Modeling of forced vibration phenomenon by making an electrical analogy with ANSYS finite element software
Modelación del fenómeno de vibración forzada formulando una analogía eléctrica con el programa de elementos finitos “Ansys”
DOI:
https://doi.org/10.15446/ing.investig.v29n1.15137Keywords:
electric analogy, oscillating circuit, forced vibration, ANSYS, finite element, numeric modeling, CAE (en)analogía eléctrica, circuitos oscilantes, vibración forzada, Ansys, elementos finitos, modelación numérica, CAE (es)
Downloads
Designing mechanical systems which are submitted to vibration requires calculation methods which are very different to those used in other disciplines because, when this occurs, the magnitude of the forces becomes secondary and the frequency with which the force is repeated becomes the most important aspect. It must be taken care of, given that smaller periodic forces can prompt disasters than greater static forces. The article presents a representative problem regarding systems having forced vibration, the mathematical treatment of differential equations from an electrical and mechanical viewpoint, an electrical analogy, numerical modeling of circuits using ANSYS finite element software, analysis and comparison of numerical modeling results compared to test values, the post-processing of results and conclusions regarding electrical analogy methodology when analysing forced vibration systems.
El diseño de sistemas mecánicos sometidos a vibraciones requiere métodos de cálculo muy diferentes a los que se utilizan en otras disciplinas, ya que cuando estas aparecen, la magnitud de las fuerzas pasa a ser secundaria y la frecuencia con que la fuerza se repite se convierte en el aspecto de mayor relevancia. Es necesario poner especial cuidado en ello, toda vez que fuerzas periódicas pequeñas pueden desatar más desastres que fuerzas estáticas de mayor magnitud. En este sentido, el artículo muestra un problema representativo de sistemas con vibración forzada, el tratamiento matemático de las ecuaciones diferenciales desde el enfoque mecánico y eléctrico, la analogía eléctrica, el proceso de modelación numérica de los circuitos empleando el programa de elementos finitos Ansys, el análisis y comparación de resultados de la modelación numérica respecto a valores analíticos, el posproceso gráfico de los resultados y las conclusiones fundamentales de la validez de la metodología de analogía eléctrica en el análisis de sistemas de vibración forzada.
Myriam Rocío Pallares Muñoz1 y Wilson Rodríguez Calderón2
1 Ingeniera civil, Universidad Industrial de Santander, Colombia. M.Sc., Métodos Numéricos, Universidad Politécnica Cataluña, España. Profesora investigadora y Coordinadora de Investigaciones, Facultad de Ingeniería Civil, Universidad Santo Tomás de Bogotá, Colombia. Líder de Investigación, grupo I+D en Simulación Numérica SICON. myriampallares@usantotomas.edu.co, mrocio03@hotmail.com
2 Ingeniero civil, Universidad Industrial de Santander, Colombia. M.Sc., Métodos Numéricos, Universidad Politécnica Cataluña, España. Profesor investigador, Programa de Ingeniería Civil, Universidad de la Salle, Colombia. Líder, Centro de Investigación en Modelación Numérica y Desarrollo de Software CAE CIMON. wrodriguez@unisalle.edu.co, wilroca50@hotmail.com
RESUMEN
El diseño de sistemas mecánicos sometidos a vibraciones requiere métodos de cálculo muy diferentes a los que se utilizan en otras disciplinas, ya que cuando estas aparecen, la magnitud de las fuerzas pasa a ser secundaria y la frecuencia con que la fuerza se repite se convierte en el aspecto de mayor relevancia. Es necesario poner especial cuidado en ello, toda vez que fuerzas periódicas pequeñas pueden desatar más desastres que fuerzas estáticas de mayor magnitud. En este sentido, el artículo muestra un problema representativo de sistemas con vibración forzada, el tratamiento matemático de las ecuaciones diferenciales desde el enfoque mecánico y eléctrico, la analogía eléctrica, el proceso de modelación numérica de los circuitos empleando el programa de elementos finitos Ansys, el análisis y comparación de resultados de la modelación numérica respecto a valores analíticos, el posproceso gráfico de los resultados y las conclusiones fundamentales de la validez de la metodología de analogía eléctrica en el análisis de sistemas de vibración forzada.
