A response surface model allowing nitrogen concentration to affect organic waste-derived compost
Modelo de superficie de respuesta que permite inferir concentración de nitrógeno en "compost" producido a partir de desechos orgánicos
DOI:
https://doi.org/10.15446/ing.investig.v29n3.15195Keywords:
compost, statistical design, factor, response surface model (en)compost, diseño estadístico, factores, respuestas (es)
Downloads
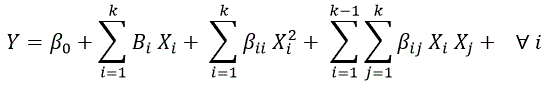
Differing human activities which have lead to different nations' economic development (excellent scientific, technological consequences and innovation) and caused changes which have not seemed to be the most suited for preserving the resources necessary for sustaining the lives of human beings living in the present or for those of future generations. The wasteful use of different power resources is leading to their exhaustion and substances and waste are being generated leading to environmental contamination. On the other hand, inadequate sanitary conditions are also being produced which can cause difficulties in the field of public health. The Central University of Venezuela has thus proposed dealing with and satisfactorily resolving solid-waste management by exploiting the organic fraction of the waste produced by the university's dining room for making compost. This requires implementing the composting and ensuring that the quality of the materials produced is reproducible. A useful tool for achieving the latter lies in producing a statistical design for composting, leading to a mathematical equation determining factors (independent variables) influence on response (dependent variable) (i.e. the likely power which initially mixed waste may have on nitrogen quality). This methodology leads to obtaining an equation allowing a response surface to be generated. This information would make it possible to control the quality of the product obtained (compost) according to the conditions laid down. This study was aimed at applying the Box-Behnken experimental design in drawing up a response surface model allowing conditions in producing compost to be considered where nitrogen contribution is reproducible. This statistical tool uses four factors or independent variables at three levels; they were: added waste portions (D), amount of sawdust (C) and added humidity (A), as well as aeration period (B). Response measured as nutrient input indicator was nitrogen (N). This design was based on 29 different trials combining the factors being considered. The surface model led to obtaining a quadratic function, as shown in the following equation:
https://i.postimg.cc/NM8hrpSB/eq1.gif
where Y corresponded to analysed response, X1, X2….X4 corresponded to the four selected factors and ε was random error. The following equation was thus obtained: ln(N-ammoniac) = lny2 = - 2,17 - 0.069 A – 0.24 B – 0.48 C + 0.15 D. The maximum point for the amount of nitrogen on the response surface was located by using the estimated equation. The model so obtained was verified by making more compost according to the maximum conditions indicated by the response surface model, finding that the quantity of nitrogen was that expected according to the model. This led to setting the optimum conditions for preparing compost from university dining room waste; its nitrogen contribution was reproducible.
Las actividades humanas que han conducido al desarrollo económico de las naciones, trayendo excelentes consecuencias científicas, tecnológicas y de innovación, también han ocasionado cambios que no parecen ser los más adecuados para preservar los recursos necesarios en el sustento de los seres vivientes presentes y las futuras generaciones. El uso de los recursos energéticos está conduciendo a su agotamiento y se están generando sustancias y desechos que conllevan a un problema de contaminación ambiental; por otro lado, también se producen condiciones sanitarias inadecuadas que pueden generar dificultades en el ámbito de la salud pública. En este orden de ideas, la Universidad Central de Venezuela se ha propuesto afrontar y resolver satisfactoriamente lo referente al manejo de los desechos sólidos que allí se generan, mediante el aprovechamiento de su fracción orgánica en los desechos generados en el comedor universitario, para la elaboración de abono orgánico. Para ello se requiere, además de implantar el proceso de compostaje, asegurar que la calidad del material producido sea reproducible. Una herramienta útil para lograr este último aspecto la constituye el realizar un diseño estadístico para el proceso de compostaje que permita obtener una ecuación matemática que determine la influencia que pueden tener los factores (variables independientes) sobre la respuesta, llamada variable dependiente, es decir, la atribución que pueden tener los desechos mezclados inicialmente sobre la cantidad de nitrógeno. Esa metodología conlleva a la obtención de una ecuación que permite generar una superficie de respuesta. Esta información permitiría controlar la calidad del producto obtenido, el abono orgánico, de acuerdo a las condiciones que se establezcan. El objetivo general del estudio fue el de elaborar un modelo de superficie de respuesta que permita estimar condiciones en la producción de abono orgánico cuyo aporte de nitrógeno sea reproducible. La tarea se planteó aplicando el diseño experimental de Box-Behnken, una herramienta estadística en la cual se utilizaron cuatro factores o variables independientes a tres niveles, que fueron: porciones agregadas de desechos (D), cantidad de aserrín (C) y humedad agregada (A), así como el periodo de aireación (B). La respuesta medida como indicador del aporte de nutriente fue el nitrógeno (N). Este diseño se elaboró en base a 29 ensayos, donde se combinaron los factores considerados. El modelo de superficie consistió en la obtención de una función estocástica cuadrática que tiene la siguiente ecuación general:
https://i.postimg.cc/NM8hrpSB/eq1.gif
donde Y corresponde a la respuesta analizada y X1, X2….X4 a los cuatro factores escogidos. El valor ε es el error aleatorio. La ecuación obtenida producto de este ensayo fue: ln N-Amoniacal = lny2 = - 2,17 - 0,069 A - 0,24 B - 0,48 C + 0,15 D. Con la ecuación estimada se ubica el punto máximo de la cantidad de nitrógeno en la superficie de respuesta. Para comprobar el modelo obtenido se elaboró otro abono de acuerdo a las condiciones máximas que indicaba el Modelo de superficie de respuesta y se encontró que la cantidad de nitrógeno era la esperada de acuerdo a éste, el cual permite establecer las condiciones óptimas para preparar abono orgánico a partir de los desechos provenientes del comedor universitario, cuyo aporte de nitrógeno es reproducible.
