivalente (de), esfericidad (E) y masa específica aparente (MESAP) (Figura 2). Durante el periodo de almacenamiento, las propiedades físicas de las frutas que mayor variación presentaron fueron el de del 7,6 a 6,0 cm y E del 96 al 98% a condiciones ambientales y en refrigeración el de del 6,6 a 6,3 cm y E de 95 a 97%, evidenciando un cambio en la estructura física. Esta variación fue influenciada por condiciones inherentes al almacenamiento como son la dificultad de homogeneizar las muestras al inicio de la experimentación y en consideración a que durante la maduración, la velocidad de degradación de las sustancias pécticas por depolimerización y solubilización está relacionada con el ablandamiento de la fruta, además de que las células pierden humedad debido a la transpiración, disminuyendo la presión de turgencia y debilitando finalmente la estructura y consistencia de la fruta (Yirat et al., 2009).

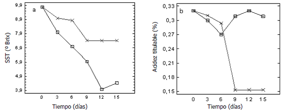
Figura 2. Efecto del tiempo de almacenamiento en dos temperaturas (□: ambiente, x: refrigeración) sobre las propiedades físicas de guayabas en fresco. a: masa especifica aparente. b: diámetro equivalente, c: esfericidad.
Propiedades químicas. El tiempo, la temperatura y el tipo de empaque en almacenamiento de guayabas en fresco presentaron efectos (P<0,05) sobre los valores de SST, pH y AT. La interacción de los factores temperatura por empaque tienen efecto significativo (P<0,05), sobre las propiedades químicas (Figura 3). Al considerar el empaque en bandejas de poliestireno cubiertas con película plástica de PVC o papel de aluminio, se tuvo un mayor efecto en el cambio de los valores de °Brix y AT.

Figura 3. Efecto de las interacciones de temperatura de almacenamiento y el tipo de empaque (□: papel aluminio, x: bandeja) sobre propiedades químicas de guayabas en fresco.
El comportamiento de las propiedades químicas de los frutos de guayaba en fresco empacadas en bandejas de poliestireno cubiertas con foil de aluminio, durante el tiempo de almacenamiento, evidencia una reducción en los valores de SST, (Figura 4-A), la que se acentúa cuando las frutas se almacenan a temperatura ambiente; por otro lado, a temperatura de refrigeración se observa un descenso de los valores de SST en los primeros cuatro días que luego se mantienen constantes. La ausencia de conversión de los almidones presentes en azúcares, se traduce en contenidos constantes o menores debidos a la reducción de la actividad respiratoria durante la refrigeración (Chitarra y Chitarra, 2005).

Figura 4. Efecto del tiempo de almacenamiento a diferentes temperaturas de conservación (□: ambiente, x: refrigeración) sobre las propiedades químicas de guayabas en fresco.
En Brasil, Azzolini et al. (2004), encontraron en guayaba dulce para el periodo poscosecha a temperatura de 25 ± 1 ºC, que las frutas en tres estados de madurez presentaron valores de SST de 6,9; 7,3 y 7,6 °Brix, resultados que son similares a los obtenidos en este estudio a los nueve días de almacenamiento a 37 ± 2 °C y 85 a 90% de HR y a 12 días en refrigeración. El pH inicial de 3,60 aumentó a 4,70 y 4,05 cuando se almacenó a 9 °C y 37 °C respectivamente, empacada en bandejas de poliestireno cubiertas con papel de aluminio, a diferencia del empaque en bandeja de poliestireno cubierta con película plástica de PVC, que se mantuvo en el rango de 4,11 a 4,13 a ambas temperaturas; incrementos similares se observaron en guayabas almacenadas a 10 °C (Castellano et al., 2005). El pH sufre un ligero aumento en el tiempo, lo cual concuerda con lo reportado por Yirat et al. (2009), quienes observaron este comportamiento en guayabas y mandarinas almacenadas a temperatura ambiente en cajas de madera y cartón respectivamente.