Palabras clave: analogía eléctrica, circuitos oscilantes, vibración forzada, Ansys, elementos finitos, modelación numérica, CAE.
ABSTRACT
Designing mechanical systems which are submitted to vibration requires calculation methods which are very different to those used in other disciplines because, when this occurs, the magnitude of the forces becomes secondary and the frequency with which the force is repeated becomes the most important aspect. It must be taken care of, given that smaller periodic forces can prompt disasters than greater static forces. The article presents a representative problem regarding systems having forced vibration, the mathematical treatment of differential equations from an electrical and mechanical viewpoint, an electrical analogy, numerical modeling of circuits using ANSYS finite element software, analysis and comparison of numerical modeling results compared to test values, the post-processing of results and conclusions regarding electrical analogy methodology when analysing forced vibration systems.
Keywords: electric analogy, oscillating circuit, forced vibration, ANSYS, finite element, numeric modeling, CAE.
Recibido: mayo 23 de 2008
Aceptado: marzo 2 de 2009
Introducción
Las vibraciones forzadas son aquellas que se producen por acción de fuerzas dependientes del tiempo. Su estudio es quizás uno de los casos más complejos del análisis de vibración, y, las analogías eléctricas pueden ser muy útiles, ya que por medio de circuitos eléctricos oscilantes se pueden obtener modelos de simulación numérica y física simplificados, que en la práctica son más sencillos de abordar y construir, respectivamente los circuitos eléctricos son más fáciles de construir en laboratorio que los modelos mecánicos, además es posible modificar rápidamente sus características variando la inductancia, resistencia o capacidad de los distintos componentes. Las ecuaciones diferenciales alcanzadas en los circuitos mencionados son del mismo tipo de las obtenidas por planteamientos clásicos de equilibrio de fuerzas. Luego, sólo basta encontrar la analogía de términos entre el sistema mecánico y el eléctrico idealizado, para contar con una metodología muy eficiente en el análisis de vibración mecánica (Llipovszky, 1990).
La vibración mecánica es el movimiento de una partícula o un cuerpo que oscila alrededor de una posición de equilibrio. El estudio de la vibración mecánica implica el estudio de sus ecuaciones diferenciales de movimiento, y por tanto existen varias formas de estudiar el problema. Una opción es el estudio matemático riguroso, donde se determina la solución de las ecuaciones diferenciales de movimiento mediante la vía analítica, y otra opción es la solución numérica empleando modelos de simulación que pueden ser de tipo mecánico o eléctrico (Den, 1982).
La ventaja de los modelos eléctricos es la sencillez de su construcción a nivel computacional, mediante el empleo de herramientas de ingeniería asistida por computador CAE y aún más desde el punto de vista físico, ya que un circuito eléctrico es más sencillo de construir que un modelo físico de tipo mecánico. Por otra parte, la experimentación se hace muy versátil cuando se emplean circuitos eléctricos donde se pueden cambiar de manera muy rápida los componentes y por tanto variar las características del circuito (Steidel, 1989).
El uso de herramientas de modelación como el programa comercial de elementos finitos Ansys , o cualquier otro paquete de simulación, constituye un ejercicio de interiorización teórica y práctica de fenómenos naturales o procesos que de otra manera sería complejo explicar desde el punto de vista cuantitativo y aun cualitativo. Por tanto, el artículo busca promover el uso de herramientas de simulación como alternativa viable para la solución de problemas de ingeniería (Ansys user manual, 1998).
El artículo no pretende ser un compendio de la fundamentación analítica preliminar del problema, por tal razón se recomienda al lector estudiar detalles de estos temas en cualquier texto de dinámica. Más bien, se pretende resaltar el poder de las herramientas de modelación numérica que permiten resolver de manera eficiente y segura problemas de vibración mecánica (Bataller, 2000; Beer, 1998; Calero y Carta, 1999; Dimarogonas, 1992).
