A software development for establishing optimal production lots and its application in academic and business environments
Desarrollo de un software para establecer una óptima producción y su aplicación en ambientes tanto académicos como empresariales
DOI:
https://doi.org/10.15446/ing.investig.v34n3.41578Keywords:
Lot size, EOQ/EPQ model, software development (en)tamaño de lote, modelo EOQ/EPQ, logística, desarrollo del software (es)
The recent global economic downturn has increased an already perceived need in organizations for cost savings. To cope with such need, companies can opt for different strategies. This paper focuses on optimizing processes and, more specifically, determining the optimal lot production. To determine the optimal lot of a specific production process, a new software was developed that not only incorporates various productive and logistical elements in its calculations but also affords users a practical way to manage the large number of input parameters required to determine the optimal batch. The developed software has not only been validated by several companies, both Spanish and Mexican, who achieved significant savings, but also used as a teaching tool in universities with highly satisfactory results from the point of view of student learning. A special contribution of this work is that the developed tool can be sent to the interested reader free of charge upon request.
La crisis económica mundial ha acrecentado en los últimos años una necesidad, de por sí ya manifiesta en las organizaciones: el ahorro en costos. Para hacer frente a esto, las empresas pueden optar por diversas estrategias.
Este trabajo se enfoca en una de estas estrategias: la optimización de procesos y más concretamente, en la determinación del lote óptimo de producción. Para determinar el lote óptimo de un proceso productivo y concreto, se desarrolló un nuevo software que además de incorporar en sus cálculos diversos elementos productivos y logísticos, permite a su vez, gestionar de forma práctica el importante número de parámetros de entrada que se requieren para determinar el lote óptimo. El software que se presenta en este estudio, no solo ha sido validado en diversas empresas tanto españolas como mexicanas alcanzándose importantes ahorros, sino que también, ha sido utilizado como una herramienta docente en diversas universidades, logrando resultados muy satisfactorios desde el punto de vista del alumno y su aprendizaje. Un particular aporte de este trabajo, es que la herramienta desarrollada puede ser enviada al lector interesado de forma gratuita y con previa solicitud.
DOI: https://doi.org/10.15446/ing.investig.v34n3.41578
J. E. Valencia1, M. P. Lamban2, J. A. Royo3, J. A. Díaz4 and J. Canto5
1Javier Ernesto Valencia Mendez. Industrial and logistic engineer, Autonomous University of Yucatan, Mexico. Master in logistics, Zaragoza Logistics Center (Massachusetts Institute of Technology -MIT- Network), Spain. Master in mechanicals systems, University of Zaragoza, Spain. Ph. D. student in Industrial Engineering, University of Zaragoza, Spain. Affilliation: University of Zaragoza, Spain / Autonomous University of Yucatan, Mexico. E-mail: javier.valencia@uady.mx
2Maria Pilar Lamban Castillo. Industrial engineer, University of Zaragoza, Spain. Ph. D. in Industrial Engineering, University of Zaragoza, Spain. Affilliation: University of Zaragoza, Spain. E-mail: plamban@unizar.es
3Jesus Antonio Royo Sanchez. Industrial engineer, University of Zaragoza, Spain. Ph. D. In Industrial Engineering, University of Zaragoza, Spain. Affilliation: University of Zaragoza, Spain. E-mail: jaroyo@unizar.es
4Jorge Alejandro Díaz Mateus. Systems engineer, Monterrey Institute of Technology, Mexico. Master in Biomedical Engineering, Polytechnic University of Madrid, Spain. Affilliation: Alfa Consulting, Spain. E-mail: jano_dm@hotmail.com
5Jessica Canto Maldonado. Industrial Chemical engineer, Autonomous University of Yucatan. Phd. In Supply Chain Management, Popular University of the State of Puebla, Mexico. Affilliation: Autonomous University of Yucatan, Mexico. E-mail: jessica.canto@uady.mx
How to cite: Valencia, J. E., Lamban, M. P., Royo, J. A., Díaz, J. A., & Canto, J. (2014). A software development for establishing optimal production lots and its application in academic and business environments. Ingeniería e Investigación, 34(3), 81-86.
ABSTRACT
The recent global economic downturn has increased an already perceived need in organizations for cost savings. To cope with such need, companies can opt for different strategies. This paper focuses on optimizing processes and, more specifically, determining the optimal lot production. To determine the optimal lot of a specific production process, a new software was developed that not only incorporates various productive and logistical elements in its calculations but also affords users a practical way to manage the large number of input parameters required to determine the optimal batch. The developed software has not only been validated by several companies, both Spanish and Mexican, who achieved significant savings, but also used as a teaching tool in universities with highly satisfactory results from the point of view of student learning. A special contribution of this work is that the developed tool can be sent to the interested reader free of charge upon request.
Keywords: Lot size, EOQ/EPQ model, logistics, software development.
RESUMEN
La crisis económica mundial ha acrecentado en los últimos años una necesidad, de por sí ya manifiesta en las organizaciones: el ahorro en costos. Para hacer frente a esto, las empresas pueden optar por diversas estrategias.
Este trabajo se enfoca en una de estas estrategias: la optimización de procesos y más concretamente, en la determinación del lote óptimo de producción. Para determinar el lote óptimo de un proceso productivo y concreto, se desarrolló un nuevo software que además de incorporar en sus cálculos diversos elementos productivos y logísticos, permite a su vez, gestionar de forma práctica el importante número de parámetros de entrada que se requieren para determinar el lote óptimo.
El software que se presenta en este estudio, no solo ha sido validado en diversas empresas tanto españolas como mexicanas alcanzándose importantes ahorros, sino que también, ha sido utilizado como una herramienta docente en diversas universidades, logrando resultados muy satisfactorios desde el punto de vista del alumno y su aprendizaje. Un particular aporte de este trabajo, es que la herramienta desarrollada puede ser enviada al lector interesado de forma gratuita y con previa solicitud.
Palabras clave: tamaño de lote, modelo EOQ/EPQ, logística y desarrollo del software.
Received: January 14th 2014 Accepted: May 19th 2014
Introduction
Baykasoglu and Kaplanoglu (2006) argued that a company that wants to remain competitive should be able to unite high quality products and delivery times with the lowest possible costs.
This idea has gained, if possible, even more importance in recent years due to the global economic crisis, which has increased the necessity of pursuing costs reductions, as indicated in Zatzick et al. (2009) and Kaplan and Porter (2011).
According to these publications, the best approach when seeking a reduction in costs is the optimization of processes. This work is interested in this approach and develops a new software that determines optimal production lots considering productive and logistical factors.
The developed software has its basis in the famous works of Harris (1915) and Taft (1918), in which the EOQ (Economic Order Quantity) and the EPQ (Economic Production Quantity) models were defined. These models optimize the amount to buy (or produce) by minimizing the cost obtained from the fixed costs of buying (or producing) and the variable costs of storing. These models are so important that they are still used in many organizations. A sample is found in the work of James et al. (2011) concerning a Colombian logistics system.
Even though the EOQ/EPQ models are still widely used, diverse authors consider that such models can be too simplistic and therefore inaccurate (Yuan, et al. 2011). This is because these models do not take into account elements such as temporary storage, maintenance and transport, which directly affect the total cost of products. It is because of this that researchers have proposed modifications to the original models to represent situations closer to those experienced daily in the companies (e. g. Jaber et al., 2009).
As observed in Khan et al. (2011), Glock (2012), Ramasesh (2010), Sufen (2010) and Valencia et al. (2014), recent models related to lot size take into account several factors that affect the production cost.
The fact that the optimal production amount must be determined by taking into account not only production costs but also other factors arises partially from the analysis of diverse companies throughout the world. Evidence of this can be found in the works of Lee et al. (2003), who studied third party logistics (3PL), and Chu and Chu (2007), who came to the same conclusion from the study of a refinery.
Despite the above, this is the first work in the literature to introduce an EPQ-based software. However, there are different tools based on the EOQ model. Examples of these programs are provided in Table 1.