El aumento de los valores de pH se traduce en menores valores de AT o disminución de ésta. Los valores de AT, en la guayaba conservada a temperatura ambiente no presentaron una disminución durante los primeros seis días y luego se mantuvieron constantes durante el almacenamiento. En las guayabas conservadas en refrigeración los valores de AT también presentaron una reducción moderada en este mismo periodo de almacenamiento para luego descender bruscamente hasta el final del periodo de evaluación (Figura 4-B).Laguado et al. (1999), al estudiar las características fisicoquímicas y fisiológicas en frutas de guayaba de los tipos Criolla Roja y San Miguel, encontraron que los ácidos libres en las frutas aumentan al comenzar el crecimiento, pero la concentración de estos disminuye por dilución, aumentando el pH a medida que la fruta madura. Por otro lado, el incremento en azúcares simples y la disminución de ácidos orgánicos en el tejido vegetal, involucran reacciones enzimáticas favorecidas por el daño físico, estos cambios afectan la relación dulce-ácido que determina el sabor del producto y su aceptación por parte de los consumidores. Los cambios en estas características se presentan en los primeros días de almacenamiento y la magnitud depende del producto (Beaulieu y Baldwin, 2001).
García et al. (2008) encontraron que el período óptimo de almacenamiento de frutas de guayaba para consumo en fresco a temperatura de 25 ºC y 81% de HR está entre uno y cuatro días después de la cosecha, en un estado inicial de maduración, verde pero apto para ingerir sin grandes dificultades; luego en los días cinco y seis posteriores, puede ser consumida como jugo natural y a los días siete y ocho está apta para ser procesada industrialmente. Considerando el tipo de empaque, los valores de la AT presentaron similar comportamiento al encontrado en función de la temperatura de almacenamiento. Según Alférez et al. (2003), en naranja y Dussán (2003), en higo, los valores de la acidez disminuyen en los primeros días de almacenamiento y después se elevan, situación provocada por el estrés en el momento de la recolección para después desacelerarse durante la maduración y futura senescencia como proceso natural.
CONCLUSIONES
La temperatura y humedad relativa de almacenamiento afectan las propiedades físico-químicas del fruto de guayaba e influyen en la fisiología de la maduración.
Las condiciones de empaque y manejo de guayabas en fresco inciden en su adecuada conservación.
La guayaba en fresco almacenada en bandeja de poliestireno cubierta con película plástica de PVC puede ser conservada hasta máximo 10 días en condiciones ambientales (37 ± 2 °C y 85 a 90% de HR) y hasta 15 días en refrigeración (9 ± 2 ºC y 85 a 90% de HR).
AGRADECIMIENTOS
Al Programa de Maestría en Ciencias Agroalimentarias, a la profesora Margarita Arteaga y al Ingeniero Daldo Araujo de la Facultad de Ciencias Agrarias de la Universidad de Córdoba.
BIBLIOGRAFÍA
Alférez, F., M. Agusti and L. Zacarías. 2003. Postharvest rind staining in Navel oranges is aggravated by changes in storage relative humidity: effect on respiration, ethylene production and water potential. Postharvest Biology and Technology 28: 143–152.
Aular, U. 2006. Consideraciones sobre el manejo postcosecha de frutas en Venezuela. pp. 13-18. En: Memorias. Jornada sobre Manejo Poscosecha de Frutas. Universidad Centroccidental, Barquisimeto, Venezuela.
Azzolini, M., A. Jacomino e I. Urbano. 2004. Índices para avaliar qualidade pós-colheita de goiabas em diferentes estádios de maturação. Pesquisa Agropecuaria Brasileira 39(2): 139-145.
Beaulieu, J. and E. Baldwin. 2001. Flavor and aroma of fresh-cut fruits and vegetables. pp. 391-425. In: Lamikanra, O. (ed.). Fresh cut fruits and vegetables science, technology and market. Technomics Publishing Co., Washington D.C. 167 p.
Castellano, G., O. Quijada, R. Ramírez y E. Sayago. 2005. Comportamiento poscosecha de frutas de guayaba (Psidium guajava L.) tratados con cloruro de calcio y agua caliente a dos temperaturas de almacenamiento. Revista Iberoamericana de Tecnología Postcosecha 6(2): 78-82.
Corporación Colombiana Internacional (CCI). 2006. Ministerio de Agricultura y Desarrollo Rural. Plan Hortícola Nacional–PHN (2006-2010), http://www.cci.org.co/publicaciones/1_PHNfinal.pdf. 511 p.; consulta: agosto 2011.
Chitarra, M.I. e A.B. Chitarra. 2005. Pós-colheita de frutos e hortaliças: fisiologia e manuseio. 2ª edição. ESAL/FAEPE, Lavras, Brasil. 783 p.
Dussán, S. 2003. Resfriamento rápido e armazenamento refrigerado do figo (Ficus carica L.) ‘Roxo de Valinhos’ e seus efeitos na qualidade da fruta. Tesis Doctoral. Faculdade de Engenharia Agrícola. Universidade Estadual de Campinas, Campinas, Brasil. 150 p.