Carmen Carolla1 , Rebeca Sánchez2 y Edie Montiel3
1 Licenciada en química y Magíster Scientiarum Ingeniería Sanitaria, . Universidad Central de Venezuela UCV. Profesora, Cátedra de Química, Escuela de Bioanálisis, Facultad de Medicina, . Universidad Central de Venezuela. vicarolla@gmail.com, carmen.carolla@ucv.ve
2 Ingeniera química, Instituto Universitario Politécnico de Barquisimeto, Venezuela. Magíster Scientiarum Ingeniería Sanitaria, mención: Calidad del Agua y Magíster Scientiarum Investigación de Operaciones, Universidad Central de Venezuela. Directora, Coordinación de Investigación, Facultad de Ingeniería, UCV. rebecaucv@gmail.com
3 Licenciado en Biología y Magíster Scientiarum en Estadística, Universidad Central de Venezuela. Profesor, Escuela de Biología, Facultad de Ciencias, UCV. emontiel69@cantv.net
RESUMEN
Las actividades humanas que han conducido al desarrollo económico de las naciones, trayendo excelentes consecuencias científicas, tecnológicas y de innovación, también han ocasionado cambios que no parecen ser los más adecuados para preservar los recursos necesarios en el sustento de los seres vivientes presentes y las futuras generaciones. El uso de los recursos energéticos está conduciendo a su agotamiento y se están generando sustancias y desechos que conllevan a un problema de contaminación ambiental; por otro lado, también se producen condiciones sanitarias inadecuadas que pueden generar dificultades en el ámbito de la salud pública. En este orden de ideas, la Universidad Central de Venezuela se ha propuesto afrontar y resolver satisfactoriamente lo referente al manejo de los desechos sólidos que allí se generan, mediante el aprovechamiento de su fracción orgánica en los desechos generados en el comedor universitario, para la elaboración de abono orgánico. Para ello se requiere, además de implantar el proceso de compostaje, asegurar que la calidad del material producido sea reproducible. Una herramienta útil para lograr este último aspecto la constituye el realizar un diseño estadístico para el proceso de compostaje que permita obtener una ecuación matemática que determine la influencia que pueden tener los factores (variables independientes) sobre la respuesta, llamada variable dependiente, es decir, la atribución que pueden tener los desechos mezclados inicialmente sobre la cantidad de nitrógeno. Esa metodología conlleva a la obtención de una ecuación que permite generar una superficie de respuesta. Esta información permitiría controlar la calidad del producto obtenido, el abono orgánico, de acuerdo a las condiciones que se establezcan. El objetivo general del estudio fue el de elaborar un modelo de superficie de respuesta que permita estimar condiciones en la producción de abono orgánico cuyo aporte de nitrógeno sea reproducible. La tarea se planteó aplicando el diseño experimental de Box-Behnken, una herramienta estadística en la cual se utilizaron cuatro factores o variables independientes a tres niveles, que fueron: porciones agregadas de desechos (D), cantidad de aserrín (C) y humedad agregada (A), así como el periodo de aireación (B). La respuesta medida como indicador del aporte de nutriente fue el nitrógeno (N). Este diseño se elaboró en base a 29 ensayos, donde se combinaron los factores considerados. El modelo de superficie consistió en la obtención de una función estocástica cuadrática que tiene la siguiente ecuación general:
donde Y corresponde a la respuesta analizada y X1, X2 .X4 a los cuatro factores escogidos. El valor ε es el error aleatorio. La ecuación obtenida producto de este ensayo fue: ln N-Amoniacal = lny2 = - 2,17 - 0,069 A - 0,24 B - 0,48 C + 0,15 D. Con la ecuación estimada se ubica el punto máximo de la cantidad de nitrógeno en la superficie de respuesta. Para comprobar el modelo obtenido se elaboró otro abono de acuerdo a las condiciones máximas que indicaba el Modelo de superficie de respuesta y se encontró que la cantidad de nitrógeno era la esperada de acuerdo a éste, el cual permite establecer las condiciones óptimas para preparar abono orgánico a partir de los desechos provenientes del come-dor universitario, cuyo aporte de nitrógeno es reproducible.
Palabras clave: compost, diseño estadístico, factores, respuestas.