Marco teórico
El caso de vibración mecánica más complejo puede ser el de la vibración forzada amortiguada. En este, existe una fuerza perturbadora armónica P que induce el movimiento en el sistema mecánico y además hay componentes de tipo elástico y viscoso que responden a la perturbación aplicada por la fuerza. Cuando se desprecian los efectos del rozamiento en un sistema se dice que la vibración es no amortiguada. Si se tienen en cuenta, la vibración es amortiguada. Por otro parte, cuando el movimiento se encuentra a merced de las fuerzas recuperadoras, la vibración es libre. Por el contrario, si existe una fuerza externa que induce la vibración, se dice que la vibración es forzada (Erdman, 1997).
En los siguientes apartados se ilustrarán algunos aspectos básicos del estudio de las vibraciones forzadas amortiguadas que se emplean como referentes para verificar la solución numérica obtenida a través del programa comercial de elementos finitos Ansys (Ansys user manual, 1998; Faulkner, 2001).
Ecuación de movimiento de un sistema lineal de un grado de libertad sometido a vibración forzada amortiguada.
A continuación se desarrolla la ecuación diferencial de movimiento de un cuerpo de masa m de un grado de libertad. Para ello, se considera que la masa se encuentra en movimiento traslacional y está unida al extremo de un resorte y un amortiguador (Figura 1) (Geradin y Rixen., 1997; Gerald y Wheatley, 1999).
En la ecuación, x es el desplazamiento lineal, y las fuerzas que actúan en el cuerpo son:
La fuerza elástica en el resorte Fe=-kx, donde k es la rigidez del resorte. El signo menos significa que la fuerza elástica tiende a devolver al cuerpo a su posición de equilibrio.
La fuerza de amortiguamiento Fr = -c. Esta fuerza también es llamada resistencia viscosa y es opuesta al movimiento, y, c es el coeficiente de amortiguamiento viscoso.
La fuerza de excitación o perturbación armónica P = Pmsen(wf t). Esta fuerza perturba la posición de equilibrio del cuerpo y wf es la frecuencia de vibración forzada (rad/s).
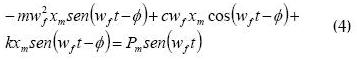
La segunda ley de Newton aplicada en la dirección del moviendo establece que:
En la ecuación (1), wf se denomina pulsación forzada3 y es equivalente a 2pf. Reordenando los términos se obtiene la ecuación diferencial del movimiento de vibración forzada amortiguada de un sistema lineal de un grado de libertad (traslación x):
Solución particular de la ecuación de vibración forzada amortiguada.
La solución general de la ecuación de vibración forzada amortiguada se obtiene sumando una solución particular de la expresión (2) a la función complementaria o solución general de la ecuación homogénea (ecuación (2) sin el término de fuerza periódica P) (Newland, 1993; Thomson, 1998).
La función complementaria es de tres clases dependiendo del tipo de amortiguamiento, esto es:
Amortiguamiento fuerte o supercrítico, c > cc
Amortiguamiento crítico, c = cc
Amortiguamiento débil o subcrítico, c < cc
donde: cc es el coeficiente de amortiguamiento crítico definido como: cc = 2mwn, y, wn, es la pulsación de vibración libre no amortiguada o pulsación natural calculada como: wn=(k/m)½. Esta expresión representa un movimiento transitorio que se extingue en el tiempo.