These tools allow the optimal batch ordered to be calculated by the traditional EOQ model. Equation (1) is the basis of this program's optimization.

where,
Q* = Optimal lot size.
D = Demand.
S = Fixed cost per order.
H = Variable inventory holding cost.
This equation optimizes the sum of the ordering and inventory holding costs, as shown in Figure 1.

Although, EOQ-based programs focus on determining optimal ordering batch size, they can also be useful for defining production lots by taking S as the fixed cost of production.
Some ERP (Enterprise Resource Planning) programs also determine the optimal lot size. However, these computer tools are not comparable to the software proposed here for three main reasons: I) their scope includes the management of all or most of the organization; II) they are usually very large systems (Grabot et al. 2014); and finally, III) they tend to be complex and costly (Munir and Pinedo, 2013).
For the reasons above, we conclude that EOQ-based programs are the most similar to the one introduced here, although they also have profound differences. One main difference is that EOQ-based programs consider only two costs, but the program proposed here considers those detailed in Figure 2.

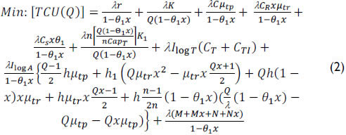
Another difference is that the proposed software does not use an analytical approach to determine optimal batch sizes, but through an iterative process, it solves a variant of the problem proposed in Valencia et al. (2014). By solving this variant, one may determine the lot size (Q*) that minimizes the cost incurred to satisfy a known demand (D) while also satisfying the storage and transportation constraints. The objective function of the problem considered is shown in equation (2).

The meaning of each variable used in equation (2) is provided in Figure 3, which has been taken from the "Help" window of the proposed software.

Equation (2) and Figure 3 reflect the natural complication of taking into account several production and logistics factors. The main motivation for developing this software is to present an easy-to-use tool that provides optimal values close to the real ones, unlike existing EOQ-based programs whose results are too simplistic.
Another motivating factor was found in Mariño et al. (2008). In that work, the idea that software development can support crucial steps within the execution of a business plan is well established.
The final motivating factor was found in Pallares and Calderon (2006). These authors established that using information technology in technical education is indispensable. Furthermore, they suggest that new software needs to be developed for engineering education because this allows career education, enabling students to adapt to the various changes in their work. In response to these needs, Spanish universities are global leaders in these developments (Pallares and Calderon, 2006).
Although, the main objective of this work is to present the development of a software tool that calculates optimal production batches, it also seeks to show that software development is a practical way to achieve collaboration between companies and universities; this is because software development allows users to automate the resolution of certain problems that would be difficult to face in business environments, especially for SMEs.
An important contribution of this work is that the developed software can be sent free of charge to an interested reader, provided they state the reasons for requesting it. This is particularly important because although the developed program cannot be applied to all productive environments due to its design being optimized for certain types of processes, it can provide guiding optimum values, as was concluded from several experiments conducted.
Furthermore, the way the software was designed makes it relatively simple to modify its programming to adapt it to other productive processes. In this regard, some modifications that may be considered to adapt the software to other processes are illustrated in Table 2. Naturally, what modifications should be made will depend on each process.

A summary of the rest of this article is as follows. In the next section, the production model optimized by the software is discussed. Then, the software tool is presented, as well as the different validations of the software in both business and academic environments. The paper ends with some general conclusions and future research lines.
The production process to be optimized
The production process to be optimized has been treated before by these authors in other works (Valencia et al., 2014) but not through a software tool. That process is detailed in Figure 4, which is also available in the "Help" window of the software.

