Functional and chemical qualities of Vitis labrusca grape seed oil extracted by supercritical CO2
Calidad funcional y química del aceite de semilla de Vitis labrusca extraído mediante CO2 supercrítico
Qualidade funcional e química do óleo de semente de Vitis labrusca extraído por CO2 supercrítico
DOI:
https://doi.org/10.15446/rev.colomb.quim.v50n3.95469Palabras clave:
Grape seed oil, Vitis labrusca, linoleic acid, α-tocopherol, phenolics, supercritical CO2 (en)Óleo de semente de uva, Vitis labrusca, ácido linoleico, α-tocoferol, fenólicos, CO2 supercrítico (pt)
aceite de semilla de uva, Vitis labrusca, ácido linoleico, α-tocoferol, fenólicos, CO2 supercrítico (es)
Descargas
Grape seed oil, which is extracted with highly toxic organic solvents that are harmful to human health, is produced from tons of grape pomace waste, generated during winemaking. Sometimes, this waste is used to make compost or is burnt, which causes environmental contamination. The functional qualities, antioxidant capacity (AC), α-tocopherol and total phenolic compounds content (TPC) of Black Borgoña (Vitis labrusca) grape seed oil, extracted by supercritical CO2, were evaluated. The high content of linoleic acid (w-6) and monounsaturated fatty acids contributed to the beneficial effect on the functional quality indices, which were 0.20, 0.23, 11.80 for IA, IT and H:H, respectively. In addition, a POV of 6.23 ± 0.08 milliequivalents of peroxide/kg oil and an anisidine index of 2.70 ± 0.05 indicated a good quality oil. Also, a high concentration of α-tocopherol (9.82 ± 0.02 mg/100 g oil) and a high TPC (114.14 ± 3.24 mg GAE/kg oil) were obtained. This study demonstrated that supercritical CO2 extraction is a suitable method for the delivery of a high-quality grape seed oil.
El aceite de semilla de uva generalmente se extrae con disolventes orgánicos altamente tóxicos y perjudiciales para la salud humana, se produce a partir de toneladas de residuos de orujo de uva, generados durante la elaboración del vino. A veces, estos residuos se utilizan para hacer compost o se queman, lo que provoca la contaminación del medio ambiente. Se evaluaron las cualidades funcionales, la capacidad antioxidante (AC), el contenido de α-tocoferol y los compuestos fenólicos totales (TPC) del aceite de semilla de uva de borgoña negra (Vitis labrusca), extraído mediante CO2 supercrítico. El alto contenido de ácido linoleico (w-6) y de ácidos grasos monoinsaturados contribuyó al efecto beneficioso sobre los índices de calidad funcional que fueron de 0,20, 0,23, 11,80 para IA, IT y H:H, respectivamente. Además, un POV de 6,23 ± 0,08 miliequivalentes de peróxido/kg de aceite y un índice de anisidina de 2,70 ± 0,05 indicaban una buena calidad del aceite. También se obtuvo una alta concentración de α-tocoferol (9,82 ± 0,02 mg/100 g de aceite) y un alto TPC (114,14 ± 3,24 mg de GAE/kg de aceite). Este estudio demostró que la extracción con CO2 supercrítico es un método adecuado para obtener un aceite de semilla de uva de alta calidad.
O óleo de semente de uva é geralmente extraído com solventes orgânicos altamente tóxicos que são prejudiciais à saúde humana, é produzido a partir de toneladas de resíduos de bagaço de uva, gerados durante a vinificação. Às vezes, esses resíduos são usados para fazer adubo ou são queimados, o que causa contaminação ambiental. Foram avaliadas as qualidades funcionais, capacidade antioxidante (AC), α-tocoferol e o teor total de compostos fenólicos (TPC) do óleo de semente de uva Borgoña Negra (Vitis labrusca), extraído por CO2 supercrítico. O alto teor de ácido linoleico (w-6) e ácidos graxos monoinsaturados contribuiu para o efeito benéfico sobre os índices de qualidade funcional que foram 0.20, 0.23, 11.80 para IA, IT e H:H, respectivamente. Além disso, um POV de 6.23 ± 0.08 miliequivalentes de peróxido/kg de óleo e um índice de anisidina de 2.70 ± 0.05 indicava uma boa qualidade de óleo. Também foi obtida uma alta concentração de α-tocoferol (9.82 ± 0.02 mg/100 g de óleo) e um alto TPC (114.14 ± 3.24 mg de óleo GAE/kg). Este estudo mostrou que a extração de CO2 supercrítico é um método adequado para a entrega de um óleo de semente de uva de alta qualidade.
Orgánica y Bioquímica
Functional and chemical qualities of Vitis labrusca grape seed oil extracted by supercritical CO2
Calidad funcional y química del aceite de semilla de Vitis labrusca extraído mediante CO2 supercrítico
Qualidade funcional e química do óleo de semente de Vitis labrusca extraído por CO2 supercrítico
Functional and chemical qualities of Vitis labrusca grape seed oil extracted by supercritical CO2
Revista Colombiana de Química, vol. 50, núm. 3, pp. 3-9, 2021
Universidad Nacional de Colombia
Recepción: 03 Mayo 2021
Revisado: 21 Agosto 2021
Aprobación: 21 Septiembre 2021
Abstract: Grape seed oil, which is extracted with highly toxic organic solvents that are harmful to human health, is produced from tons of grape pomace waste, generated during winemaking. Sometimes, this waste is used to make compost or is burnt, which causes environmental contamination. The functional qualities, antioxidant capacity (AC), α-tocopherol and total phenolic compounds content (TPC) of Black Borgoña (Vitis labrusca) grape seed oil, extracted by supercritical CO2, were evaluated. The high content of linoleic acid (w-6) and monounsaturated fatty acids contributed to the beneficial effect on the functional quality indices, which were 0.20, 0.23, 11.80 for IA, IT and H:H, respectively. In addition, a POV of 6.23 ± 0.08 milliequivalents of peroxide/kg oil and an anisidine index of 2.70 ± 0.05 indicated a good quality oil. Also, a high concentration of α-tocopherol (9.82 ± 0.02 mg/100 g oil) and a high TPC (114.14 ± 3.24 mg GAE/kg oil) were obtained. This study demonstrated that supercritical CO2 extraction is a suitable method for the delivery of a high-quality grape seed oil.
Keywords: Grape seed oil, Vitis labrusca, linoleic acid, α-tocopherol, phenolics, supercritical CO2.
Resumen: El aceite de semilla de uva generalmente se extrae con disolventes orgánicos altamente tóxicos y perjudiciales para la salud humana, se produce a partir de toneladas de residuos de orujo de uva, generados durante la elaboración del vino. A veces, estos residuos se utilizan para hacer compost o se queman, lo que provoca la contaminación del medio ambiente. Se evaluaron las cualidades funcionales, la capacidad antioxidante (AC), el contenido de α-tocoferol y los compuestos fenólicos totales (TPC) del aceite de semilla de uva de borgoña negra (Vitis labrusca), extraído mediante CO2 supercrítico. El alto contenido de ácido linoleico (w-6) y de ácidos grasos monoinsaturados contribuyó al efecto beneficioso sobre los índices de calidad funcional que fueron de 0,20, 0,23, 11,80 para IA, IT y H:H, respectivamente. Además, un POV de 6,23 ± 0,08 miliequivalentes de peróxido/kg de aceite y un índice de anisidina de 2,70 ± 0,05 indicaban una buena calidad del aceite. También se obtuvo una alta concentración de α-tocoferol (9,82 ± 0,02 mg/100 g de aceite) y un alto TPC (114,14 ± 3,24 mg de GAE/kg de aceite). Este estudio demostró que la extracción con CO2 supercrítico es un método adecuado para obtener un aceite de semilla de uva de alta calidad.
Palabras clave: aceite de semilla de uva, Vitis labrusca, ácido linoleico, α-tocoferol, fenólicos, CO2 supercrítico.
Resumo: O óleo de semente de uva é geralmente extraído com solventes orgânicos altamente tóxicos que são prejudiciais à saúde humana, é produzido a partir de toneladas de resíduos de bagaço de uva, gerados durante a vinificação. Às vezes, esses resíduos são usados para fazer adubo ou são queimados, o que causa contaminação ambiental. Foram avaliadas as qualidades funcionais, capacidade antioxidante (AC), α-tocoferol e o teor total de compostos fenólicos (TPC) do óleo de semente de uva Borgoña Negra (Vitis labrusca), extraído por CO2 supercrítico. O alto teor de ácido linoleico (w-6) e ácidos graxos monoinsaturados contribuiu para o efeito benéfico sobre os índices de qualidade funcional que foram 0.20, 0.23, 11.80 para IA, IT e H:H, respectivamente. Além disso, um POV de 6.23 ± 0.08 miliequivalentes de peróxido/kg de óleo e um índice de anisidina de 2.70 ± 0.05 indicava uma boa qualidade de óleo. Também foi obtida uma alta concentração de α-tocoferol (9.82 ± 0.02 mg/100 g de óleo) e um alto TPC (114.14 ± 3.24 mg de óleo GAE/kg). Este estudo mostrou que a extração de CO2 supercrítico é um método adequado para a entrega de um óleo de semente de uva de alta qualidade.
Palavras-chave: Óleo de semente de uva, Vitis labrusca, ácido linoleico, α-tocoferol, fenólicos, CO2 supercrítico.
Introduction
Peruvian wine production increased from 108 619.8 hL in 2017 to 151 085.32 hL in 2019 [1]. As a result, the amount of grape pomace, which is generally used to make compost or is often burnt causing environmental pollution, also increased. The main by-product of winemaking is represented by grape pomace that is 15 to 20% of the total grape weight [2].
The grape seed contains an interesting oil for the food and cosmetic industry. This oil contains bioactive compounds such as tocopherol, polyphenols and polyunsaturated fatty acids, which are beneficial to human health. a-tocopherol has various metabolic functions such as the protective role of biological membranes that prevent the oxidation of essential cellular components and the formation of peroxides [3]. Polyphenols have an antioxidant capacity, free radical scavenging and metal chelating activities. Thus, it is presumed that those antioxidant properties may have a positive impact on human health, in the prevention of cardiovascular and neurodegenerative diseases [4].
Grape seed oil is outstanding for its low content of saturated fatty acids and high content of linoleic acid, a polyunsaturated fatty acid that takes part in the synthesis of prostaglandins, which are necessary to reduce the aggregation of platelets and any type of inflammation [5]. The functional qualities of oils and fats can be measured with the indices of atherogenicity (IA) and thrombogenicity (IT) [6]. Turan et al. [7] proposed that the atherogenicity (IA) and thrombogenicity (IT) indices close to zero are favourable because they represent a higher content of anti-atherogenic fatty acids, which inhibit the aggregation of plaque and in consequence, prevent coronary heart disease. Another important factor for determining the functional qualities of oils is the value of the hypocholesterolaemic: hypercholesterolaemic ratio (H:H) where low H:H ratios are considered unfavourable because they can induce an increase in cholesterol [8].