El interés se centra en la vibración estacionaria representada por la solución particular de la ecuación (1) de la forma:
Sustituyendo x por xpart en la ecuación (2), se obtiene:
Haciendo wf t - Φ sucesivamente igual a 0 y Π/2, puede escribirse:
Elevando al cuadrado a lado y lado de las ecuaciones (5) y (6) y sumando, resulta:
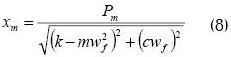
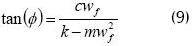
Despejando xm en la ecuación (7) y dividiendo las ecuaciones (5) y (6) miembro a miembro, se obtiene, respectivamente:
Recordando que cc es el coeficiente de amortiguamiento crítico definido como cc= 2mwn y que wn es la pulsación de vibración libre no amortiguada o pulsación natural calculada como wn= (k/m)½, pueden reescribirse las ecuaciones (8) y (9) como:
La ecuación (10) expresa el factor de amplificación FA en función de la razón de frecuencias wf /wn y del factor de amortiguamiento c/cc. FA se puede emplear para encontrar la amplitud de la vibración estacionaria producida por una fuerza aplicada de intensidad P=Pmsen(wf t) o por el movimiento aplicado a un soporte δ= δm sen(wf t); de igual manera, se puede usar para calcular la fuerza máxima transmitida a una fundación sometida a una fuerza periódica P (problema de aislamiento de vibraciones o transmisibilidad).
La ecuación (11) expresa, en función de los mismos parámetros, la diferencia de fase Φ entre la fuerza aplicada o el movimiento comunicado a un soporte y la consiguiente vibración del sistema amortiguado. En la Figura 2 se representa el factor de amplificación FA en función de la razón de frecuencias para diversos valores del factor de amortiguamiento. Puede observarse que la amplitud de la vibración forzada puede mantenerse reducida mediante un coeficiente de amortiguamiento viscoso c de gran valor o manteniendo muy separadas las pulsaciones natural y forzada del sistema. Esto indica que es necesario conocer y manipular las características dinámicas del sistema vibratorio para evitar problemas de resonancia, y por tanto, se requiere entender muy bien el fenómeno de vibración forzada amortiguada empleando como alternativa herramientas de modelación numérica avanzadas, como se muestra más adelante.
Derivando la solución particular (ecuación (3)) una y dos veces y tomando los valores máximos, puede obtenerse la amplitud de la velocidad y de la aceleración del movimiento de la vibración estacionaria, como:
Estas ecuaciones son empleadas como parte de la correspondiente analogía eléctrica.
Analogía eléctrica del fenómeno de vibración forzada amortiguada.
Las ecuaciones diferenciales de circuitos eléctricos oscilantes son del mismo tipo que las obtenidas para los problemas de vibración mecánica, por tanto, su análisis y solución presenta similitudes de tal manera que puede establecerse una analogía en los dos sentídos entre un sistema mecánico y un circuito eléctrico.
Si se considera un circuito eléctrico compuesto de una bobina de autoinducción L, una resistencia R, un condensador de capacidad C y una fuente de alimentación de corriente alterna de tensión E=Emsenwf t (Figura 3), conectados en serie, puede plantearse la ecuación diferencial del circuito empleando la teoría elemental de circuitos, donde i es la intensidad de corriente que atraviesa el circuito, q es la carga en el condensador, L(di/dt) es la caída de potencial en la bobina, Ri es la caída de potencial en la resistencia y q/C es la caída de potencial en el condensador. Expresando que la suma de la tensión eléctrica aplicada y las caídas de tensión en los componentes es cero, se obtiene:
Reordenando los términos y teniendo en cuenta que la intensidad de la corriente es igual a la derivada temporal de la carga q, puede escribirse:
Puede verse que la ecuación (15) correspondiente al circuito de la Figura 3, es de la misma forma que la ecuación (2) correspondiente al sistema mecánico de la Figura 1. Comparando las dos ecuaciones puede establecerse una correspondencia entre las expresiones mecánicas y eléctricas análogas. En la Tabla 1 se presentan las analogías.
La Tabla 1 puede utilizarse para extender los resultados obtenidos para otros sistemas mecánicos con sus correspondientes equivalentes eléctricos. Por ejemplo, la amplitud im de la corriente estacionaria en el circuito de la Figura 3 puede obtenerse teniendo en cuenta que la misma corresponde al valor máximo vm de la velocidad en el sistema mecánico análogo. De igual manera puede obtenerse la amplitud de la carga qm con su respectivo análogo xm (amplitud de la vibración).