The productive process considered is as follows: enough raw material to produce Q items enters the process and is completely transformed to perform a quality inspection of all the products of the batch to determine which ones are unsatisfactory and therefore should be reprocessed. This is performed immediately. Once the process itself reworks the products, another inspection is developed to determine which products are satisfactory and which are unusable (scrap). The total satisfactory products are transferred to storage and, in turn, the unusable ones receive an appropriate final disposal. Finally, the stored products should be delivered in fixed amounts over a period of time. The production process also considers space constraints both in terms of storage and transport. In regards to storage, the capacity to store both finished goods and WIP is taken into account. Moreover, transport's finite capacity was also considered.
The production process also considers that the production and the rework time are not constant but follow a normal distribution with a known mean. This idea is consistent with that discussed by Darwish (2008) and Pando et al. (2012), who established the importance of not considering some costs to be constant. To be able to work with variable production times, the mathematical expectation was used in the formulation of the optimum batch of the process, as in Yuan et al. (2011).
Another characteristic of the process to be optimized is that it incorporates the logistics index, a concept that was introduced in Lamban et al. (2013), to approximate the logistics cost of a specific reference from their dimensions (weight and volume).
This production process has been considered for optimization because it is easily adaptable to other processes because it already incorporates several productive and logistics factors.
The software developed
The developed software, which functions both in English and Spanish, responds to a problem inherent to this type of optimization model in which the analytical solution (which can be used only when no restrictions are considered) and the solution using a spreadsheet may not be practical due to the large number of factors considered.
The tool developed, which was programmed in Java® language for its versatility, includes the mathematical formulation needed to optimize the production process. As observed in Figure 5, the software also includes two simplified choices (in addition to the full optimization method) for considering the production process that generates no scrap and for when the logistics index is 1, i.e., when the logistics cost is known accurately for the reference and is not required to be approximated by its dimensions.

Once the user has selected the type of method to use, the software displays a screen that prompts the user for a number of values required for the calculation depending on the process to be modeled, as observed in Figure 6, which corresponds to the complete optimization method.

The meaning of each of the elements that must be entered in the program is provided by "clicking" on the information button and opening the window, as shown in Figure 3. Additionally, and as previously mentioned, the explanation of the production process is provided in the "Help" section as well as in graphs of the process and the behavior of the inventory.
The software determines the optimal production batch by iterating from one to the maximum value that can comply while satisfying all restrictions. The optimal lot size is displayed in a separate window unless there is an error in the input data format.
As mentioned above, this software can be sent free of charge upon request via an email which justifies the use.
Software validation in enterprise environments
The presented software has been validated in several business cases with positive results. The data shown in Table 3 correspond to three of these business cases, two of which are Mexican companies and one of which is a Spanish company.

One Mexican company packages and markets honey, and the other manufactures jewelry; the Spanish company manufactures footwear. The Table 3 costs are in U.S. dollars, and the time units are years, but they can be converted to minutes or seconds by keeping concordance with the cost units.
The data presented in Table 3 were introduced in the developed software to determine optimum batches, obtaining the results shown in Table 4.

The calculated savings are shown graphically in Figure 7. In all business cases, significant savings were achieved; the footwear business obtained maximum savings.

The comparison of the results obtained with the developed software and the function Solver of MS Excel ® is shown in Table 4. The optimal batches were the same, but there are significant differences in calculation times. In all cases, the software required shorter times, as observed in Figure 8, where the computation times with a 2.67 Ghz Intel® Core™ i5 processor are shown.