On the other hand, in the attempt to reuse the biomass of grape seeds generated from by-products of the wine industry, the seed oil is extracted with highly toxic and flammable organic solvents such as hexane, which is dangerous for human health, since traces of solvents can remain in the oil. Thus, non-conventional methods, such as supercritical extraction, ultrasound-assisted extraction, accelerated solvent extraction, pressurised fluid extraction, and microwave-assisted extraction, are emerging options to recover bioactive compounds and promote environmentally-friendly methods to extract seed oils [9]. In addition, they require less amount of solvent and lower extraction times in comparison with conventional methods [10].
Non-conventional extraction technologies, currently underutilised because of the lack of data on the profitability of the investment, offer great opportunities. The trends have revealed that there is an increasing interest in scaling-up. However, the development and scaling-up of continuous or semi-continuous processes increase challenges. Therefore, there is a great need to develop parameters that will allow for an efficient design of instruments and process conditions to achieve improved results. i.e., increasing yields without increasing extraction time, designing systems that allow the addition of co-solvents, online monitoring parameters, etc. [11].
Oil extraction by supercritical CO2 offers several advantages over conventional methods due to its low viscosity and high diffusivity. Supercritical CO2 has properties to readily diffuse through solid materials, therefore making faster extractions. It is also recognised as GRAS (Generally Recognised as Safe) [12] and is classified as green technology because it obtains pollutant-free compounds. Therefore, it is important to study grape seed oil, a by-product of the wine industry, extracted by supercritical CO2 and to evaluate its unsaturated fatty acids and bioactive compounds, specifically α-tocopherol and TPC.
The objective of the present study was to evaluate the chemical and functional qualities of Black Borgoña (Vitis labrusca) grape seed oil extracted by supercritical CO2.
Materials and methods
Reagents
Acetic acid ACS grade (EMD, USA), chloroform ACS grade (Merck, Germany), potassium iodide solution p.a. grade (Carsson Labaratories, USA), solution of sodium thiosulfate ACS grade (Merck, Germany), starch p.a. grade (Sigma-Aldrich, Germany), isooctane for spectroscopy (Merck, Germany), solution of .-anisidine grade I (Sigma, USA), methanol HPLC grade (Merck, Germany), α-tocopherol ≥ 96% (NHU, Germany), ethanol 99.5% (Scharlau, Spain), Fatty Acid Methyl Ester Mix C4-C24 standard mix 37 FAME (Supelco, Germany), ABTS 2-2′-azino-bis(3-ethyl-benzothiazoline-6-sulfonic acid) HPLC grade (Alfa Aesar, China), potassium persulfate ACS grade (Merck, Germany), Trolox (6-hydroxy-2,5,7,8-tetramethylchroman-2-carboxylic acid) ≥ 96% (Sigma Aldrich, China), DPPH 2,2-diphenyl-1-picrylhydrazyl ≥ 96% (Alfa Aesar, Germany), ethyl acetate (Merck, HPLC, Germany), carbon dioxide 99.5% v /v liquefied gas (Linde, Peru) nitrogen atmosphere Ultrapuro (Linde, Peru).
Grape seed
Thirty kg of Black Borgoña (Vitis labrusca) grape pomace were donated by the Maskay Pacha winery in Lomo Largo from the district of Sunampe, Chincha (Ica-Peru) (13° 25' 19.056'' S, 76° 10' 9.912'' W) 64 m.a.s.l. with an average temperature of 25 °C in March 2020. The fresh pomace was brought to the CITEagroindustrial Ica facilities and dried in a dryer (Vulcano, EQ-03SW, Peru) at 45 °C with a maximum air relative humidity of 80% for 18 h. The dried pomace was sent to the Laboratorio de Compuestos Bioactivos of the Dirección de Investigación, Desarrollo, Innovación y Transferencia Tecnológica (DIDITT) of the Instituto Tecnológico de la Producción (ITP), located in Callao-Perú. There, the seeds were separated and placed in a dryer (Venticell, model LSIS-B2V / VC 222, USA) at 45 °C with a maximum air relative humidity of 80% for 4 h until they reached a maximum moisture content of 7% [13]. Then, the dried seeds were vacuum packed, protected from light and refrigerated at 5 °C. Prior to each analysis, the seeds were ground and passed through a 0.71 mm sieve.
Grape seed oil extraction by Supercritical CO2
The experiments were carried out with the multi-solvent extractor equipment Model 2802.000 (Top Industrie, France) equipped with a CO2 pump (HPFlow Pump 50 - 100), co-solvent pump (90-2491 REV L, SSI), chiller (PCPR 13.02-NED, National Lab), reactor (ø = 163 mm, height = 353 mm), and an extraction cell of 1 L capacity with a volume reducer device (diameter = 29 mm; height = 147 mm). For each extraction, 37 ± 0.5 g of seeds were weighed and alternated with glass beads; the process was carried out at 33 °C and 188 bar according to the optimised conditions described by Barriga-Sanchez et al. [13]; with a CO. flow of 50 g/min for 180 min. Carbon dioxide (99.5% v/v liquefied gas) was used for the extraction process, the weight of the oil was recorded every 30 min and the extracted oil was stored in a nitrogen atmosphere at 5-8 °C. Oil samples were preserved at room temperature (20-21 °C) for 2 h before analysis. Extracts were obtained in triplicate and analysed in duplicate.
The global grape seed oil yield was calculated as the mathematical relationship between the extracted oil and the mass of the sample (dry basis) according to equation 1 [14].

Where: Y(%db) is the global grape seed oil yield (%), mo is the oil mass (dry basis), ma is the sample mass, and Ua is the moisture of the sample (6%).
Fatty acid profile of grape seed oil
The fatty acid profile was determined as described by Prevot and Mordret [15]. A gas chromatograph with an FID detector (Autosystem XL, Perkin Elmer, USA) equipped with a Supelcowax 10 column (Merck, Germany) (30 m × 0.25 mm id; film thickness: 0.25 μm) based on the saponification and methylation of triglycerides and phospholipids of the lipid fraction, was used. Hydrogen was used as the carrier gas at 5 psi. The injector and detector temperatures were 250 °C and 270 °C, respectively. A volume of 2 µL was injected at a split ratio of 100:1. The fatty acid peaks were identified by comparison with the retention times of the Fatty Acid Methyl Ester Mix C4-C24. The area of the peaks was calculated using TotalChrom Navigator software (Version: 6.2.0.0.0: B27, 2001, USA) and the percentage of each fatty acid was calculated by comparing the individual area of each peak with the total fatty acid area.
Functional qualities of grape seed oil
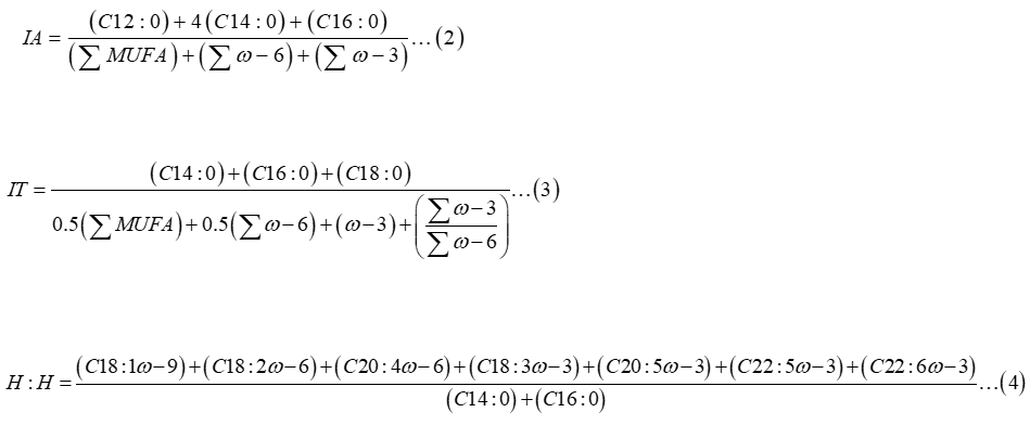
The fatty acid profile of grape seed oil was used to determine the index of atherogenicity (IA) and the index of thrombogenicity (IT) according to equations 2 and 3, respectively [6]. The hypocholesterolaemic: hypercholesterolaemic ratio (H:H) was assessed according to equation 4 as defined by Santos-Silva et al. [8] in order to evaluate the nutritional value of fat. The IA and IT values close to zero are considered advantageous in the prevention of coronary heart disease [7] and higher H:H ratios are beneficial on lipid products for human consumption because H:H ratios are associated with the benefits of high-density lipoproteins as stated by Pinto et al. [14].

Where: C12:0 (lauric acid); C14:0 (myristic acid); C16:0 (palmitic acid); C18:0 (stearic acid); C18:1 -9 (oleic acid); C18:2 -6 (linoleic acid); C18:3 -3 (linolenic acid); C20:4 -6 (arachidonic acid); C20:5 -3 EPA (eicosapentaenoic acid); C22:5 -3 DPA (docosapentaenoic acid); C22:6 -3 DHA (docosahexaenoic acid); MUFA (monounsaturated Fatty Acids).
Chemical qualities of grape seed oil
Peroxide Value (POV): The oil sample was dissolved in a mixture of acetic acid and chloroform (3:2) then, a potassium iodide solution was added to liberate iodine. The titration was carried out with a standardized solution of sodium thiosulfate until the starch turned from a light blue color to a transparent hue [16].
Anisidine Index: The oil sample was dissolved in isooctane, then a solution of .-anisidine dissolved in acetic acid was added and the absorbance was measured at a wavelength of 350 nm in a UV visible spectrophotometer [17] model Genesys 180 (Thermo Scientific, USA).
α-tocopherol
Tocopherol extraction was carried out as explained by Shiozaki and Murakami [18] and α-tocopherol was quantified as described by Martínez-Rojano et al. [19]. Two mL of ethanol were added to the grape seed oil extract, passed through 0.2 µm pore nylon filters and injected into the HPLC equipment (Series 200, Perkin Elmer, USA) with a UV detector at 290 nm, equipped with a Kromasil C18 reversed phase column of 5 µm and dimensions of 4.6 x 150 mm. The isocratic mobile phase consisted of methanol: water (96: 4), injection volume: 50 µL, temperature: 40 °C at a flow rate of 2 mL/min. The α-tocopherol content was expressed as mg of α-tocopherol per 100 g of sample, using a curve generated with standard solutions of 3, 6, 9, 12 and 15 mg of α-tocopherol (≥ 96%) per litre in ethanol.