ABSTRACT
Differing human activities which have lead to different nations' economic development (excellent scientific, technological consequences and innovation) and caused changes which have not seemed to be the most suited for preserving the resources necessary for sustaining the lives of human beings living in the present or for those of future generations. The wasteful use of different power resources is leading to their exhaustion and substances and waste are being generated leading to environmental contamination. On the other hand, inadequate sanitary conditions are also being produced which can cause difficulties in the field of public health. The Central University of Venezuela has thus proposed dealing with and satisfactorily resolving solidwaste management by exploiting the organic fraction of the waste produced by the university's dining room for making compost. This requires implementing the composting and ensuring that the quality of the materials produced is reproducible. A useful tool for achieving the latter lies in producing a statistical design for composting, leading to a mathematical equation determining factors (independent variables) influence on response (dependent variable) (i.e. the likely power which initially mixed waste may have on nitrogen quality). This methodology leads to obtaining an equation allowing a response surface to be generated. This information would make it possible to control the quality of the product obtained (compost) according to the conditions laid down. This study was aimed at applying the Box-Behnken experimental design in drawing up a response surface model allowing conditions in producing compost to be considered where nitrogen contribution is reproducible. This statistical tool uses four factors or independent variables at three levels; they were: added waste portions (D), amount of sawdust (C) and added humidity (A), as well as aeration period (B). Response measured as nutrient input indicator was nitrogen (N). This design was based on 29 different trials combining the factors being considered. The surface model led to obtaining a quadratic function, as shown in the following equation:
where Y corresponded to analysed response, X1, X2 .X4 corresponded to the four selected factors and ? was random error. The following equation was thus obtained: ln(N-ammoniac) = lny2 = - 2,17 - 0.069 A 0.24 B 0.48 C + 0.15 D. The maximum point for the amount of nitrogen on the response surface was located by using the estimated equation. The model so obtained was verified by making more compost according to the maximum conditions indicated by the response surface model, finding that the quantity of nitrogen was that expected according to the model. This led to setting the optimum conditions for preparing compost from university dining room waste; its nitrogen contribution was reproducible.
Keywords: compost, statistical design, factor, response surface model.
Recibido: diciembre 29 de 2008
Aceptado: octubre 29 de 2009
Introducción
Según el Cuarto Informe de Evaluación del Intergovermental Panel on Climatic Change (IPCC), realizado en el año 2007, "a escala continental, regional y de cuenca oceánica, se han observado unmerosos cambios en el clima a largo plazo. Estos incluyen cambios en la temperatura y en el hielo árticos, cambios generalizados en la cantidad de precipitación, salinidad de los océanos, patrones de viento y ciertos eventos extremos que incluyen sequías, lluvias torrenciales, olas de calor e intensidad de los ciclones tropicales" (Pernía y Fornés, 2008).
Estos cambios en el clima parecen tener su origen en el hecho de que la población aumenta y como consecuencia, también se eleva la demanda de recursos energéticos para satisfacer sus necesidades básicas, siendo éstos una cantidad finita de la cual se debe beneficiar una población, que cada día es mayor. De acuerdo a la información conocida, los recursos naturales tienen un periodo de tiempo determinado de vida, es decir, que pueden llegar a agotarse de seguir un ritmo de consumo y contaminación similar. Es preocupante para las generaciones futuras que los recursos energéticos estén disminuyendo, porque esto podría acarrear cambios sustancialmente crónicos en las condiciones futuras del planeta (Pernía y Fornés, 2008).
El consumo energético está conduciendo a la generación de gases de efecto invernadero, a la acumulación de montones de desechos que pudieran ser aprovechados, y a la contaminación de mares, lagos, ríos, con sus consecuencias negativas para la vida acuática y las poblaciones biológicas.
En el presente se tiene cada vez más vigente la necesidad de implementar sistemas para la recolección y segregación de fracciones de la basura, reciclables o compostables. Si esto se logra, entonces se contribuiría al desarrollo sustentable de la sociedad (Mc Dougall y colaboradores, 2004).
En Venezuela se recicla parte del vidrio, papel y metal que se produce. En algunas universidades venezolanas existen experiencias relacionadas con el reciclaje de desechos orgánicos para elaborar abono. Un ejemplo de esto se presenta en la Universidad de los Andes, así como en la Universidad Simón Bolívar (Vivero El Horticultor, 2005. Visita; Fundacite Mérida, 1998).
La Universidad Central de Venezuela se ha planteado afrontar y resolver satisfactoriamente lo referente al manejo de los desechos sólidos que allí se generan, específicamente los provenientes del comedor universitario. Como consecuencia de sus actividades diarias, se estimó una producción de desechos en el orden de 0,8 ton /día sólo en el área de cocina.
Por otro lado, la legislación venezolana permite que la materia orgánica pueda ser reciclada para elaborar abono (Ley de residuos y desechos sólidos, 2004). No obstante, los criterios para definir la calidad del abono que se pueda elaborar a nivel nacional no están establecidos en ella. Ésta pudiera indicar ser definidos, para indicar los requisitos que debe cumplir el abono orgánico y de esta manera facilitar su utilización y posible comercialización.
El compostaje representa una alternativa agroambiental valiosa para resolver problemas de contaminación del entorno causados por la acumulación de desechos. A la vez, permite producir abonos orgánicos denominados compost, ricos en compuestos húmicos que una vez incorporados al suelo benefician sus características físicas, químicas y biológicas (Madrid y colaboradores, 2000). Además puede sustituir el uso excesivo de fertilizantes, químicos de los cuales se conocen sus efectos adversos a la salud y al ambiente por ser compuestos que podrían ocasionar intoxicación a la fauna acuática y eutrofización de los lagos (Kreith, 1994). Es importante considerar si se desea comercializar el producto obtenido.