Software validation in academic environments
The developed software was designed as not only a tool to support decision-making in various companies but also a mechanism to facilitate the teaching of the topics addressed in graduate and postgraduates programs.
The provided tool reinforced in students the concepts learned in class by performing various calculations of optimal batch. Such calculations were mostly obtained from problems adapted from recent literature, such as Chiu et al. (2011).
To assess students' perceptions regarding the use of the developed software as a tool to facilitate their learning, they were administered a simple survey that asked them to compare the three learning techniques used in the classroom:
- Optimal lot size using analytical calculation.
- Optimal lot size using a spreadsheet.
- Optimal lot size using the developed software.
A total of 120 students were interviewed. These students belong to two universities, one Spanish (University of Zaragoza) and one Mexican, which preferred not to have its name published. The details of how the total students were distributed in different classifications are shown in Figure 9.

Students were asked the following questions. I) Does the use of the developed tool facilitate your understanding of the optimal lot size topic? II) Do you think the software is intuitive? III) Would you recommend the use of the developed tool in teaching other students? To these questions, students could answer: I) Yes; II) Do not know / do not want to answer; or III) No.
They were also asked to answer the following questions. I) Which technique is more understandable? II) Which technique are you most likely to use in the future? To these questions, students could answer with reference to each of the techniques used in class or 'do not know / do not want to answer'. The results of the surveys are shown in Figures 10 and 11.