Tomando como base la ecuación (12) y sustituyendo el valor de xm dado por la ecuación (8), se obtiene vm, y sustituyendo las constantes del sistema mecánico por las correspondientes eléctricas, se tiene que:
Reorganizando la ecuación (17), resulta:
En esta expresión, el radicando se conoce como impedancia del circuito eléctrico. La analogía entre sistemas mecánicos y circuitos eléctricos se cumple tanto en las oscilaciones transitorias como en las estacionarias.
Problema de aislamiento de vibraciones o transmisibilidad.
Una máquina de masa m excitada por una fuerza de perturbación P = Pmsen(wft) se encuentra sobre una fundación. La fundación es rígida, y la máquina posee solamente movimiento traslacional. El aislamiento de la vibración consiste en disminuir la fuerza transmitida a la fundación, para estudiar este efecto se emplea el cociente de transmisibilidad τ, definido como:
donde Ftrmax es la máxima fuerza transmitida y Pmax es la fuerza de perturbación máxima.
Si se estudia el caso de una máquina sentada sobre una fundación, por medio de un elemento elástico de constante k y un amortiguador con coeficiente de amortiguamiento viscoso c (Figura 4), la fuerza transmitida no está en la misma fase que la fuerza de perturbación. En este caso, la máxima fuerza transmitida es:
La excitación de vibración estacionaria corresponde a la ecuación (8), y si la derivamos se obtiene:
Reemplazando las ecuaciones (8) y (21) en la definición de la fuerza transmitida a la fundación, se obtiene:
La amplitud de la vibración resultante es:
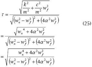
M representa la máxima fuerza transmitida. La fuerza elástica y de amortiguamiento forman un ángulo de π/2 entre sí. Reemplazando la ecuación (23) en la ecuación (19), el coeficiente de transmisibilidad puede ser expresado como:
Empleando la notación 2α=c/(2m) y dividiendo los radicandos del numerador y denominador por m2, se obtiene:
Teniendo en cuenta que α/wn=c/cc, y dividiendo el numerador y denominador del cociente dentro del radical de la ecuación (25) por wn4 se obtiene el coeficiente de transmisibilidad como:
Puede notarse que en la expresión (26) se encuentra presente el factor de amplificación FA y por lo tanto puede reescribirse como:
De la ecuación (19) puede obtenerse la máxima fuerza transmitida como:
Análisis de circuitos eléctricos en Ansys
El análisis de circuitos eléctricos en Ansys permite determinar el voltaje y la distribución de corriente en un sistema eléctrico debido a fuentes de voltaje o corriente aplicadas. El tipo de fuente determina el tipo de análisis que se debe realizar (Tabla 2).
Elemento finito CIRCU124 (de la librería de elementos finitos del programa)
CIRCU124 es un elemento que permite simular circuitos lineales y determinar los voltajes nodales desconocidos y la corriente en algunos casos. Los circuitos eléctricos están compuestos de resistencias, inductores, capacitores y fuentes de corriente y voltaje (Figura 5). CIRCU124 se puede interconectar con elementos electromagnéticos para simular la interacción conjunta del campo electromagnético de un circuito. Tiene hasta seis (6) nodos para definir los componentes del circuito y hasta tres (3) grados de libertad por nodo para modelar su respuesta: el voltaje (VOLT), la corriente (CURR) y la caída de potencial (FEM).
Tipos de carga del elemento CIRCU124
En Ansys es posible especificar cuatro (4) tipos de excitación: sinusoidal, pulso, exponencial, o, una excitación lineal por trozos para corriente o voltaje (Figura 6).
Planteamiento del problema
El problema de transmisibilidad consiste en una pieza de maquinaria de 90 kg soportada por cuatro muelles, cada uno de constante k = 175 N/m, y un amortiguador cuyo coeficiente de amortiguamiento viscoso c = 370 N.s/m. La pieza está sometida a una fuerza periódica de 0.8 Hz de pulsación y amplitud 90 N (Bataller, 2000).