Cuando se clasifican y se utilizan los desechos orgánicos biodegradables mediante el proceso de "compostaje", los desechos sólidos se reducen en aproximadamente 50%, por lo tanto, se puede decir que la cantidad de desechos sólidos a manejar para su disposición final sería menor (Tchobanoglous y Kreith, 2002).
La elaboración de abono orgánico también conduce a disminuir costos de manejo de los desechos y mejora las condiciones sanitarias de las áreas de donde se generan, pudiéndose disminuir el riesgo de enfermedades por proliferación de agentes patógenos. De esta forma se contribuye a incrementar la vida útil del relleno sanitario (Kreith, 1994).
Para caracterizar el producto final, el abono orgánico, se han aplicado métodos químicos, físicos y ensayos microbiológicos, utilizando criterios empíricos para su evaluación, que desafortunadamente no han sido consistentes; además no resultan sencillos de aplicar, pues implican tiempo de ejecución y disponibilidad de recursos considerables (Tchobanoglous y Kreith, 2002).
Las características del abono orgánico compost, obtenido a partir de la biodegradación de los materiales orgánicos presentes en los residuos y desechos sólidos, se ha establecido diversas determinaciones, entre las cuales se destacan: contenido nutricional, contenido orgánico, pH, textura, distribución del tamaño de las partículas, contenido de humedad, grado de estabilización o maduración, presencia de organismos patógenos, concentración de metales pesados, entre otros (Tchobanoglous y colaboradores, 1994). Algunas de estas características pueden garantizar el buen desarrollo del proceso de degradación, pero, no necesariamente se logra un abono cuyo aporte de nutrientes y características microbiológicas sean reproducibles. Es importante que el producto final, el abono orgánico, contenga los macro y micronutrientes bajo la forma química y cantidad necesaria. Los macronutrientes deben estar presentes en su forma química más simple en ambiente de humedad adecuada, con el fin de que sean aprovechados por los microorganismos y las plantas para su óptimo crecimiento, de ahí la importancia de que sea reproducible el aporte de nutrientes en el producto elaborado.
Es por esto que se propone una metodología que permitiría simplificar el proceso de elaboración del abono orgánico, la cual implicaría indicar las condiciones iniciales de la mezcla de desechos orgánicos para obtener abono cuyo contenido de nutrientes sea constante y reproducible.
Tomando en cuenta los beneficios mencionados es que se aprovechó el uso de los desechos orgánicos generados en el comedor universitario de la Universidad Central de Venezuela.
La técnica de elaboración de abono tiene sus raíces en el proceso ideado por sir Alfred Howard, en la India, en 1925, en el que se procesaban residuos orgánicos como basuras, paja y hojas en capas alternadas con estiércol y lodo cloacal (Trejo, 1996). Se desarrolló originalmente como un elemento para mejorar los suelos.
Lo expuesto conduce a proponer una metodología que permita determinar la combinación apropiada de los factores (mezcla inicial), tales que conlleve a la obtención de abono orgánico cuyo aporte de nutrientes sea reproducible.
Esta metodología consiste en la utilización del diseño multifactorial, herramienta estadística mediante la que se determina la influencia que pueden tener los factores (variables independientes) sobre las respuestas, llamadas variables dependientes. Ello permite confeccionar un diseño estadístico multifactorial que puede estimar la combinación inicial apropiada de los factores escogidos en el proceso de compostaje para obtener abono orgánico cuyo aporte de nutrientes sea óptimo y reproducible. Este diseño conforma una ecuación matemática que determinaría la influencia que pueden tener los factores (variables independientes) sobre la respuesta o variable dependiente, es decir, la atribución que pueden tener los desechos mezclados inicialmente sobre la cantidad de nitrógeno. Esta metodología conlleva a la obtención de una ecuación matemática que proporciona la formación de una superficie de respuesta. Esta última relaciona el aporte de nutrientes del abono en función de las condiciones de mezcla inicial. Así mismo, permiten seleccionar la mezcla inicial adecuada para lograr un producto cuyo aporte de nutrientes sea reproducible.
En este sentido resulta útil desarrollar un modelo de superficie de respuesta como herramienta que facilite la operación y elaboración de abono con calidad de nutrientes (nitrógeno) adecuada y reproducible para su uso.
Ahora bien, la metodología de superficie de respuesta (MSR), es un grupo de técnicas matemáticas y estadísticas útiles para el modelado y análisis en aplicaciones donde la respuesta de interés está influenciada por varias variables y donde el objetivo generalmente es el de optimizar (maximizar, minimizar u obtener un punto de silla) esa respuesta (Chacin, 2000).
Para llevar a cabo esta investigación se utilizó un diseño multifactorial de superficie de respuesta, herramienta estadística con la que se determinar la influencia que pueden tener los factores (variables independientes) sobre la respuesta. Esta metodología conlleva a la obtención de una ecuación que genera una superficie de respuesta. Los factores escogidos fueron: proporciones agregadas de desechos, cantidad de aserrín agregado, humedad añadida y periodo de aireación. La respuesta fue la cantidad de nitrógeno determinado del abono orgánico obtenido.