As observed, the developed software was widely accepted among the surveyed students. This is an important result achieved in this work.
Conclusions
This paper presents the development of a software that optimizes the production batch for a common production process in various organizations.
The main contribution of this work is that the introduced tool manages to combine the high precision of the analytical optimum and the easy handling of the input values. The software obtains highly precise optimal batches, as found by comparison with expert judgment or software based on the EOQ model. Additionally, other comparisons show that the proposed software requires less time to determine optimal lot size than the Solver®.
The software presented has been validated both in the business community, where it achieved significant cost savings, and in academia, which also established its value as a useful tool in engineering education. Even more, the proposed tool also illustrates how companies can benefit from the work of researchers via software development.
The developed software was designed to be sent to interested readers upon request via email. Furthermore, it can also be modified to optimize productive processes other than the one considered here.
Even though the tool presented has several benefits, some features are still required to complement its functionality, including the ability to conduct sensitivity analysis with different variables and the ability to show main results graphically.
References
Baykasoglu, A., & Kapanoglu, V. (2006). Developing a service costing system and an application for logistics companies. International Journal of Agile Manufacturing, 9(2), 13-18.
Correa, A., & Gómez, R. (2009). Tecnologías de la información en la Cadena de Suministro. Revista DYNA-Colombia, 76(157), 37-48.
Chu, F., & Chu, C. (2008). Single-Item Dynamic Lot-Sizing Models with Bounded Inventory and Outsourcing. IEEE Transactions on Systems, Man, and Cibernetics-Part A: Systems and Humans, 38(1), 70-77.
Glock, C. H. (2012). The joint economic lot size problem: A review. International Journal of Production Economics, 135(2), 671-686.
Grabot, B., Mayere, A., Lauroua F., & Houe, R. (2014). ERP 2.0, what for and how? Computers in Industry, 65(6), 976-1000.
Gutiérrez, E., Fuquen, H., & Hernández, D. (2010). Planificación integrada de producción y distribución para un conglomerado industrial. Revista de la Facultad de Ingeniería de la Universidad de Antioquia, 53(1), 88-105.
Harris, F. (1915). What quantity to make at once. USA: The factory Management series.
Jaber, M., Bonney, M., & Moualek, I. (2009). An economic order quantity model for an imperfect production process with entropy cost. International Journal of Production Economics, 118(1), 26-33.
Jaimes, W. A., Arango, M. D., & Balcázar, D. A. (2011). Modelo para la coordinación de agentes en un sistema logístico de la industria astillera colombiana. Ingeniería e Investigación, 31(2), 102-111.
Kaplan, R., & Porter, M. (2011). The Big Idea: How to Solve the Cost Crisis in Health Care. Harvard Business Review, 234(89), 46-64.
Khan, M., Jaber, M., Guiffrida, A., & Zolfaghari, S. (2011). A review of the extensions of a modified EOQ model for imperfect quality item. International Journal of Production Economics, 132(1), 1-12.
Lambán, M. (2010). Determinación de costos de procesos de la Cadena de Suministro e influencia de factores productivos y logísticos. (PhD thesis, University of Zaragoza).
Lee, C., Cetinkaya, S., & Jaruphongsa, W. (2003). A dynamic model for inventory lot sizing and outbound shipment scheduling at a third-party warehouse. Operations Research, 51(5), 735-747.
Mariño, A., Cortés, F. A., & Garzón, L. A. (2008). Herramienta de software para la enseñanza y entrenamiento en la construcción de la matriz DOFA. Ingeniería e Investigación, 28(3), 159-164.
Munir, A., & Pinedo, R. (2013). Critical success factors for ERP implementation in SMEs. Robotics and Computer-Integrated Manufacturing, 29(3), 104-111.
Pallares, M. R., & Rodríguez, M. (2006). Diseño de un software educativo para el análisis de sistemas hidráulicos a presión en ingeniería civil. Ingeniería e Investigación, 26(3), 58-66.
Ramasesh, R. (2010). Lot-sizing decisions under limited-time price incentives: A review. Omega-International Journal of Management Science, 38(3), 118-135.
Sufen, C. (2010). Purchase-Inventory Model with Varying Purchase Price: A Review. Paper presented at the International Conference on Management Science and Engineering, Wuhan, IEEE.