Se trata entonces de determinar, utilizando la analogía eléctrica explicada en el apartado (1), las curvas de desplazamiento, velocidad y fuerza transmitida del sistema, así como la amplitud xm de la vibración (análogo a qm), la amplitud de la velocidad vm (análogo a im), la máxima fuerza transmitida Ftrmax y el ángulo de fase Φ (Figura 7).
Solución del problema con Ansys y verificación teórica
La rigidez del sistema se obtiene sumando las contribuciones de rigidez de cada muelle, esto es: k=4 x 175=700 N/m. El resumen de los datos del circuito eléctrico modelado se presenta en la Tabla 3.
En la Figura 8 se muestra el análogo eléctrico modelado en Ansys. El componente R0 representa la resistencia, L0 la inductancia, C0 el condensador y V0 la fuente de corriente alterna.
Se modeló la evolución del fenómeno oscilante del circuito correspondiente a un tiempo igual 5T, esto es, 6.25 s. La Figura 9 exhibe las curvas de carga q (análoga al desplazamiento) y de corriente i (análoga a la velocidad). Por otra parte, la Figura 10, muestra la variable Vtrans que corresponde a la suma de la caída de voltaje de la resistencia (análoga a la fuerza en el amortiguador viscoso) y del condensador (análoga a la fuerza en los muelles elásticos). La variable Vtrans es análoga a la fuerza transmitida a la fundación.
Empleando las ecuaciones (16) y (17) se pueden calcular, respectivamente, la amplitud qm de la curva de carga (análoga a la amplitud xm de la vibración) y la amplitud im de la curva de corriente (análoga a la amplitud vm de la curva de velocidad) en el estado estacionario, es decir, en el espacio de tiempo en el que las curvas de la Figura 9 están acotadas en sus valores máximo y mínimo.
Es decir, que de la simulación del sistema análogo se obtiene que qm e im, son:
qm = 0.369090E-01, im = 0.185634
Los porcentajes de variación calculados entre los valores teóricos y los obtenidos de la simulación, para las variables qm e im, son:
Por otro lado, para el cálculo de la máxima fuerza transmitida Ftrmax se emplea la ecuación (28), realizando algunos cálculos previos. Esto es:
Es decir, que de la simulación del sistema análogo se obtiene que Ftrmax es:
El porcentaje de variación entre el valor teórico y el de simulación para la variable Ftrmax, es:
Las curvas de las Figuras 9 y 10 confirman el resultado teórico que indica que el amortiguamiento del sistema es débil o subcrítico. Esto puede observarse, ya que existe una diferencia apreciable en los máximos y mínimos de las curvas al inicio del fenómeno vibratorio respecto de los siguientes. Por otra parte, se aprecia que las curvas se estabilizan o manifiestan una amplitud constante en un corto tiempo (a los dos segundos, aproximadamente), o sea que la componente de oscilación transitoria del fenómeno se extingue rápidamente.
En la Figura 11, se despliegan las curvas de las variables Vtrans y Vaplicad. Esta última corresponde al voltaje aplicado por la fuente al circuito (análoga a la fuerza periódica aplicada, P). Se puede observar el efecto del aislamiento de la vibración, notando que la amplitud de la curva Vtrans es menor que la de la curva Vaplicad. Igualmente, se aprecia el desfase entre la curva Vtrans y Vaplicad (los máximos y mínimos de las curvas no coinciden en el tiempo). Este desfase se cuantifica a través del ángulo de fase Φ, calculado a partir de la ecuación (11) como:
Dado que la relación wf /wn (1.803) es mayor que uno, se presenta un ángulo de fase entre π/2 y π.
Conclusiones y recomendaciones
La solución computacional del problema de vibración forzada amortiguada por analogía eléctrica permite entender de manera más profunda el comportamiento de las variables dinámicas del sistema, como: desplazamiento, velocidad y fuerza transmitida. No sólo es posible determinar valores máximos y amplitudes, sino que se puede obtener la respuesta del sistema en el tiempo, lo que permite analizar desfases entre la señal aplicada y la transmitida, así como el amortiguamiento de las cargas aplicadas.