García, A., A. Hernández, Y. García y M. Yirat. 2008. Establecimiento del período óptimo de almacenamiento para guayaba, mandarina y tomate guardados a temperatura ambiente. Revista Ciencias Técnicas Agropecuarias 17(3): 77-81.
González, I.A. 2010. Caracterización química del color de diferentes variedades de guayaba (Psidium guajava L.) colombiana. Tesis Magister en Ciencias –Química. Facultad de Ciencias. Universidad Nacional de Colombia, Bogotá D.C. 84 p.
Instituto Colombiano de Normas Técnicas y Certificación (ICONTEC). 1999. NTC 4623. Productos de frutas y verduras. Determinación de la acidez titulable. ICONTEC, Bogotá. 6 p.
Instituto Colombiano de Normas Técnicas y Certificación (ICONTEC). 1999. NTC 4624. Jugos de frutas y hortalizas. Determinación del contenido de sólidos solubles. Método refractométrico. ICONTEC, Bogotá. pp. 1-9.
Instituto Colombiano Agropecuario (ICA). 2009. Plan de choque para combatir el picudo de la guayaba. En: Noticias Agrícola, http://www.ica.gov.co/Noticias/Agricola/2009/Plan-de-choque-para-combatir-el-Picudo-de-la-Guaya.aspx. 1p.; consulta: agosto 2010.
Laguado, N., E. Pérez, C. Alvarado y M. Marín. 1999. Características fisicoquímicas y fisiológicas de frutos de guayaba de los tipos Criolla Roja y San Miguel procedentes de dos plantaciones comerciales. Revista de la Facultad de Agronomía 16(4): 382-397.
López, E. y E. Mercado. 2006. Cambios fisiológicos y de calidad en guayaba mínimamente procesada, Universidad Autónoma de Querétaro. pp. 41-46. En: Memorias. Simposium Nuevas Tecnologías de Conservación y Envasado de Frutas y Hortalizas. Vegetales Frescos Cortados. La Habana, Cuba.
Martínez, G., J. Dorantes, M. Ramírez, A. De la Rosa y O. Pozo. 2005. Efectos genéticos y heterosis en la vida de anaquel del chile serrano. Revista Fitotecnia Méxicana 28(4): 327-332.
Ministerio de Agricultura y Desarrollo Rural. 2008. Anuario de frutas y hortalizas 2003-2007. República de Colombia, Bogotá D.C. 284 p.
Mohsenin, N.N. 1986. Physical properties of plant and animal materials. Second edition. Gordon and Breach Science Publishers, New York. 882 p.
Yam, J., C. Villaseñor, E. Romantchik, M. Soto y M. Peña. 2010. Una revisión sobre la importancia del fruto de guayaba (Psidium guajava L.) y sus principales características en la postcosecha. Revista Ciencias Técnicas Agropecuarias 19(4): 74-82.
Yirat, M., A. García, A. Hernández, A. Calderín y N. Camacho. 2009. Evaluación de la calidad de la guayaba, variedad Enana Roja EEA-1-23, durante el almacenamiento a temperatura ambiente. Revista Ciencias Técnicas Agropecuarias 18(2): 70-73.
How to Cite
APA
ACM
ACS
ABNT
Chicago
Harvard
IEEE
MLA
Turabian
Vancouver
Download Citation
Article abstract page views
Downloads
License
Copyright (c) 2015 Revista Facultad Nacional de Agronomía

This work is licensed under a Creative Commons Attribution-NonCommercial 4.0 International License.
The journal allows the author(s) to maintain the exploitation rights (copyright) of their articles without restrictions. The author(s) accept the distribution of their articles on the web and in paper support (25 copies per issue) under open access at local, regional, and international levels. The full paper will be included and disseminated through the Portal of Journals and Institutional Repository of the Universidad Nacional de Colombia, and in all the specialized databases that the journal considers pertinent for its indexation, to provide visibility and positioning to the article. All articles must comply with Colombian and international legislation, related to copyright.
Author Commitments
The author(s) undertake to assign the rights of printing and reprinting of the material published to the journal Revista Facultad Nacional de Agronomía Medellín. Any quotation of the articles published in the journal should be made given the respective credits to the journal and its content. In case content duplication of the journal or its partial or total publication in another language, there must be written permission of the Director.
Content Responsibility
The Faculty of Agricultural Sciences and the journal are not necessarily responsible or in solidarity with the concepts issued in the published articles, whose responsibility will be entirely the author or the authors.