Antioxidant capacity (AC)
The AC of the grape seed oil extracts was determined by means of two methods:
The 2-2′-azino-bis (3-ethyl- benzothiazoline-6-sulfonic acid) (ABTS) radical cation scavenging capacity test was performed on hydrophilic and lipophilic fractions according to Varas et al. [20]. The absorbance of the mixture was measured at 734 nm using a spectrophotometer model Genesys 180 (Thermo Scientific, USA) after 30 min at room temperature (20-21 °C), using ethanol as blank. The AC was evaluated as percentage of absorbance decrease (inhibition percentage). The results were expressed as μmol of Trolox equivalent antioxidant capacity (TEAC) per gram of oil using a reference curve with concentrations of 0.1; 0.5; 0.8; 1.0; 1.5 and 2.0 mM Trolox in methanol.
The 2,2-diphenyl-1-picrylhydrazyl (DPPH), quenching method was used to evaluate the radical scavenging power [21]. The absorbance of the mixture was measured at 520 nm using a spectrophotometer model Genesys 180 (Thermo Scientific, USA) after 30 min in the darkness at room temperature (20-21 °C), using ethyl acetate as blank. AC was calculated using the Trolox standard curve prepared and expressed as µmol TEAC per gram of oil.
Total phenol content (TPC)
The phenolic compounds were extracted with a methanol: water mixture in a 90:10 ratio [22] and the TPC was quantified with the Folin-Ciocalteau colorimetric method [23]. The reading was carried out at 750 nm and the results were reported as mg gallic acid equivalent (GAE)/kg oil.
Results and Discussion
Supercritical CO2 extraction
The global oil yield from Black Borgoña (Vitis labrusca) grape seeds, obtained by supercritical CO2 during 3 h of extraction, on a dry basis (db%) was 9.14 ± 0.38% (w/w), as shown in Figure 1. This yield was closer to the values found by Agostini et al. [24] in Isabel (Vitis labrusca) grape seeds (8-9%) who used supercritical CO2 at 250 bar, 80 °C and a flow of 69 g/min for 60 min. The pressure, temperature and extraction flow rate with supercritical CO2 used in this study were different from the parameters used by the aforementioned researchers. However, the global yields were similar perhaps because supercritical CO2 density values were 0.8 g/mL or higher, which is critical for the extraction of lipids. Thus, the higher the temperature of CO2, the greater the pressure that is needed to achieve a high density [25]. This supercritical CO2 method is an environmentally-friendly and low-cost alternative that produces high value oils compared to other conventional organic and usually toxic solvents such as hexane [25] [26]. Aside from the advantages of this method, the oil yield is slightly lower when compared with other extraction solvents such as hexane due to the higher selectivity of supercritical CO2 toward triglycerides [27]. Thus, some modifications that may include the addition of a co-solvent may be necessary to improve extraction efficiency.

Figure 1. Global grape seed oil yield (db%) vs. time (min) during Borgoña grape (Vitis labrusca) seed oil extraction by supercritical CO2 at 33 °C and 188 bar.
Fatty acid profile and functional qualities of grape seed oil
Black Borgoña (Vitis labrusca) grape seed oil showed a great concentration of unsaturated fatty acids (89.57 g/100 g oil) compared to the saturated fatty acids content of 10.46 g/100 g of oil (Table 1). These unsaturated fatty acids are antiatherogenic as they inhibit plaque accumulation and reduce levels of phospholipids, cholesterol, and esterified fatty acids [28]. Among the unsaturated fatty acids, the highest concentration was found for linoleic acid (C18: 2ω-6) with 71.56 ± 0.24 g/100 g oil similar to the concentration determined by FAO/OMS [29] for grape seed oil. Oleic acid followed with 16.31 ± 0.16 g/100 g oil, as shown in Table 1.
Table 1. Fatty acid profile of Black Borgoña (Vitis labrusca) grape seed oil extracted by supercritical CO2.
| Fatty Acids | g/100 g seed oil |
| C 12:0 (Lauric) | 0.01 ± 0.00 |
| C 14:0 (Myristic) | 0.09 ± 0.01 |
| C 16:0 (Palmitic) | 7.4 ± 0.05 |
| C 16:1 (Palmitoleic) | 0.15 ± 0.01 |
| C 18:0 (Stearic) | 2.96 ± 0.01 |
| C 18:1 w-9 (Oleic) | 16.31 ± 0.16 |
| C 18:1 w-7 (Vaccenic) | 0.85 ± 0.01 |
| C 18:2 w-6 (Linoleic) | 71.56 ± 0.24 |
| C 18:3 w-3 (α-Linolenic) | 0.52 ± 0.05 |
| C 20:1 w-9 (Eicosenoic) | 0.14 ± 0.01 |
| C 20:4 w-6 (Arachidonic) | nd |
| C 20:5 w-3 (Eicosapentaenoic) | nd |
| C 22:5 DPA | nd |
| C 22:6 w-3 (Docosahexaenoic) | 0.04 ± 0.00 |
| Saturated Fatty Acids (SFA) | 10.46 ± 0.01 |
| Monounsaturated Fatty Acids (MUFA) | 17.45 ± 0.01 |
| Polyunsaturated Fatty Acids (PUFA) | 72.12 ± 0.01 |
nd: Not detected.
Fatty acids w-6 are widely consumed in the form of linoleic acid, mainly from vegetable oils [14]. Linoleic acid is the most highly consumed PUFA found in the human diet and has 4 main fates. It can be used as an energy source, it can be esterified to form neutral and polar lipids such as phospholipids, triacylglycerols and cholesterol esters. As part of phospholipids, it also works as a structural component of the membrane and when released it can be involved in cell signaling. In addition, when released from membrane phospholipids, it can be enzymatically oxidized to a variety of derivatives involved in cell signaling [i.e., 13-hydroxy or 13- hydroperoxy octadecadienoic acid, 13-H(P)ODE]. Even though a recommended daily allowance (RDA) has yet to be established, the reference intake in the USA for women and men between the ages of 19 and 50 years of age, are 12 and 17 g/day respectively, and 7 g/day for children between 1 and 3 years of age [30].
Black Borgoña (Vitis labrusca) grape seed oil, extracted by supercritical CO2 and with the highest concentration of unsaturated fatty acids, showed IA and IT of 0.20 and 0.23, respectively. As mentioned before, IA and IT values close to zero are desirable as they deliver an oil with good nutritional and functional composition. Low IA and IT influence the prevention of cardiovascular disorders as also concluded by Pinto et al. [14]. Dimić et al. [31] reported an average IA in red and white grape (Vitis vinifera L.) seed oil of 0.085, which is lower than the values reported in this study. Alvites et al. [32] also found lower values for conventional black chia seed oil (IA: 0.0773 and IT: 0.0486) and evidenced IA and IT values for olive oil of 0.1250 and 0.3230, respectively that are comparable with the indices reported in this study. On the other hand, Ulbricht and Southgate [6] reported higher IA and IT in coconut oil (13.63 and 6.18) and palm oil (0.88 and 1.74).
The hypocholesterolaemic: hypercholesterolaemic (H:H) ratio determined in this study was 11.80. This ratio is in accordance with the results shown by Dimić et al. [31] who reported values in the range of 11.07 to 12.28 for red grape seeds and from 11.30 to 12.09 for white grape seeds. Alvites et al. [32] reported a greater value for conventional black chia seed oil (13.1271) while showing a lower value for olive oil (7.9151) than the value found in this research.
Considering the low IA and IT; and high H:H ratio of the sample under study, Black Borgoña (Vitis labrusca) grape seed oil should be classified as a functional food. Thus, higher H:H ratios are desirable on lipid products for human consumption because H:H is related to the benefits of high-density lipoproteins (HDL) in the metabolism [14].
Chemical qualities of grape seed oil
Black Borgoña (Vitis labrusca) grape seed oil complied with the quality limits established by FAO/OMS [29] regarding the POV and anisidine index for oils. POV determines the amount of hydroperoxides formed during the initial oxidation stage [33]. In this study, POV was 6.23 ± 0.08 milliequivalents of peroxide/kg oil. Yousefi et al. [34] evaluated seed oil from two Shahrodi grape varieties (Lal and Khalili), extracted by the Soxhlet method with petroleum ether as solvent, obtaining POV values of 9.30 and 10.63 milliequivalent/kg respectively. Barriga-Sánchez et al. [13] found a POV of 38.44 ± 0.44 milliequivalent/kg for Quebranta grape seed oil (Vitis vinifera) extracted with hexane. Our lower POV number indicates a good quality of oil and a good preservation status, possibly due to the supercritical CO2 oil extraction technique used.
As mentioned by Roshanpour et al. [33], the peroxide value does not determine by itself the oxidation stability of oils such as grape seed oil. Therefore, the anisidine index was used to investigate a secondary oxidation, whose value was 2.70 ± 0.05 in this study and was close to the values found by Barriga-Sánchez et al. [13] in Quebranta (Vitis vinífera) grape seed oil extracted with supercritical CO2 and hexane: 2.30 ± 0.20 and 3.06 ± 0.15, respectively. This index was less than the quality limit required for fish oil (≤ 20).
Oil acidification is produced by hydrolytic processes of a chemical or enzymatic nature (lipases) that lead to the breaking of triglyceride ester bonds and the resulting release of fatty acids that are responsible for fat acidity. The free fatty acid accumulation and consequent degree of acidity can lead to unpleasant flavours and oxidative processes [35]. In this study, the concentration of free fatty acids of 0.425 ± 0.004% for lauric acid was below the quantification limit as recommended by FAO/OMS for other oils such as crude palm kernel oil (4%) [29].
α-tocopherol
The concentration of α-tocopherol found in Black Borgoña (Vitis labrusca) grape seed oil was 9.82 ± 0.02 mg α-tocopherol/100 g oil. This value was within the ranges found in grape seed oils, from Northern Italy, extracted by supercritical CO2 by Ben Mohamed et al. [36] (8.7 to 17.4 mg α-tocopherol/100 g oil). Converting 9.82 ± 0.02 mg α-tocopherol/100 g oil to 0.89 mg α-tocopherol/100 g grape seed to allow for a comparison, we observed that our concentration was higher than that found for Isabel (Vitis labrusca) grape variety by Agostini et al. [24] (0.39 mg α-tocopherol/100 g grape seed). Lower concentrations of 3.63 to 7.84 mg α-tocopherol/100 g oil were also found by Dimić et al. [31] in red grape (Vitis vinifera L.) seed oil extracted by supercritical CO2.