Los porcentajes de variación entre los resultados teóricos y los de la simulación, obtenidos para el caso particular de transmisibilidad tratado en este artículo (0,04% para qm, 0,03% para im y 0,004% para Ftrmax), demuestran una excelente confiabilidad de la modelación numérica realizada.
Los resultados gráficos demuestran los comportamientos esperados, como son: el amortiguamiento de la fuerza aplicada, el desfase entre la señal aplicada y la transmitida y el efecto de oscilación transitorio presente en aproximadamente los primeros dos segundos del fenómeno vibratorio.
La modelación de circuitos eléctricos muestra ser una alternativa eficiente para la solución de problemas de vibración en general, utilizando analogía eléctrica. Esto no es muy común; sin embargo, el problema solucionado muestra la gran versatilidad de este tipo de herramientas a la hora de obtener una caracterización completa de un fenómeno vibratorio.
El estudio de la transmisibilidad tiene un valor práctico muy importante, ya que una vez obtenida la fuerza transmitida esta se puede emplear para diseñar adecuadamente la fundación que soporta una máquina.
3 El período de pulsación forzada T es el inverso de la frecuencia [T= 1/f].
Bibliografía
Ansys user manual., Swanson Analysis Systems Inc., 1998.
Bataller, A., Fundamentos de Teoría de Máquinas., Bellisco (ed), 2000.
Beer, F. P., Mecánica vectorial para ingenieros. McGraw-Hill (ed), 1998.
Calero, R., Carta, J. A., Fundamentos de mecanismos y máquinas para ingenieros., McGraw-Hill (ed), 1999.
Den, H., Mecánica de las vibraciones., Cecsa (ed), 1982.
Dimarogonas., Vibration for engineers., Prentice-Hall (ed), 1992.
Erdman, A. G., Diseño de mecanismos: análisis y síntesis., Prentice-Hall (ed), 1997.
Faulkner, L., Logan, E., Handbook of machinery dynamics., Marcel Dekker (ed), 2001.
French, A. P., Vibraciones y ondas., Reverté S.A. (ed), 1974.
Geradin, M., Rixen, D., Mechanical vibrations., Wiley (ed), 1997.
Gerald, F., Wheatley, O., Análisis numérico con aplicaciones., Pearson (ed), 1999.
Llipovszky, S., Vibration testing of machines and their maintenance., Elsevier (ed), 1990.
Mabie-Reinholte., Mechanisms and dynamics of machinery, Limusa (ed), 1985.
Marghitu, D. B., Mechanical Enginneers Handbook., Academic Press (ed), 2001.
Martin Kinematics and dynamics of machines., Mc Graw-Hill (ed), 1982.
Meirovitch., Analytical method in vibrations., Macmillan (ed), 1967.
Newland, D. E., An introduction to random vibrations., Addison Wesley (ed), 1993.
Norton, R. I., Diseño de maquinaria., McGraw-Hill (ed), 1995.
Pain, H. J., The physics of vibrations and waves., Wiley (ed), 1997.
Prentis., Dynamics of mechanical systems., Wiley (ed), 1986.
Seto, W., Vibraciones mecánicas, McGraw-Hill (ed), 1970.
Shigley, E., Teoría de máquinas y mecanismos., McGraw-Hill (ed), 1986.
Singiresu, S. R., Mechanical vibrations., (ed) Addison Wesley, 1995.
Snowdon, J. C., Vibration and shock in damped mechanical systems., Wiley (ed), 1968
Spyrakos., Finite element modeling in engineering practice., West Virginia University Press (ed), 1994.
Steidel., An introduction to mechanical vibration., Wiley (ed), 1989.
Thomson, W. T., Theory of vibration with applications., Prentice-Hall (ed), 1998.
References
Ansys user manual., Swanson Analysis Systems Inc., 1998.
Bataller, A., Fundamentos de Teoría de Máquinas., Bellisco (ed), 2000.
Beer, F. P., Mecánica vectorial para ingenieros. McGraw-Hill (ed), 1998.