El nitrógeno es asimilado por las algas y las plantas, bien sea como amoniaco o como nitrato, para el crecimiento. Este elemento es el más importante después del carbono, por ser más abundante en la célula (Stainer y colaboradores, 1985).
En este sentido, los nutrientes que debe contener el abono orgánico producido deben ser suficientes y que estén disponibles aquellos asimilables para las plantas.
El diseño experimental para generar el modelo estimado de superficies de respuestas se conoce como diseño de Box-Behnken (1960), que se describe sucintamente:

Hay cuatro factores a considerar, con los se confeccionó un diseño en bloques incompletos balanceados de cuatro factores, obteniéndose seis bloques (C42 = 6) al combinar los tratamientos. A cada combinación se le denomina bloque incompleto, y el conjunto, diseño factorial de bloques incompletos (DFBI). En este caso se obtendrán seis bloques. Si los dos tratamientos por bloques se identifican con la letra X, el diseño experimental quedaría de la siguiente forma:
Ahora se combina el precedente DFBI con un diseño factorial (2K = 22 = 4), que se coloca a continuación para cada uno de los bloques.

Esta combinación se hace de la siguiente manera: cada fila o bloque identificada con la X se reemplaza con la matriz de diseño. Se agregan ceros cuando no exista X en las casillas de los bloques (Khuri y Cornell, 1966). En el diseño se incrementa el número de tratamientos debido a la adición de puntos centrales (0,0,0), que corresponden al nivel cero o central. El diseño de 3 niveles (-1, 0, 1) resultante de Box-Behnken para 4 factores, consiste de 27 puntos producto de esta superposición. A este diseño se le agregaron 2 tratamientos centrales extras que hacen un total de 29 ensayos.
Los niveles indicados (-1, 0, 1) están codificados, ya que cada valor representa a un nivel particular del factor, considerados el más bajo (-1), el más alto (1) y el central (0). En el desarrollo de esta investigación se codifican los niveles de los factores para facilitar el manejo de las funciones matemáticas. Sin embargo para obtener los valores originales se pueden decodificar posteriormente.
Dentro de los alcances de la investigación no se propuso comprobar si el abono orgánico producido satisface los requerimientos nutricionales de los cultivos o plantas.
El objetivo general del estudio fue obtener un modelo de superficie de respuesta que permita establecer condiciones para obtener los valores deseados de la concentración de nitrógeno en abono orgánico, producido a partir de los desechos sólidos generados en el comedor universitario de la Universidad Central de Venezuela en Caracas.
Metodología
La propuesta metodológica para alcanzar los objetivos planteados se basó en proponer varias fases a fin de cumplir con los requisitos involucrados en una investigación de tipo experimental. Las fases se estructuraron de la siguiente manera: Fase 1: estudios preliminares, Fase 2: influencia de los factores en la respuesta de los abonos realizados, Fase 3: construcción del modelo, y Fase 4: aplicación del modelo para elaborar abono orgánico.
Los ensayos se hicieron siguiendo el diseño desarrollado por Box-Behnken. Ello permitió preparar una muestra de 29 experimentos con una duración de 48 días. Para la estimación del modelo y prueba de las bondades de ajuste se utilizó el software: JMP ver 5.0.1; Systat ver 11; Statgraphics Plus ver 5.1 y Matlab 7.0.4
Las actividades realizadas para la ejecución del estudio se pueden resumir en los siguientes términos:
Fase 1: Estudios preliminares. Se realizaron tres experimentos, cuyos resultados permitieron seleccionar los factores y su rango de variación permisible para la obtención de abono orgánico. Los factores considerados en el modelo de superficie fueron: cantidad de desechos orgánicos medidos en kilogramos (Kg), cantidad de aserrín en kg, periodo de aireación como días y cantidad de agua agregada al inicio del proceso de degradación indicada como humedad agregada (taza = 250 mL).
Fase 2: influencia de los factores en la respuesta de los abonos. Se hizo la mezcla de manera rigurosa y siguiendo el orden aleatorio de la matriz de diseño que se explicó en la parte introductoria, de las cantidades de aserrín (C), desechos orgánicos (D), cantidad de agua (A) y el periodo de aireación (B). Se determinó la concentración de nitrógeno amoniacal en cada uno de los productos de degradación obtenidos.
La concentración de nitrógeno amoniacal se determinó de la siguiente manera: al extracto acuoso de cada experimento se le determinó el nitrógeno, empleando el método Kjeldahl, donde se titula la cantidad de amoniaco (NH3) contenido en la muestra acuosa, con ácido sulfúrico (H2SO4) 0.02 N (American Public Health Asociation, 1998). El equipo empleado para obtener el amoniaco (NH3) presente en la muestra fue: KJELDIS, PROLABO 2000, con capacidad de 300 mL, JP SELECTA, SA.
Fase 3: Construcción del modelo. Conociendo los valores correspondientes a los factores (variable independiente) y los de la respuesta (variable dependiente = nitrógeno amoniacal), se procedió a efectuar el modelo de superficie de respuesta, consistente en la obtención de ecuaciones matemáticas que relacionan las respuestas con los factores. Se elaboró el modelo de superficie de respuesta, a partir del cual se obtuvo la expresión matemática que representa la respuesta del sistema (variable dependiente) en función de los factores seleccionados en la fase anterior (variables independientes). Esa función es de la forma:
donde e es el error aleatorio (Montgomery, 2003).