The concentration of 9.82 ± 0.02 mg α-tocopherol/100 g oil reported in this study was higher than the levels of α-tocopherol established by FAO/OMS [29] for grape seed oils (1.6 - 3.8 mg/100 g oil). This contribution is extremely beneficial in the diet considering that the recommended daily intake of vitamin E (α-tocopherol), as specified by the Fundación Española del Corazón [37], is 6-7 mg of α-tocopherol for children, 10 mg for adolescent and adult men, 10 mg for adolescent and adult women, and 8 mg during pregnancy.
Antioxidant capacity (AC)
The AC found by the ABTS method was 1.12 ± 0.03 µmol TEAC/g oil in the lipophilic part and 0.28 ± 0.01 µmol TEAC/g oil in the hydrophilic part. These values were lower than those found by Ben Mohamed et al. [36] in six different grape seed oils from Northern Italy, extracted by supercritical CO2, who reported 4.9 to 8.2 µmol TEAC/g for the lipophilic part and 0.9 to 2.0 µmol TEAC/g for the hydrophilic part. It can be observed that AC is greater for the lipophilic compartment than the hydrophilic compartment. These differences could be due to the grape variety, soil composition, climatic conditions among other factors.
The AC found by the DPPH method was 1.50 ± 0.03 µmol TEAC/g of oil which was lower than AC reported by Li et al. [38] who used CO2-expanded ethanol (CXE) (9.1 µmol TEAC/ g oil) in oil extracted from grape seeds (Vitis vinifera L.) from Turpan-Xinjiang, China. According to the authors, CXE provided beneficial features such as polarity-adjustable, enhanced solubility and fast diffusion that may have contributed to the greatest AC found in their investigation. In the case of supercritical CO2, this easily enters the sample matrix to solubilize nonpolar compounds. Thus, this method offers more efficient and faster extraction processes than traditional techniques with organic solvents. Because of the low polarity of CO2, a low amount of polarity modifiers may be used (1-10%) to increase the solvation power towards the lipophilic analytes of interest [39].
In addition, the difference in the results could be due to the various types of phenolic compounds in each grape variety, or to a linkage of these compounds to other types of substances that make them more insoluble or complex, such as long chains of suberin and cutin, which do not allow a direct reaction with the DPPH radical [40]. Also, several other compounds may also have an antioxidant role such as α-tocopherol as reported by Bada et. al [41] in grapes grown in Toro and Cangas (Spain). They found a high α-tocopherol content (3.69–3.82 mg/100 g) that suggested an antioxidant activity in grape seed oils.
Total Polyphenol Content (TPC)
The TPC obtained in Black Borgoña (Vitis labrusca) grape seed oil was 114.14 ± 3.24 mg GAE/kg oil. This TPC was higher than those reported by Ben Mohamed et al. [36] in grape seed oils whose TPC ranged from 28 to 60 mg GAE/kg sample; but it was found to lie within the range reported by Bail et al. [22] 59 to 115.5 mg GAE/kg in virgin cold pressed unfiltered grape seed oils from Austria. The difference in TPC could be due to the climatic conditions during grape vine cultivation, heat, droughts, and light intensity, which are some environmental factors that influence the phenolic metabolism of grapes.
Conclusions
This study reported the functional and chemical qualities of Black Borgoña grape seed oil extracted by supercritical CO2. Considering that oil extraction by supercritical CO2 avoids exposure to high temperatures, oxygen, and light, the Black Borgoña grape seed oil met quality requirements established for both peroxide and anisidine values as well as free fatty acids, in the vegetable oil category. Overall, Black Borgoña grape seed oil displayed a high concentration of TPC and a high percentage of unsaturated fatty acids, of which linoleic acid was present in the greatest amount. Further, it corresponds with the α-tocopherol Nutrient Reference Value adopted by FAO/OMS. These are desirable functional qualities that could open important applications. Specifically, wine pomace, which produces grape seed oil would permit a novel use of this by-product for the Sunampe-Chincha (Ica-Peru) wine industry as it contains compounds with beneficial health effects. Alternative methods, such as pre-treatment of the sample and alternative drying technologies, should be explored by food processors to protect the bioactive compounds and decrease the oxidation rate, respectively. Furthermore, the investment and processing costs should be estimated to ensure the technical and economic viability of the supercritical CO2 extraction method.
Acknowledgements
The authors of this work would like to thank the Maskay Pacha winery in Lomo Largo from the district of Sunampe (Chincha, Ica-Perú), especially Mrs. Magdalena Pachas for donating the grape pomace.
References
[1] Instituto Nacional de estadística e informática (INEI), “Series Nacionales, Producción de Pisco y Vinos, Perú,” 2020, [Online]. Available: http://webapp.inei.gob.pe:8080/sirtod-series/.
[2] M. Bordiga, F. Travaglia, and M. Locatelli, “Valorisation of grape pomace: an approach that is increasingly reaching its maturity – a review,” Int. J. Food Sci. Technol., vol. 54, no. 4, pp. 933–942, 2019, doi: 10.1111/ijfs.14118.
[3] M. Bravo, O. Puratic, R. Stephan, and I. Oviedo, “Vitamina E,” Rev. Chil. pediatría, vol. 47, no. 5–6, pp. 402–408, 1976, doi: 10.4067/S0370-41061976000500009.
[4] E. Gimeno, “Compuestos fenólicos,” Offarm, vol. 23, no. 6, pp. 80–84, 2004, [Online]. Available: https://www.elsevier.es/es-revista-offarm-4-articulo-compuestos-fenolicos-un-analisis-sus-13063508.
[5] P. Navas, “Composición química del aceite virgen obtenido por extracción mecánica de algunas variedades de uva (Vitis vinifera L.) con énfasis en los componentes minoritarios,” Arch. Latinoam. Nutr., vol. 59, no. 2, 2009, [Online]. Available: http://ve.scielo.org/scielo.php?script=sci_arttext&pid=S0004-06222009000200015.
[6] T. L. V. Ulbricht and D. A. T. Southgate, “Review article - Coronary heart disease: seven dietary factors,” Lancet, vol. 338, pp. 985–992, 1991, doi: 10.1016/0140-6736(91)91846-m.
[7] H. Turan, G. Sönmez, and Y. Kaya, “Fatty acid profile and proximate composition of the thornback ray (Raja clavata, L. 1758) from the Sinop coast in the Black Sea,” J. Fish. Sci., vol. 1, no. 2, pp. 97–103, 2007, doi: 10.3153/jfscom.2007012.
[8] J. Santos-Silva, R. J. B. Bessa, and F. Santos-Silva, “Effect of genotype, feeding system and slaughter weight on the quality of light lambs. II. Fatty acid composition of meat,” Livest. Prod. Sci., vol. 77, no. 2–3, pp. 187–194, 2002, doi: 10.1016/S0301-6226(02)00059-3.
[9] P. Chowdhary, A. Gupta, E. Gnansounou, A. Pandey, and P. Chaturvedi, “Current trends and possibilities for exploitation of Grape pomace as a potential source for value addition,” Environ. Pollut., vol. 278, no. 1, p. 116796, 2021, doi: 10.1016/j.envpol.2021.116796.
[10] T. Ilyasa, P. Chowdhary, D. C. E. Gnansounou, A. Pandey, and P. Chaturvedi, “Sustainable green processing of grape pomace for the production of value-added products: An overview,” Environ. Technol. Innov., vol. 23, p. 101592, 2021, doi: 10.1016/j.eti.2021.101592.
[11] T. Belwal et al., “Recent advances in scaling-up of non-conventional extraction techniques: Learning from successes and failures,” TrAC - Trends Anal. Chem., vol. 127, p. 115895, 2020, doi: 10.1016/j.trac.2020.115895.
[12] R. P. F. F. Da Silva, T. A. P. Rocha-Santos, and A. C. Duarte, “Supercritical fluid extraction of bioactive compounds,” TrAC - Trends Anal. Chem., vol. 76, pp. 40–51, 2016, doi: 10.1016/j.trac.2015.11.013.
[13] M. Barriga-Sánchez, A. Churata Huanca, and Ó. Tinoco Gómez, “Optimización del rendimiento de la extracción de aceite de semillas de Vitis vinifera con CO.supercrítico,” Rev. la Soc. Química del Perú, vol. 84, no. 2, pp. 217–227, 2018, doi: 10.37761/rsqp.v84i2.143.
[14] R. H. H. Pinto et al., “Supercritical CO. extraction of uxi (Endopleura uchi) oil: Global yield isotherms, fatty acid profile, functional quality and thermal stability,” J. Supercrit. Fluids, vol. 165, p. 104932, 2020, doi: 10.1016/j.supflu.2020.104932.
[15] G. Prevot and M. Mordret, “Utilisation des colonnes capillaires de yerre pour l´analyse des cords gras par chromatographie en phase gazeose,” Rev. Fr. des Corps Gras, no. 23, pp. 7–8, 1976.
[16] Association of Official Analytical Chemists Official, Methods of analysis of the Association of Official Analytical Chemists, 20 th. Arlington: AOAC, 2016.
[17] INACAL, “Norma Técnica Peruana 209.217. Aceites y grasas comestibles. Método de determinación del índice de anisidina,” in INACAL, 1st ed., Lima, 2018, pp. 1–10.
[18] S. Shiozaki and K. Murakami, “Lipids in the seeds of wild grapes native to Japan: Vitis coignetiae and Vitis ficifolia var. ganebu,” Sci. Hortic. (Amsterdam)., vol. 201, pp. 124–129, 2016, doi: 10.1016/j.scienta.2016.01.038 0304-4238.
[19] H. Martínez-Rojano, R. Sámano, M. Tolentino, R. M. Morales Hernández, C. Ramírez, and M. L. Pizano Zárate, “Utilidad de un método que determina simultáneamente retinol y α-tocoferol en leche materna por cromatografía líquida de alta resolución,” Perinatol. y Reprod. Humana, vol. 30, no. 4, pp. 151–158, 2016, doi: 10.1016/j.rprh.2016.11.009.
[20] M. A. Varas Condori et al., “Effect of tomato (Solanum lycopersicum L.) lycopene-rich extract on the kinetics of rancidity and shelf-life of linseed (Linum usitatissimum L.) oil,” Food Chem., vol. 302, p. 125327, 2020, doi: https://doi.org/10.1016/j.foodchem.2019.125327.
[21] S. Uluata and N. Özdemir, “Antioxidant activities and oxidative stabilities of some unconventional oilseeds,” JAOCS, J. Am. Oil Chem. Soc., vol. 89, no. 4, pp. 551–559, 2012, doi: 10.1007/s11746-011-1955-0.