Calero, R., Carta, J. A., Fundamentos de mecanismos y máquinas para ingenieros., McGraw-Hill (ed), 1999.
Den, H., Mecánica de las vibraciones., Cecsa (ed), 1982.
Dimarogonas., Vibration for engineers., Prentice-Hall (ed), 1992.
Erdman, A. G., Diseño de mecanismos: análisis y síntesis., Prentice-Hall (ed), 1997.
Faulkner, L., Logan, E., Handbook of machinery dynamics., Marcel Dekker (ed), 2001. DOI: https://doi.org/10.1201/9781482270372
French, A. P., Vibraciones y ondas., Reverté S.A. (ed), 1974.
Geradin, M., Rixen, D., Mechanical vibrations., Wiley (ed), 1997.
Gerald, F., Wheatley, O., Análisis numérico con aplicaciones., Pearson (ed), 1999.
Llipovszky, S., Vibration testing of machines and their maintenance., Elsevier (ed), 1990.
Mabie-Reinholte., Mechanisms and dynamics of machinery, Limusa (ed), 1985.
Marghitu, D. B., Mechanical Enginneer’s Handbook., Academic Press (ed), 2001.
Martin Kinematics and dynamics of machines., McGraw-Hill (ed), 1982.
Meirovitch., Analytical method in vibrations., Macmillan (ed), 1967.
Newland, D. E., An introduction to random vibrations., Addison Wesley (ed), 1993.
Norton, R. I., Diseño de maquinaria., McGraw-Hill (ed), 1995.
Pain, H. J., The physics of vibrations and waves., Wiley (ed), 1997.
Prentis., Dynamics of mechanical systems., Wiley (ed), 1986.
Seto, W., Vibraciones mecánicas, McGraw-Hill (ed), 1970.
Shigley, E., Teoría de máquinas y mecanismos., McGraw-Hill (ed), 1986.
Singiresu, S. R., Mechanical vibrations., (ed) Addison Wesley, 1995.
Snowdon, J. C., Vibration and shock in damped mechanical systems., Wiley (ed), 1968
Spyrakos., Finite element modeling in engineering practice., West Virginia University Press (ed), 1994.
Steidel., An introduction to mechanical vibration., Wiley (ed), 1989.
Thomson, W. T., Theory of vibration with applications., Prentice Hall (ed), 1998.
How to Cite
APA
ACM
ACS
ABNT
Chicago
Harvard
IEEE
MLA
Turabian
Vancouver
Download Citation
License
Copyright (c) 2009 Myriam Rocío Pallares Muñoz, Wilson Rodríguez Calderón

This work is licensed under a Creative Commons Attribution 4.0 International License.
The authors or holders of the copyright for each article hereby confer exclusive, limited and free authorization on the Universidad Nacional de Colombia's journal Ingeniería e Investigación concerning the aforementioned article which, once it has been evaluated and approved, will be submitted for publication, in line with the following items:
1. The version which has been corrected according to the evaluators' suggestions will be remitted and it will be made clear whether the aforementioned article is an unedited document regarding which the rights to be authorized are held and total responsibility will be assumed by the authors for the content of the work being submitted to Ingeniería e Investigación, the Universidad Nacional de Colombia and third-parties;
2. The authorization conferred on the journal will come into force from the date on which it is included in the respective volume and issue of Ingeniería e Investigación in the Open Journal Systems and on the journal's main page (https://revistas.unal.edu.co/index.php/ingeinv), as well as in different databases and indices in which the publication is indexed;
3. The authors authorize the Universidad Nacional de Colombia's journal Ingeniería e Investigación to publish the document in whatever required format (printed, digital, electronic or whatsoever known or yet to be discovered form) and authorize Ingeniería e Investigación to include the work in any indices and/or search engines deemed necessary for promoting its diffusion;
4. The authors accept that such authorization is given free of charge and they, therefore, waive any right to receive remuneration from the publication, distribution, public communication and any use whatsoever referred to in the terms of this authorization.