Con los valores correspondientes a los factores que se manejaron y los valores correspondientes a la respuesta obtenida, se verificaron los supuestos, es decir, la respuesta obtenida debía seguir el comportamiento de una distribución normal con varianza constante. En este caso la varianza no fue constante, por lo que se realizó la transformación de los datos a una función matemática que permite obtener un comportamiento de distribución normal para los datos transformados.
El análisis de varianza para cada una de las respuestas conduce a la conclusión correspondiente. Es decir, al obtenerse el estadístico de prueba F, éste se comparó con el valor de F tabulado para los grados de libertad de cada factor y los del residual, pudiéndose determinar las relaciones correspondientes entre los factores y las respuestas. Se tomó como nivel de significación 0,05. En el caso donde el valor de F calculado resultaba mayor que el de F tabulado se concluyó que el factor considerado influye significativamente sobre la respuesta medida.
Además se determinó la probabilidad de que el valor de F calculado sea mayor que el de F tabulado y aquella obtenida por debajo de 0,05 coincide con la conclusión anterior, permitiendo asegurar que el factor considerado ejerce efecto sobre la respuesta, y por el contrario, si la probabilidad excede el valor esperado, indica que no produce cambios importantes sobre la respuesta analizada (Steel y Torrie, 1990).
Posteriormente se optimizó el modelo empleando un método interactivo que se desarrolló con la ayuda del software Statgraphics Plus, para obtener los valores máximos posibles correspondientes a la respuesta (ln Nitrógeno) y los factores correspondientes.
Fase 4: Aplicación del modelo para elaborar abono orgánico. Se preparó un nuevo experimento con las condiciones identificadas para obtener el máximo aporte de nutrientes, y se estableció la relación entre las respuestas predichas por el modelo y las medidas experimentales.
Resultados
Se realizó el análisis de residuales o de errores estimados, que permite visualizar el ajuste de los datos al modelo (Gráfico 1). La normalidad de los errores se corroboró con la prueba de Lilleford.

Las expresiones matemáticas que describen los modelos con las variables codificadas, y no codificadas respectivamente, se presentan a continuación:
ln(NAmoniacal) = - 2,17 - 0,069 humedad - 0,24 aireación - 0,48 aserrín + 0,15 desechos
ln(NAmoniacal) = -1.05 - 0.07 humedad - 0.08 aireación - 0.95 aserrín + 0,15 desechos
Posteriormente se efectuó el análisis de varianza, con el que se precisa si existe relación significativa entre los factores y la respues-ta medida (Tabla 1).

Es importante destacar que los efectos cuadráticos y las interacciones no fueron significativos, por lo tanto el modelo quedó reducido a uno lineal de primer orden. La transformación logarítmica fue necesaria para cumplir con los supuestos de normalidad y homocedasticidad.
Por otra parte se puede decir que el ln(Nitrógeno-amoniacal) depende significativamente de los factores B (aireación) y C (aserrín), ya que el error tipo I alfa (α) es menor a 0,05 (α < 0,05).
El modelo de superficie de respuesta correspondiente al macronutriente estudiado, el nitrógeno amoniacal, se representa en el gráfico 2. Estos factores se pueden manejar en la ecuación para obtener la cantidad de nitrógeno que se requiera en el abono orgánico a producir, dentro de los límites de confianza obtenidos para el valor de la respuesta máxima.

Humedad = 1,14 Tazas; Desechos = 2,00 Kg
Además se puede notar la variación del mismo en función de los factores significativos, aireación (B) y cantidad de aserrín (C).
En este gráfico se aprecia que al disminuir el periodo de aireación y la cantidad de aserrín, se incremente la cantidad de nitrógeno en el abono orgánico producido.
Se analizaron las ecuaciones correspondientes para las respuestas empleando el software Statgraphics Plus, con cuya ayuda se logra obtener los valores de los factores que permiten obtener el máximo valor para la concentración de nitrógeno-amoniacal, al tiempo que se determinó el intervalo de confianza. Los valores encontrados para los factores y la respuesta son los siguientes: humedad agregada (tazas) = 2,00; aireación (Días) = 8,00, aserrín (kg) = 1,05, desechos (kg) = 2,60; y la respuesta fue: y2 = N-NH3 (mg N/g abono) = 0,113935 con su intervalo de confianza entre 0,061 y 0,21. Para comprobar si el modelo de superficie de respuesta obtenido permite inferir los valores de la respuesta en el abono orgánico que se produce, se elaboró un nuevo abono. Al realizar el experimento correspondiente se encontró que los valores obtenidos para la respuesta medida están dentro del intervalo de confianza.