[22] S. Bail, G. Stuebiger, S. Krist, H. Unterweger, and G. Buchbauer, “Characterisation of various grape seed oils by volatile compounds, triacylglycerol composition, total phenols and antioxidant capacity,” Food Chem., vol. 108, no. 3, pp. 1122–1132, 2008, doi: 10.1016/j.foodchem.2007.11.063.
[23] V. Singleton, R. Orthofer, and R. Lamuela-Raventós, “Analysis of total phenols and other oxidation substrates and antioxidants by means of folin-ciocalteu reagent,” Methods Enzymol., vol. 299, pp. 152–178, 1999, doi: 10.1016/S0076-6879(99)99017-1.
[24] F. Agostini, R. A. Bertussi, G. Agostini, A. C. Atti Dos Santos, M. Rossato, and R. Vanderlinde, “Supercritical extraction from vinification residues: Fatty acids, α-tocopherol, and phenolic compounds in the oil seeds from different varieties of grape,” Sci. World J., pp. 1–9, 2012, doi: 10.1100/2012/790486.
[25] L. Cunico and C. Turner, “Supercritical Fluids and Gas-Expanded Liquids,” in The Application of Green Solvents in Separation Processes, 1 st., F. Pena-Pereira and M. Tobiszewski, Eds. United States: Elsevier, 2017, pp. 155–214.
[26] M. E. Martin, E. Grao-Cruces, M. C. Millan-Linares, and S. Montserrat-De la Paz, “Grape (Vitis vinifera L.) seed oil: A functional food from the winemaking industry,” Foods, vol. 9, no. 10, pp. 1–20, 2020, doi: 10.3390/foods9101360.
[27] M. Bravi et al., “Improving the extraction of α-tocopherol-enriched oil from grape seeds by supercritical CO.. Optimisation of the extraction conditions,” J. Food Eng., vol. 78, no. 2, pp. 488–493, 2007, doi: 10.1016/j.jfoodeng.2005.10.017.
[28] B. Omri et al., “Effect of dietary incorporation of linseed alone or together with tomato-red pepper mix on laying hens’ egg yolk fatty acids profile and health lipid indexes,” Nutrients, vol. 11, no. 4, pp. 1–13, 2019, doi: 10.3390/nu11040813.
[29] FAO/OMS, Norma para aceites vegetales especificados CXS 210-1999 (enmendado en 2019). Roma, Italia, 2019.
[30] J. Whelan and K. Fritsche, “Linoleic Acid,” Adv. Nutr., vol. 4, no. 3, pp. 311–312, 2013, doi: 10.3945/an.113.003772.
[31] I. Dimić et al., “Innovative and conventional valorizations of grape seeds from winery by-products as sustainable source of lipophilic antioxidants,” Antioxidants, vol. 9, no. 7, pp. 1–19, 2020, doi: 10.3390/antiox9070568.
[32] K. C. Alvites Misajel, “Comparación del perfil de ácidos grasos del aceite de chía (Salvia hispánica L.) orgánica y convencional (variedades blanca y negra) cultivadas en el Perú, como una alternativa para aceites vegetales comestibles,” Universidad Peruana de Ciencias Aplicadas (UPC), 2021.
[33] S. Roshanpour, J. Tavakoli, F. Beigmohammadi, and S. Alaei, “Improving antioxidant effect of phenolic extract of Mentha piperita using nanoencapsulation process,” J. Food Meas. Charact., vol. 15, pp. 1–10, 2020, doi: 10.1007/s11694-020-00606-x.
[34] M. Yousefi, L. Nateghi, M. Gholamian, and L. Nateghi, “Physicochemical properties of two type of shahrodi grape seed oil ( Lal and Khalili ),” Eur. J. Exp. Biol., vol. 3, no. 5, pp. 115–118, 2013, [Online]. Available: https://www.imedpub.com/articles/physicochemical-properties-of-two-type-of-shahrodi-grape-seed-oillal-and-khalili.pdf.
[35] I. Martínez Hernández, J. and Astiasarán Anchía, “Alimentos : Composición y propiedades,” España: McGraw-Hill, 2011.
[36] H. Ben Mohamed et al., “Bioactive compounds and antioxidant activities of different grape (Vitis vinifera L.) seed oils extracted by supercritical CO. and organic solvent,” LWT - Food Sci. Technol., vol. 74, no. 2016, pp. 557–562, 2016, doi: 10.1016/j.lwt.2016.08.023.
[37] Fundación Española del Corazón, “Nutrientes Vitamina E – Tocoferol.” 2021, [Online]. Available: https://fundaciondelcorazon.com/nutricion/nutrientes/849-vitamina-e-tocoferol.html.
[38] H. Li, X. Fu, G. Deng, A. David, and L. Huang, “Extraction of oil from grape seeds (Vitis vinifera L.) using recyclable CO.-expanded ethanol,” Chem. Eng. Process. - Process Intensif., vol. 157, no. September, p. 108147, 2020, doi: 10.1016/j.cep.2020.108147.
[39] M. Herrero, M. Castro-Puyana, J. A. Mendiola, and E. Ibañez, “Compressed Fluids (SFE, PLE and SWE) for yhe extraction of bioactive compounds,” TrAC - Trends Anal. Chem., vol. 43, pp. 67–83, 2013, doi: 10.1016/j.trac.2012.12.008.
[40] F. Surco-laos, H. A. Paucar, and W. Q. Gamboa, “Determinación de polifenoles totales y actividad antioxidante de extracto de semillas de uvas residuos de la producción de Piscos,” Rev. la Soc. Química del Perú, vol. 86, no. 2, pp. 123–131, 2020, doi: 10.37761/rsqp.v86i2.282.
[41] J. C. Bada, M. León-Camacho, P. Copovi, and L. Alonso, “Characterization of grape seed oil from wines with protected denomination of origin (PDO) from Spain,” Grasas y Aceites, vol. 66, no. 3, pp. 1–6, 2015, doi: 10.3989/gya.1063142.
Notas de autor
mbarriga@itp.gob.pe
Recibido: 3 de mayo de 2021; Revisión solicitada: 21 de agosto de 2021; Aceptado: 21 de septiembre de 2021
Abstract
Grape seed oil, which is extracted with highly toxic organic solvents that are harmful to human health, is produced from tons of grape pomace waste, generated during winemaking. Sometimes, this waste is used to make compost or is burnt, which causes environmental contamination. The functional qualities, antioxidant capacity (AC), α-tocopherol and total phenolic compounds content (TPC) of Black Borgoña (Vitis labrusca) grape seed oil, extracted by supercritical CO2, were evaluated. The high content of linoleic acid (w-6) and monounsaturated fatty acids contributed to the beneficial effect on the functional quality indices, which were 0.20, 0.23, 11.80 for IA, IT and H:H, respectively. In addition, a POV of 6.23 ± 0.08 milliequivalents of peroxide/kg oil and an anisidine index of 2.70 ± 0.05 indicated a good quality oil. Also, a high concentration of α-tocopherol (9.82 ± 0.02 mg/100 g oil) and a high TPC (114.14 ± 3.24 mg GAE/kg oil) were obtained. This study demonstrated that supercritical CO2 extraction is a suitable method for the delivery of a high-quality grape seed oil.
Keywords
Grape seed oil, Vitis labrusca , linoleic acid, α-tocopherol, phenolics, supercritical CO2 .Resumen
El aceite de semilla de uva generalmente se extrae con disolventes orgánicos altamente tóxicos y perjudiciales para la salud humana, se produce a partir de toneladas de residuos de orujo de uva, generados durante la elaboración del vino. A veces, estos residuos se utilizan para hacer compost o se queman, lo que provoca la contaminación del medio ambiente. Se evaluaron las cualidades funcionales, la capacidad antioxidante (AC), el contenido de α-tocoferol y los compuestos fenólicos totales (TPC) del aceite de semilla de uva de borgoña negra (Vitis labrusca), extraído mediante CO2 supercrítico. El alto contenido de ácido linoleico (w-6) y de ácidos grasos monoinsaturados contribuyó al efecto beneficioso sobre los índices de calidad funcional que fueron de 0,20, 0,23, 11,80 para IA, IT y H:H, respectivamente. Además, un POV de 6,23 ± 0,08 miliequivalentes de peróxido/kg de aceite y un índice de anisidina de 2,70 ± 0,05 indicaban una buena calidad del aceite. También se obtuvo una alta concentración de α-tocoferol (9,82 ± 0,02 mg/100 g de aceite) y un alto TPC (114,14 ± 3,24 mg de GAE/kg de aceite). Este estudio demostró que la extracción con CO2 supercrítico es un método adecuado para obtener un aceite de semilla de uva de alta calidad.
Palabras clave
aceite de semilla de uva, Vitis labrusca , ácido linoleico, α-tocoferol, fenólicos, CO2 supercrítico.Resumo
O óleo de semente de uva é geralmente extraído com solventes orgânicos altamente tóxicos que são prejudiciais à saúde humana, é produzido a partir de toneladas de resíduos de bagaço de uva, gerados durante a vinificação. Às vezes, esses resíduos são usados para fazer adubo ou são queimados, o que causa contaminação ambiental. Foram avaliadas as qualidades funcionais, capacidade antioxidante (AC), α-tocoferol e o teor total de compostos fenólicos (TPC) do óleo de semente de uva Borgoña Negra (Vitis labrusca), extraído por CO2 supercrítico. O alto teor de ácido linoleico (w-6) e ácidos graxos monoinsaturados contribuiu para o efeito benéfico sobre os índices de qualidade funcional que foram 0.20, 0.23, 11.80 para IA, IT e H:H, respectivamente. Além disso, um POV de 6.23 ± 0.08 miliequivalentes de peróxido/kg de óleo e um índice de anisidina de 2.70 ± 0.05 indicava uma boa qualidade de óleo. Também foi obtida uma alta concentração de α-tocoferol (9.82 ± 0.02 mg/100 g de óleo) e um alto TPC (114.14 ± 3.24 mg de óleo GAE/kg). Este estudo mostrou que a extração de CO2 supercrítico é um método adequado para a entrega de um óleo de semente de uva de alta qualidade.
Palavras-chave
Óleo de semente de uva, Vitis labrusca , ácido linoleico, α-tocoferol, fenólicos, CO2 supercrítico.Introduction
Peruvian wine production increased from 108 619.8 hL in 2017 to 151 085.32 hL in 2019 [1]. As a result, the amount of grape pomace, which is generally used to make compost or is often burnt causing environmental pollution, also increased. The main by-product of winemaking is represented by grape pomace that is 15 to 20% of the total grape weight [2].