Taft, E. W. (1918). The most economical production lot. The Iron Age, 101(1), 1410-1412.
Yuan, P., Shang, L., Chun, L., & Huei, C. (2011). Mathematical modelling for determining the replenishment policy for EMQ model with rework and multiple shipments. Mathematical and Computer Modelling, 54(9), 2165-2174.
Valencia, J., Lambán P. & Royo J. (2014). Analytical model to determine optimal production lots considering several productive and logistics factors. DYNA-Colombia, 8(184), 62-70.
Zatzick, C., Marks, M. & Iverson R. (2009). Which Way Should You Downsize in a Crisis? MIT Sloan Management Review, 51(1), 79-86.
References
Baykasoglu, A., & Kapanoglu, V. (2006). Developing a service costing system and an application for logistics companies. International Journal of Agile Manufacturing, 9(2), 13-18.
Correa, A., & Gómez, R. (2009). Tecnologías de la información en la Cadena de Suministro. Revista DYNA-Colombia, 76(157), 37-48.
Chu, F., & Chu, C. (2008). Single-Item Dynamic Lot-Sizing Models with Bounded Inventory and Outsourcing. IEEE Transactions on Systems, Man, and Cibernetics-Part A: Systems and Humans, 38(1), 70-77.
Glock, C. H. (2012). The joint economic lot size problem: A review. International Journal of Production Economics, 135(2), 671-686.
Grabot, B., Mayere, A., Lauroua F., & Houe, R. (2014). ERP 2.0, what for and how? Computers in Industry, 65(6), 976-1000.
Gutiérrez, E., Fuquen, H., & Hernández, D. (2010). Planificación integrada de producción y distribución para un conglomerado industrial. Revista de la Facultad de Ingeniería de la Universidad de Antioquia, 53(1), 88-105.
Harris, F. (1915). What quantity to make at once. USA: The factory Management series.
Jaber, M., Bonney, M., & Moualek, I. (2009). An economic order quantity model for an imperfect production process with entropy cost. International Journal of Production Economics, 118(1), 26-33.
Jaimes, W. A., Arango, M. D., & Balcázar, D. A. (2011). Modelo para la coordinación de agentes en un sistema logístico de la industria astillera colombiana. Ingeniería e Investigación, 31(2), 102-111.
Kaplan, R., & Porter, M. (2011). The Big Idea: How to Solve the Cost Crisis in Health Care. Harvard Business Review, 234(89), 46-64.
Khan, M., Jaber, M., Guiffrida, A., & Zolfaghari, S. (2011). A review of the extensions of a modified EOQ model for imperfect quality item. International Journal of Production Economics, 132(1), 1-12.
Lambán, M. (2010). Determinación de costos de procesos de la Cadena de Suministro e influencia de factores productivos y logísticos. (PhD thesis, University of Zaragoza).
Lee, C., Cetinkaya, S., & Jaruphongsa, W. (2003). A dynamic model for inventory lot sizing and outbound shipment scheduling at a third-party warehouse. Operations Research, 51(5), 735-747.
Mariño, A., Cortés, F. A., & Garzón, L. A. (2008). Herramienta de software para la enseñanza y entrenamiento en la construcción de la matriz DOFA. Ingeniería e Investigación, 28(3), 159-164.
Munir, A., & Pinedo, R. (2013). Critical success factors for ERP implementation in SMEs. Robotics and Computer-Integrated Manufacturing, 29(3), 104-111.
Pallares, M. R., & Rodríguez, M. (2006). Diseño de un software educativo para el análisis de sistemas hidráulicos a presión en ingeniería civil. Ingeniería e Investigación, 26(3), 58-66.
Ramasesh, R. (2010). Lot-sizing decisions under limited-time price incentives: A review. Omega-International Journal of Management Science, 38(3), 118-135.
Sufen, C. (2010). Purchase-Inventory Model with Varying Purchase Price: A Review. Paper presented at the International Conference on Management Science and Engineering, Wuhan, IEEE.
Taft, E. W. (1918). The most economical production lot. The Iron Age, 101(1), 1410-1412.
Yuan, P., Shang, L., Chun, L., & Huei, C. (2011). Mathematical modelling for determining the replenishment policy for EMQ model with rework and multiple shipments. Mathematical and Computer Modelling, 54(9), 2165-2174.
Valencia, J., Lambán P. & Royo J. (2014). Analytical model to determine optimal production lots considering several productive and logistics factors. DYNA-Colombia, 8(184), 62-70.
Zatzick, C., Marks, M. & Iverson R. (2009). Which Way Should You Downsize in a Crisis? MIT Sloan Management Review, 51(1), 79-86.
How to Cite
APA
ACM
ACS
ABNT
Chicago
Harvard
IEEE
MLA
Turabian
Vancouver
Download Citation
License
Copyright (c) 2014 Javier Valencia Mendez, Ma. Pilar Lamban Castillo, Jesus Royo Sanchez, Jorge Díaz Mateus, Jessica Canto Maldonado