Conclusiones
El diseño factorial de Box-Behnken permitió la preparación de diferentes abonos orgánicos, a los cuales se les determinó la concentración de nitrógeno (aporte de nutriente). Este resultado en conjunto con los factores (cantidad de aserrín, C; desechos orgánicos, D; cantidad de agua, A y el periodo de aireación, B, permitieron elaborar el modelo de superficie. La ecuación que establece la relación causa-efecto en forma significativa entre las condiciones de mezcla inicial (factores) consideradas y el aporte del nutriente (respuesta) es la siguiente:
ln(Nitrógeno-amoniacal) = lny2 =- 2,17 0,24 B 0,48 C
De acuerdo a la ecuación obtenida se tiene que la cantidad de nitrógeno amoniacal en el abono orgánico depende significativamente del periodo de aireación (B) y de la cantidad de aserrín (C).
La metodología desarrollada para optimizar la superficie de respuesta conllevó a la localización del punto estacionario, el cual representó el punto máximo. De acuerdo a este análisis se obtienen los valores de los factores considerados para los cuales se produce el aporte de nutriente máximo. En la fase de aplicación del modelo se preparó abono orgánico a partir de las especificaciones obtenidas por él, encontrándose coincidencia entre los valores dados por el modelo y las determinaciones realizadas experimentalmente para el aporte de nutrientes máximo.
Se puede decir que el modelo permite establecer las condiciones óptimas para preparar abono orgánico a partir de los desechos provenientes del comedor universitario de la Ciudad Universitaria de Caracas, cuyo aporte de nutrientes es reproducible.
Recomendaciones
Para incrementar la diversidad de macronutrientes y su concentración se recomienda incorporar otros desechos orgánicos al proceso de compostaje. Se pueden agregar desechos orgánicos de otros tipos de vegetales comestibles, además de los de la poda de las áreas verdes de la CUC.
Por otro lado, se recomienda estudiar la presencia de las poblaciones de microorganismos durante el proceso de degradación de los desechos que darán origen al abono orgánico. Probablemente conociendo las condiciones en las cuales se desarrollan estas poblaciones durante el proceso aerobio, pudieran ser optimizadas y junto con otros parámetros contribuir en la obtención del mejor proceso para preparar un abono cuyo aporte de nutrientes sea reproducible. En el mismo orden de ideas, se pudiera conocer las condiciones que favorecen el proceso de degradación de los desechos en forma anaerobia y por consiguiente, de acuerdo al interés, evitarlas.
En la operación del "compostaje" existe la posibilidad de que los organismos patógenos sobrevivan si no se conduce correctamente. La ausencia de organismos patógenos es crítica, dado que el público y las plantas estarán expuestos al "compost". En general, la mayoría de los organismos encontrados en los desechos sólidos y en otros materiales orgánicos utilizados en el "compostaje" perecerán a las temperaturas y los tiempos de exposición utilizados en operaciones de "compostaje" controladas (Tchobanoglous y colaboradores, 1994). Sin embargo, se puede efectuar análisis microbiológico para determinar la presencia de agentes patógenos que puedan ser nocivos a las plantas y a las personas que manipulan el producto o la mezcla en degradación.
Se requiere evaluar en otros trabajos de investigación el aporte de untrientes u otras características del abono orgánico producido con el modelo de superficie obtenido, sobre las plantas, en algunos cultivos.
Este modelo de superficie puede ser incorporada en la política de
gestión de los desechos sólidos de la Universidad Central de Venezuela. La toma de decisiones queda en manos de las autoridades universitarias para acondicionar un área y proporcionar el personal necesario a fin de lograr la aplicación de esta métodología.
Se recomienda determinar la cantidad de nitrógeno bajo la forma de nitrato en el abono producido y así observar el aporte total de nitrógeno disponible para la nutrición de la planta.
Bibliografía
American Public Health Association, American Water Works Association y Water Environment Federation., Standard Methods for the Examination of Water and Wastewater., Autor, Washington, 1998.
Box, G. E. P., Behnken, D.W., Some new threelevel designs for to study of quatitative variables., Technometrics, 2, 1960, pp. 455-475.
Chacin, L. F., Diseño y Análisis de Experimentos para generar Superficies de Respuesta., Maracay: Universidad Central de Venezuela, Facultad de Agronomía, 2000.
Khuri, A. I., Cornell, J. A., Response Surface., Marcel Dexker, USA,1966, pp. 116-120.
Kreith, F., Handbook of Solid Waste Management., McGraw-Hill, USA, 1994.
La Fundación para el Desarrollo de la Ciencia y la Tecnología del Estado Mérida (Fundacite-Mérida)., Estación piloto de lombricultura del CIULAMIDE (1998-1999)., [Datos en línea]. Disponible: http://www.funmrd.gov.ve/webfunmrd/proyectos_apoyados.php [Consulta 2005, Octubre].
Ley de Residuos y Desechos Sólidos., Gaceta Oficial de la República Bolivariana de Venezuela., 38.068, Noviembre 18, 2004.
Madrid, C., Quevedo, V., Andrade, E., Estudio de la biotransfor-mación aeróbica de los desechos lignocelulósicos pergamino de café (Coffea arabica L.) y tallos de pasto guinea (Panicum maximum)., Revista Facultad de Agronomía de La Universidad del Zulia, No. 17, 2000, pp. 505-517.
Mc Dougall, F., White, P., Franke, M., Hindle, P., Gestión Integral de Residuos Sólidos: Inventario de Ciclo de Vida., Epsilon Libros, Caracas, 2004.
Montgomery, D., Diseño y análisis de experimentos., Limusa, Mexico, 2003.