The grape seed contains an interesting oil for the food and cosmetic industry. This oil contains bioactive compounds such as tocopherol, polyphenols and polyunsaturated fatty acids, which are beneficial to human health. a-tocopherol has various metabolic functions such as the protective role of biological membranes that prevent the oxidation of essential cellular components and the formation of peroxides [3]. Polyphenols have an antioxidant capacity, free radical scavenging and metal chelating activities. Thus, it is presumed that those antioxidant properties may have a positive impact on human health, in the prevention of cardiovascular and neurodegenerative diseases [4].
Grape seed oil is outstanding for its low content of saturated fatty acids and high content of linoleic acid, a polyunsaturated fatty acid that takes part in the synthesis of prostaglandins, which are necessary to reduce the aggregation of platelets and any type of inflammation [5]. The functional qualities of oils and fats can be measured with the indices of atherogenicity (IA) and thrombogenicity (IT) [6]. Turan et al. [7] proposed that the atherogenicity (IA) and thrombogenicity (IT) indices close to zero are favourable because they represent a higher content of anti-atherogenic fatty acids, which inhibit the aggregation of plaque and in consequence, prevent coronary heart disease. Another important factor for determining the functional qualities of oils is the value of the hypocholesterolaemic: hypercholesterolaemic ratio (H:H) where low H:H ratios are considered unfavourable because they can induce an increase in cholesterol [8].
On the other hand, in the attempt to reuse the biomass of grape seeds generated from by-products of the wine industry, the seed oil is extracted with highly toxic and flammable organic solvents such as hexane, which is dangerous for human health, since traces of solvents can remain in the oil. Thus, non-conventional methods, such as supercritical extraction, ultrasound-assisted extraction, accelerated solvent extraction, pressurised fluid extraction, and microwave-assisted extraction, are emerging options to recover bioactive compounds and promote environmentally-friendly methods to extract seed oils [9]. In addition, they require less amount of solvent and lower extraction times in comparison with conventional methods [10].
Non-conventional extraction technologies, currently underutilised because of the lack of data on the profitability of the investment, offer great opportunities. The trends have revealed that there is an increasing interest in scaling-up. However, the development and scaling-up of continuous or semi-continuous processes increase challenges. Therefore, there is a great need to develop parameters that will allow for an efficient design of instruments and process conditions to achieve improved results. i.e., increasing yields without increasing extraction time, designing systems that allow the addition of co-solvents, online monitoring parameters, etc. [11].
Oil extraction by supercritical CO2 offers several advantages over conventional methods due to its low viscosity and high diffusivity. Supercritical CO2 has properties to readily diffuse through solid materials, therefore making faster extractions. It is also recognised as GRAS (Generally Recognised as Safe) [12] and is classified as green technology because it obtains pollutant-free compounds. Therefore, it is important to study grape seed oil, a by-product of the wine industry, extracted by supercritical CO2 and to evaluate its unsaturated fatty acids and bioactive compounds, specifically α-tocopherol and TPC.
The objective of the present study was to evaluate the chemical and functional qualities of Black Borgoña (Vitis labrusca) grape seed oil extracted by supercritical CO2.
Materials and methods
Reagents
Acetic acid ACS grade (EMD, USA), chloroform ACS grade (Merck, Germany), potassium iodide solution p.a. grade (Carsson Labaratories, USA), solution of sodium thiosulfate ACS grade (Merck, Germany), starch p.a. grade (Sigma-Aldrich, Germany), isooctane for spectroscopy (Merck, Germany), solution of .-anisidine grade I (Sigma, USA), methanol HPLC grade (Merck, Germany), α-tocopherol ≥ 96% (NHU, Germany), ethanol 99.5% (Scharlau, Spain), Fatty Acid Methyl Ester Mix C4-C24 standard mix 37 FAME (Supelco, Germany), ABTS 2-2′-azino-bis(3-ethyl-benzothiazoline-6-sulfonic acid) HPLC grade (Alfa Aesar, China), potassium persulfate ACS grade (Merck, Germany), Trolox (6-hydroxy-2,5,7,8-tetramethylchroman-2-carboxylic acid) ≥ 96% (Sigma Aldrich, China), DPPH 2,2-diphenyl-1-picrylhydrazyl ≥ 96% (Alfa Aesar, Germany), ethyl acetate (Merck, HPLC, Germany), carbon dioxide 99.5% v /v liquefied gas (Linde, Peru) nitrogen atmosphere Ultrapuro (Linde, Peru).
Grape seed
Thirty kg of Black Borgoña (Vitis labrusca) grape pomace were donated by the Maskay Pacha winery in Lomo Largo from the district of Sunampe, Chincha (Ica-Peru) (13° 25' 19.056'' S, 76° 10' 9.912'' W) 64 m.a.s.l. with an average temperature of 25 °C in March 2020. The fresh pomace was brought to the CITEagroindustrial Ica facilities and dried in a dryer (Vulcano, EQ-03SW, Peru) at 45 °C with a maximum air relative humidity of 80% for 18 h. The dried pomace was sent to the Laboratorio de Compuestos Bioactivos of the Dirección de Investigación, Desarrollo, Innovación y Transferencia Tecnológica (DIDITT) of the Instituto Tecnológico de la Producción (ITP), located in Callao-Perú. There, the seeds were separated and placed in a dryer (Venticell, model LSIS-B2V / VC 222, USA) at 45 °C with a maximum air relative humidity of 80% for 4 h until they reached a maximum moisture content of 7% [13]. Then, the dried seeds were vacuum packed, protected from light and refrigerated at 5 °C. Prior to each analysis, the seeds were ground and passed through a 0.71 mm sieve.
Grape seed oil extraction by Supercritical CO2
The experiments were carried out with the multi-solvent extractor equipment Model 2802.000 (Top Industrie, France) equipped with a CO2 pump (HPFlow Pump 50 - 100), co-solvent pump (90-2491 REV L, SSI), chiller (PCPR 13.02-NED, National Lab), reactor (ø = 163 mm, height = 353 mm), and an extraction cell of 1 L capacity with a volume reducer device (diameter = 29 mm; height = 147 mm). For each extraction, 37 ± 0.5 g of seeds were weighed and alternated with glass beads; the process was carried out at 33 °C and 188 bar according to the optimised conditions described by Barriga-Sanchez et al. [13]; with a CO. flow of 50 g/min for 180 min. Carbon dioxide (99.5% v/v liquefied gas) was used for the extraction process, the weight of the oil was recorded every 30 min and the extracted oil was stored in a nitrogen atmosphere at 5-8 °C. Oil samples were preserved at room temperature (20-21 °C) for 2 h before analysis. Extracts were obtained in triplicate and analysed in duplicate.
The global grape seed oil yield was calculated as the mathematical relationship between the extracted oil and the mass of the sample (dry basis) according to equation 1 [14].
Where: Y(%db) is the global grape seed oil yield (%), mo is the oil mass (dry basis), ma is the sample mass, and Ua is the moisture of the sample (6%).
Fatty acid profile of grape seed oil
The fatty acid profile was determined as described by Prevot and Mordret [15]. A gas chromatograph with an FID detector (Autosystem XL, Perkin Elmer, USA) equipped with a Supelcowax 10 column (Merck, Germany) (30 m × 0.25 mm id; film thickness: 0.25 μm) based on the saponification and methylation of triglycerides and phospholipids of the lipid fraction, was used. Hydrogen was used as the carrier gas at 5 psi. The injector and detector temperatures were 250 °C and 270 °C, respectively. A volume of 2 µL was injected at a split ratio of 100:1. The fatty acid peaks were identified by comparison with the retention times of the Fatty Acid Methyl Ester Mix C4-C24. The area of the peaks was calculated using TotalChrom Navigator software (Version: 6.2.0.0.0: B27, 2001, USA) and the percentage of each fatty acid was calculated by comparing the individual area of each peak with the total fatty acid area.
Functional qualities of grape seed oil
The fatty acid profile of grape seed oil was used to determine the index of atherogenicity (IA) and the index of thrombogenicity (IT) according to equations 2 and 3, respectively [6]. The hypocholesterolaemic: hypercholesterolaemic ratio (H:H) was assessed according to equation 4 as defined by Santos-Silva et al. [8] in order to evaluate the nutritional value of fat. The IA and IT values close to zero are considered advantageous in the prevention of coronary heart disease [7] and higher H:H ratios are beneficial on lipid products for human consumption because H:H ratios are associated with the benefits of high-density lipoproteins as stated by Pinto et al. [14].
Where: C12:0 (lauric acid); C14:0 (myristic acid); C16:0 (palmitic acid); C18:0 (stearic acid); C18:1 -9 (oleic acid); C18:2 -6 (linoleic acid); C18:3 -3 (linolenic acid); C20:4 -6 (arachidonic acid); C20:5 -3 EPA (eicosapentaenoic acid); C22:5 -3 DPA (docosapentaenoic acid); C22:6 -3 DHA (docosahexaenoic acid); MUFA (monounsaturated Fatty Acids).
Chemical qualities of grape seed oil
Peroxide Value (POV): The oil sample was dissolved in a mixture of acetic acid and chloroform (3:2) then, a potassium iodide solution was added to liberate iodine. The titration was carried out with a standardized solution of sodium thiosulfate until the starch turned from a light blue color to a transparent hue [16].
Anisidine Index: The oil sample was dissolved in isooctane, then a solution of .-anisidine dissolved in acetic acid was added and the absorbance was measured at a wavelength of 350 nm in a UV visible spectrophotometer [17] model Genesys 180 (Thermo Scientific, USA).
α-tocopherol
Tocopherol extraction was carried out as explained by Shiozaki and Murakami [18] and α-tocopherol was quantified as described by Martínez-Rojano et al. [19]. Two mL of ethanol were added to the grape seed oil extract, passed through 0.2 µm pore nylon filters and injected into the HPLC equipment (Series 200, Perkin Elmer, USA) with a UV detector at 290 nm, equipped with a Kromasil C18 reversed phase column of 5 µm and dimensions of 4.6 x 150 mm. The isocratic mobile phase consisted of methanol: water (96: 4), injection volume: 50 µL, temperature: 40 °C at a flow rate of 2 mL/min. The α-tocopherol content was expressed as mg of α-tocopherol per 100 g of sample, using a curve generated with standard solutions of 3, 6, 9, 12 and 15 mg of α-tocopherol (≥ 96%) per litre in ethanol.