This work is licensed under a Creative Commons Attribution 4.0 International License.
The authors or holders of the copyright for each article hereby confer exclusive, limited and free authorization on the Universidad Nacional de Colombia's journal Ingeniería e Investigación concerning the aforementioned article which, once it has been evaluated and approved, will be submitted for publication, in line with the following items:
1. The version which has been corrected according to the evaluators' suggestions will be remitted and it will be made clear whether the aforementioned article is an unedited document regarding which the rights to be authorized are held and total responsibility will be assumed by the authors for the content of the work being submitted to Ingeniería e Investigación, the Universidad Nacional de Colombia and third-parties;
2. The authorization conferred on the journal will come into force from the date on which it is included in the respective volume and issue of Ingeniería e Investigación in the Open Journal Systems and on the journal's main page (https://revistas.unal.edu.co/index.php/ingeinv), as well as in different databases and indices in which the publication is indexed;
3. The authors authorize the Universidad Nacional de Colombia's journal Ingeniería e Investigación to publish the document in whatever required format (printed, digital, electronic or whatsoever known or yet to be discovered form) and authorize Ingeniería e Investigación to include the work in any indices and/or search engines deemed necessary for promoting its diffusion;
4. The authors accept that such authorization is given free of charge and they, therefore, waive any right to receive remuneration from the publication, distribution, public communication and any use whatsoever referred to in the terms of this authorization.