Pernía, J. M., Fornés J. M., Cambio Climático y Agua Subterránea, Visión para los próximos decenios., Edipack Gráfico, España, 2008, pp. 2-11.
Stainer, R., Adelberg, E., Ingraham, J., Microbiología. Versión Española Actualizada., Editorial Reverté, España, 1985.
Steel, R., Torrie, J., Bioestadística: Principios y Procedimientos., McGraw-Hill, Mexico, 1990.
Tchobanoglous, G., Kreith, F., HandBook of Solid Waste Management., McGraw Hill, Nueva York, 2002.
Tchobanoglous, G., Theisen, H., Vigil, S., Gestión Integral de Residuos Sólidos., McGraw Hill/Interamericana de España, España, 1994.
Trejo, R., Procesamiento de la Basura Urbana., Trillas, España, 1996, pp. 187-213.
References
American Public Health Association, American Water Works Association y Water Environment Federation., Standard Methods for the Examination of Water and Wastewater., Autor, Washington, 1998.
Box, G. E. P., Behnken, D.W., Some new three-level designs for to study of quantitative variables., Technometrics, 2, 1960, pp. 455-475. DOI: https://doi.org/10.1080/00401706.1960.10489912
Chacin, L. F., Diseño y Análisis de Experimentos para generar Superficies de Respuesta., Maracay: Universidad Central de Venezuela, Facultad de Agronomía, 2000.
Khuri, A. I., Cornell, J. A., Response Surface., Marcel Dexker, USA,1966, pp. 116-120.
Kreith, F., Handbook of Solid Waste Management., McGraw-Hill, USA, 1994.
La Fundación para el Desarrollo de la Ciencia y la Tecnología del Estado Mérida (Fundacite-Mérida)., Estación piloto de lombricultura del CIULAMIDE (1998-1999)., [Datos en línea]. Disponible: http://www.funmrd.gov.ve/webfunmrd/proyectos_apoyados.php [Consulta 2005, Octubre].
Ley de Residuos y Desechos Sólidos., Gaceta Oficial de la República Bolivariana de Venezuela., 38.068, Noviembre 18, 2004.
Madrid, C., Quevedo, V., Andrade, E., Estudio de la biotransformación aeróbica de los desechos lignocelulósicos pergamino de café (Coffea arabica L.) y tallos de pasto guinea (Panicum maximum)., Revista Facultad de Agronomía de La Universidad del Zulia, No. 17, 2000, pp. 505-517.
Mc Dougall, F., White, P., Franke, M., Hindle, P., Gestión Integral de Residuos Sólidos: Inventario de Ciclo de Vida., Epsilon Libros, Caracas, 2004.
Montgomery, D., Diseño y análisis de experimentos., Limusa, Mexico, 2003.
Pernía, J. M., Fornés J. M., Cambio Climático y Agua Subterránea, Visión para los próximos decenios., Edipack Gráfico, España, 2008, pp. 2-11.
Stainer, R., Adelberg, E., Ingraham, J., Microbiología. Versión Española Actualizada., Editorial Reverté, España, 1985.
Steel, R., Torrie, J., Bioestadística: Principios y Procedimientos., McGraw-Hill, Mexico, 1990.
Tchobanoglous, G., Kreith, F., HandBook of Solid Waste Management., McGraw Hill, Nueva York, 2002.
Tchobanoglous, G., Theisen, H., Vigil, S., Gestión Integral de Residuos Sólidos., McGraw Hill/Interamericana de España, España, 1994.
Trejo, R., Procesamiento de la Basura Urbana., Trillas, España, 1996, pp. 187-213.
How to Cite
APA
ACM
ACS
ABNT
Chicago
Harvard
IEEE
MLA
Turabian
Vancouver
Download Citation
License
Copyright (c) 2009 Carmen Carolla, Rebeca Sánchez, Edie Montiel

This work is licensed under a Creative Commons Attribution 4.0 International License.
The authors or holders of the copyright for each article hereby confer exclusive, limited and free authorization on the Universidad Nacional de Colombia's journal Ingeniería e Investigación concerning the aforementioned article which, once it has been evaluated and approved, will be submitted for publication, in line with the following items:
1. The version which has been corrected according to the evaluators' suggestions will be remitted and it will be made clear whether the aforementioned article is an unedited document regarding which the rights to be authorized are held and total responsibility will be assumed by the authors for the content of the work being submitted to Ingeniería e Investigación, the Universidad Nacional de Colombia and third-parties;
2. The authorization conferred on the journal will come into force from the date on which it is included in the respective volume and issue of Ingeniería e Investigación in the Open Journal Systems and on the journal's main page (https://revistas.unal.edu.co/index.php/ingeinv), as well as in different databases and indices in which the publication is indexed;
3. The authors authorize the Universidad Nacional de Colombia's journal Ingeniería e Investigación to publish the document in whatever required format (printed, digital, electronic or whatsoever known or yet to be discovered form) and authorize Ingeniería e Investigación to include the work in any indices and/or search engines deemed necessary for promoting its diffusion;
4. The authors accept that such authorization is given free of charge and they, therefore, waive any right to receive remuneration from the publication, distribution, public communication and any use whatsoever referred to in the terms of this authorization.