Antioxidant capacity (AC)
The AC of the grape seed oil extracts was determined by means of two methods:
The 2-2′-azino-bis (3-ethyl- benzothiazoline-6-sulfonic acid) (ABTS) radical cation scavenging capacity test was performed on hydrophilic and lipophilic fractions according to Varas et al. [20]. The absorbance of the mixture was measured at 734 nm using a spectrophotometer model Genesys 180 (Thermo Scientific, USA) after 30 min at room temperature (20-21 °C), using ethanol as blank. The AC was evaluated as percentage of absorbance decrease (inhibition percentage). The results were expressed as μmol of Trolox equivalent antioxidant capacity (TEAC) per gram of oil using a reference curve with concentrations of 0.1; 0.5; 0.8; 1.0; 1.5 and 2.0 mM Trolox in methanol.
The 2,2-diphenyl-1-picrylhydrazyl (DPPH), quenching method was used to evaluate the radical scavenging power [21]. The absorbance of the mixture was measured at 520 nm using a spectrophotometer model Genesys 180 (Thermo Scientific, USA) after 30 min in the darkness at room temperature (20-21 °C), using ethyl acetate as blank. AC was calculated using the Trolox standard curve prepared and expressed as µmol TEAC per gram of oil.
Total phenol content (TPC)
The phenolic compounds were extracted with a methanol: water mixture in a 90:10 ratio [22] and the TPC was quantified with the Folin-Ciocalteau colorimetric method [23]. The reading was carried out at 750 nm and the results were reported as mg gallic acid equivalent (GAE)/kg oil.
Results and Discussion
Supercritical CO2 extraction
The global oil yield from Black Borgoña (Vitis labrusca) grape seeds, obtained by supercritical CO2 during 3 h of extraction, on a dry basis (db%) was 9.14 ± 0.38% (w/w), as shown in Figure 1. This yield was closer to the values found by Agostini et al. [24] in Isabel (Vitis labrusca) grape seeds (8-9%) who used supercritical CO2 at 250 bar, 80 °C and a flow of 69 g/min for 60 min. The pressure, temperature and extraction flow rate with supercritical CO2 used in this study were different from the parameters used by the aforementioned researchers. However, the global yields were similar perhaps because supercritical CO2 density values were 0.8 g/mL or higher, which is critical for the extraction of lipids. Thus, the higher the temperature of CO2, the greater the pressure that is needed to achieve a high density [25]. This supercritical CO2 method is an environmentally-friendly and low-cost alternative that produces high value oils compared to other conventional organic and usually toxic solvents such as hexane [25] [26]. Aside from the advantages of this method, the oil yield is slightly lower when compared with other extraction solvents such as hexane due to the higher selectivity of supercritical CO2 toward triglycerides [27]. Thus, some modifications that may include the addition of a co-solvent may be necessary to improve extraction efficiency.
Figure 1. Global grape seed oil yield (db%) vs. time (min) during Borgoña grape (Vitis labrusca) seed oil extraction by supercritical CO2 at 33 °C and 188 bar.
Fatty acid profile and functional qualities of grape seed oil
Black Borgoña (Vitis labrusca) grape seed oil showed a great concentration of unsaturated fatty acids (89.57 g/100 g oil) compared to the saturated fatty acids content of 10.46 g/100 g of oil (Table 1). These unsaturated fatty acids are antiatherogenic as they inhibit plaque accumulation and reduce levels of phospholipids, cholesterol, and esterified fatty acids [28]. Among the unsaturated fatty acids, the highest concentration was found for linoleic acid (C18: 2ω-6) with 71.56 ± 0.24 g/100 g oil similar to the concentration determined by FAO/OMS [29] for grape seed oil. Oleic acid followed with 16.31 ± 0.16 g/100 g oil, as shown in Table 1.
Table 1. Fatty acid profile of Black Borgoña (Vitis labrusca) grape seed oil extracted by supercritical CO2.
Data are expressed as the mean ± standard deviation of 2 duplicates from two independent extracts (n=2). nd: Not detected.Table 1: Fatty acid profile of Black Borgoña Vitis labrusca grape seed oil extracted by supercritical CO2
Fatty Acids
g/100 g seed oil
C 12:0 (Lauric)
0.01 ± 0.00
C 14:0 (Myristic)
0.09 ± 0.01
C 16:0 (Palmitic)
7.4 ± 0.05
C 16:1 (Palmitoleic)
0.15 ± 0.01
C 18:0 (Stearic)
2.96 ± 0.01
C 18:1 w-9 (Oleic)
16.31 ± 0.16
C 18:1 w-7 (Vaccenic)
0.85 ± 0.01
C 18:2 w-6 (Linoleic)
71.56 ± 0.24
C 18:3 w-3 (α-Linolenic)
0.52 ± 0.05
C 20:1 w-9 (Eicosenoic)
0.14 ± 0.01
C 20:4 w-6 (Arachidonic)
nd
C 20:5 w-3 (Eicosapentaenoic)
nd
C 22:5 DPA
nd
C 22:6 w-3 (Docosahexaenoic)
0.04 ± 0.00
Saturated Fatty Acids (SFA)
10.46 ± 0.01
Monounsaturated Fatty Acids (MUFA)
17.45 ± 0.01
Polyunsaturated Fatty Acids (PUFA)
72.12 ± 0.01
Fatty acids w-6 are widely consumed in the form of linoleic acid, mainly from vegetable oils [14]. Linoleic acid is the most highly consumed PUFA found in the human diet and has 4 main fates. It can be used as an energy source, it can be esterified to form neutral and polar lipids such as phospholipids, triacylglycerols and cholesterol esters. As part of phospholipids, it also works as a structural component of the membrane and when released it can be involved in cell signaling. In addition, when released from membrane phospholipids, it can be enzymatically oxidized to a variety of derivatives involved in cell signaling [i.e., 13-hydroxy or 13- hydroperoxy octadecadienoic acid, 13-H(P)ODE]. Even though a recommended daily allowance (RDA) has yet to be established, the reference intake in the USA for women and men between the ages of 19 and 50 years of age, are 12 and 17 g/day respectively, and 7 g/day for children between 1 and 3 years of age [30].
Black Borgoña (Vitis labrusca) grape seed oil, extracted by supercritical CO2 and with the highest concentration of unsaturated fatty acids, showed IA and IT of 0.20 and 0.23, respectively. As mentioned before, IA and IT values close to zero are desirable as they deliver an oil with good nutritional and functional composition. Low IA and IT influence the prevention of cardiovascular disorders as also concluded by Pinto et al. [14]. Dimić et al. [31] reported an average IA in red and white grape (Vitis vinifera L.) seed oil of 0.085, which is lower than the values reported in this study. Alvites et al. [32] also found lower values for conventional black chia seed oil (IA: 0.0773 and IT: 0.0486) and evidenced IA and IT values for olive oil of 0.1250 and 0.3230, respectively that are comparable with the indices reported in this study. On the other hand, Ulbricht and Southgate [6] reported higher IA and IT in coconut oil (13.63 and 6.18) and palm oil (0.88 and 1.74).
The hypocholesterolaemic: hypercholesterolaemic (H:H) ratio determined in this study was 11.80. This ratio is in accordance with the results shown by Dimić et al. [31] who reported values in the range of 11.07 to 12.28 for red grape seeds and from 11.30 to 12.09 for white grape seeds. Alvites et al. [32] reported a greater value for conventional black chia seed oil (13.1271) while showing a lower value for olive oil (7.9151) than the value found in this research.
Considering the low IA and IT; and high H:H ratio of the sample under study, Black Borgoña (Vitis labrusca) grape seed oil should be classified as a functional food. Thus, higher H:H ratios are desirable on lipid products for human consumption because H:H is related to the benefits of high-density lipoproteins (HDL) in the metabolism [14].
Chemical qualities of grape seed oil
Black Borgoña (Vitis labrusca) grape seed oil complied with the quality limits established by FAO/OMS [29] regarding the POV and anisidine index for oils. POV determines the amount of hydroperoxides formed during the initial oxidation stage [33]. In this study, POV was 6.23 ± 0.08 milliequivalents of peroxide/kg oil. Yousefi et al. [34] evaluated seed oil from two Shahrodi grape varieties (Lal and Khalili), extracted by the Soxhlet method with petroleum ether as solvent, obtaining POV values of 9.30 and 10.63 milliequivalent/kg respectively. Barriga-Sánchez et al. [13] found a POV of 38.44 ± 0.44 milliequivalent/kg for Quebranta grape seed oil (Vitis vinifera) extracted with hexane. Our lower POV number indicates a good quality of oil and a good preservation status, possibly due to the supercritical CO2 oil extraction technique used.
As mentioned by Roshanpour et al. [33], the peroxide value does not determine by itself the oxidation stability of oils such as grape seed oil. Therefore, the anisidine index was used to investigate a secondary oxidation, whose value was 2.70 ± 0.05 in this study and was close to the values found by Barriga-Sánchez et al. [13] in Quebranta (Vitis vinífera) grape seed oil extracted with supercritical CO2 and hexane: 2.30 ± 0.20 and 3.06 ± 0.15, respectively. This index was less than the quality limit required for fish oil (≤ 20).
Oil acidification is produced by hydrolytic processes of a chemical or enzymatic nature (lipases) that lead to the breaking of triglyceride ester bonds and the resulting release of fatty acids that are responsible for fat acidity. The free fatty acid accumulation and consequent degree of acidity can lead to unpleasant flavours and oxidative processes [35]. In this study, the concentration of free fatty acids of 0.425 ± 0.004% for lauric acid was below the quantification limit as recommended by FAO/OMS for other oils such as crude palm kernel oil (4%) [29].
α-tocopherol
The concentration of α-tocopherol found in Black Borgoña (Vitis labrusca) grape seed oil was 9.82 ± 0.02 mg α-tocopherol/100 g oil. This value was within the ranges found in grape seed oils, from Northern Italy, extracted by supercritical CO2 by Ben Mohamed et al. [36] (8.7 to 17.4 mg α-tocopherol/100 g oil). Converting 9.82 ± 0.02 mg α-tocopherol/100 g oil to 0.89 mg α-tocopherol/100 g grape seed to allow for a comparison, we observed that our concentration was higher than that found for Isabel (Vitis labrusca) grape variety by Agostini et al. [24] (0.39 mg α-tocopherol/100 g grape seed). Lower concentrations of 3.63 to 7.84 mg α-tocopherol/100 g oil were also found by Dimić et al. [31] in red grape (Vitis vinifera L.) seed oil extracted by supercritical CO2.
The concentration of 9.82 ± 0.02 mg α-tocopherol/100 g oil reported in this study was higher than the levels of α-tocopherol established by FAO/OMS [29] for grape seed oils (1.6 - 3.8 mg/100 g oil). This contribution is extremely beneficial in the diet considering that the recommended daily intake of vitamin E (α-tocopherol), as specified by the Fundación Española del Corazón [37], is 6-7 mg of α-tocopherol for children, 10 mg for adolescent and adult men, 10 mg for adolescent and adult women, and 8 mg during pregnancy.
Antioxidant capacity (AC)
The AC found by the ABTS method was 1.12 ± 0.03 µmol TEAC/g oil in the lipophilic part and 0.28 ± 0.01 µmol TEAC/g oil in the hydrophilic part. These values were lower than those found by Ben Mohamed et al. [36] in six different grape seed oils from Northern Italy, extracted by supercritical CO2, who reported 4.9 to 8.2 µmol TEAC/g for the lipophilic part and 0.9 to 2.0 µmol TEAC/g for the hydrophilic part. It can be observed that AC is greater for the lipophilic compartment than the hydrophilic compartment. These differences could be due to the grape variety, soil composition, climatic conditions among other factors.
The AC found by the DPPH method was 1.50 ± 0.03 µmol TEAC/g of oil which was lower than AC reported by Li et al. [38] who used CO2-expanded ethanol (CXE) (9.1 µmol TEAC/ g oil) in oil extracted from grape seeds (Vitis vinifera L.) from Turpan-Xinjiang, China. According to the authors, CXE provided beneficial features such as polarity-adjustable, enhanced solubility and fast diffusion that may have contributed to the greatest AC found in their investigation. In the case of supercritical CO2, this easily enters the sample matrix to solubilize nonpolar compounds. Thus, this method offers more efficient and faster extraction processes than traditional techniques with organic solvents. Because of the low polarity of CO2, a low amount of polarity modifiers may be used (1-10%) to increase the solvation power towards the lipophilic analytes of interest [39].
In addition, the difference in the results could be due to the various types of phenolic compounds in each grape variety, or to a linkage of these compounds to other types of substances that make them more insoluble or complex, such as long chains of suberin and cutin, which do not allow a direct reaction with the DPPH radical [40]. Also, several other compounds may also have an antioxidant role such as α-tocopherol as reported by Bada et. al [41] in grapes grown in Toro and Cangas (Spain). They found a high α-tocopherol content (3.69–3.82 mg/100 g) that suggested an antioxidant activity in grape seed oils.
Total Polyphenol Content (TPC)
The TPC obtained in Black Borgoña (Vitis labrusca) grape seed oil was 114.14 ± 3.24 mg GAE/kg oil. This TPC was higher than those reported by Ben Mohamed et al. [36] in grape seed oils whose TPC ranged from 28 to 60 mg GAE/kg sample; but it was found to lie within the range reported by Bail et al. [22] 59 to 115.5 mg GAE/kg in virgin cold pressed unfiltered grape seed oils from Austria. The difference in TPC could be due to the climatic conditions during grape vine cultivation, heat, droughts, and light intensity, which are some environmental factors that influence the phenolic metabolism of grapes.
Conclusions
This study reported the functional and chemical qualities of Black Borgoña grape seed oil extracted by supercritical CO2. Considering that oil extraction by supercritical CO2 avoids exposure to high temperatures, oxygen, and light, the Black Borgoña grape seed oil met quality requirements established for both peroxide and anisidine values as well as free fatty acids, in the vegetable oil category. Overall, Black Borgoña grape seed oil displayed a high concentration of TPC and a high percentage of unsaturated fatty acids, of which linoleic acid was present in the greatest amount. Further, it corresponds with the α-tocopherol Nutrient Reference Value adopted by FAO/OMS. These are desirable functional qualities that could open important applications. Specifically, wine pomace, which produces grape seed oil would permit a novel use of this by-product for the Sunampe-Chincha (Ica-Peru) wine industry as it contains compounds with beneficial health effects. Alternative methods, such as pre-treatment of the sample and alternative drying technologies, should be explored by food processors to protect the bioactive compounds and decrease the oxidation rate, respectively. Furthermore, the investment and processing costs should be estimated to ensure the technical and economic viability of the supercritical CO2 extraction method.
Acknowledgements
The authors of this work would like to thank the Maskay Pacha winery in Lomo Largo from the district of Sunampe (Chincha, Ica-Perú), especially Mrs. Magdalena Pachas for donating the grape pomace.
References
Referencias
Instituto Nacional de estadística e informática (INEI), “Series Nacionales, Producción de Pisco y Vinos, Perú,” 2020, [Online]. Available: http://webapp.inei.gob.pe:8080/sirtod-series/.
M. Bordiga, F. Travaglia, and M. Locatelli, “Valorisation of grape pomace: an approach that is increasingly reaching its maturity – a review,” Int. J. Food Sci. Technol., vol. 54, no. 4, pp. 933–942, 2019, doi: 10.1111/ijfs.14118. DOI: https://doi.org/10.1111/ijfs.14118
M. Bravo, O. Puratic, R. Stephan, and I. Oviedo, “Vitamina E,” Rev. Chil. pediatría, vol. 47, no. 5–6, pp. 402–408, 1976, doi: 10.4067/S0370-41061976000500009. DOI: https://doi.org/10.4067/S0370-41061976000500009
E. Gimeno, “Compuestos fenólicos,” Offarm, vol. 23, no. 6, pp. 80–84, 2004, [Online]. Available: https://www.elsevier.es/es-revista-offarm-4-articulo-compuestos-fenolicos-un-analisis-sus-13063508.
P. Navas, “Composición química del aceite virgen obtenido por extracción mecánica de algunas variedades de uva (Vitis vinifera L.) con énfasis en los componentes minoritarios,” Arch. Latinoam. Nutr., vol. 59, no. 2, 2009, [Online]. Available: http://ve.scielo.org/scielo.php?script=sci_arttext&pid=S0004-06222009000200015.
T. L. V. Ulbricht and D. A. T. Southgate, “Review article - Coronary heart disease: seven dietary factors,” Lancet, vol. 338, pp. 985–992, 1991, doi: 10.1016/0140-6736(91)91846-m. DOI: https://doi.org/10.1016/0140-6736(91)91846-M
H. Turan, G. Sönmez, and Y. Kaya, “Fatty acid profile and proximate composition of the thornback ray (Raja clavata, L. 1758) from the Sinop coast in the Black Sea,” J. Fish. Sci., vol. 1, no. 2, pp. 97–103, 2007, doi: 10.3153/jfscom.2007012. DOI: https://doi.org/10.3153/jfscom.2007012
J. Santos-Silva, R. J. B. Bessa, and F. Santos-Silva, “Effect of genotype, feeding system and slaughter weight on the quality of light lambs. II. Fatty acid composition of meat,” Livest. Prod. Sci., vol. 77, no. 2–3, pp. 187–194, 2002, doi: 10.1016/S0301-6226(02)00059-3. DOI: https://doi.org/10.1016/S0301-6226(02)00059-3
P. Chowdhary, A. Gupta, E. Gnansounou, A. Pandey, and P. Chaturvedi, “Current trends and possibilities for exploitation of Grape pomace as a potential source for value addition,” Environ. Pollut., vol. 278, no. 1, p. 116796, 2021, doi: 10.1016/j.envpol.2021.116796. DOI: https://doi.org/10.1016/j.envpol.2021.116796
T. Ilyasa, P. Chowdhary, D. C. E. Gnansounou, A. Pandey, and P. Chaturvedi, “Sustainable green processing of grape pomace for the production of value-added products: An overview,” Environ. Technol. Innov., vol. 23, p. 101592, 2021, doi: 10.1016/j.eti.2021.101592. DOI: https://doi.org/10.1016/j.eti.2021.101592
T. Belwal et al., “Recent advances in scaling-up of non-conventional extraction techniques: Learning from successes and failures,” TrAC - Trends Anal. Chem., vol. 127, p. 115895, 2020, doi: 10.1016/j.trac.2020.115895. DOI: https://doi.org/10.1016/j.trac.2020.115895
R. P. F. F. Da Silva, T. A. P. Rocha-Santos, and A. C. Duarte, “Supercritical fluid extraction of bioactive compounds,” TrAC - Trends Anal. Chem., vol. 76, pp. 40–51, 2016, doi: 10.1016/j.trac.2015.11.013. DOI: https://doi.org/10.1016/j.trac.2015.11.013
M. Barriga-Sánchez, A. Churata Huanca, and Ó. Tinoco Gómez, “Optimización del rendimiento de la extracción de aceite de semillas de Vitis vinifera con CO2 supercrítico,” Rev. la Soc. Química del Perú, vol. 84, no. 2, pp. 217–227, 2018, doi: 10.37761/rsqp.v84i2.143. DOI: https://doi.org/10.37761/rsqp.v84i2.143
R. H. H. Pinto et al., “Supercritical CO2 extraction of uxi (Endopleura uchi) oil: Global yield isotherms, fatty acid profile, functional quality and thermal stability,” J. Supercrit. Fluids, vol. 165, p. 104932, 2020, doi: 10.1016/j.supflu.2020.104932. DOI: https://doi.org/10.1016/j.supflu.2020.104932
G. Prevot and M. Mordret, “Utilisation des colonnes capillaires de yerre pour l´analyse des cords gras par chromatographie en phase gazeose,” Rev. Fr. des Corps Gras, no. 23, pp. 7–8, 1976.
Association of Official Analytical Chemists Official, Methods of analysis of the Association of Official Analytical Chemists, 20 th. Arlington: AOAC, 2016.
INACAL, “Norma Técnica Peruana 209.217. Aceites y grasas comestibles. Método de determinación del índice de anisidina,” in INACAL, 1st ed., Lima, 2018, pp. 1–10.
S. Shiozaki and K. Murakami, “Lipids in the seeds of wild grapes native to Japan: Vitis coignetiae and Vitis ficifolia var. ganebu,” Sci. Hortic. (Amsterdam)., vol. 201, pp. 124–129, 2016, doi: 10.1016/j.scienta.2016.01.038 0304-4238. DOI: https://doi.org/10.1016/j.scienta.2016.01.038
H. Martínez-Rojano, R. Sámano, M. Tolentino, R. M. Morales Hernández, C. Ramírez, and M. L. Pizano Zárate, “Utilidad de un método que determina simultáneamente retinol y α-tocoferol en leche materna por cromatografía líquida de alta resolución,” Perinatol. y Reprod. Humana, vol. 30, no. 4, pp. 151–158, 2016, doi: 10.1016/j.rprh.2016.11.009. DOI: https://doi.org/10.1016/j.rprh.2016.11.009
M. A. Varas Condori et al., “Effect of tomato (Solanum lycopersicum L.) lycopene-rich extract on the kinetics of rancidity and shelf-life of linseed (Linum usitatissimum L.) oil,” Food Chem., vol. 302, p. 125327, 2020, doi: https://doi.org/10.1016/j.foodchem.2019.125327. DOI: https://doi.org/10.1016/j.foodchem.2019.125327
S. Uluata and N. Özdemir, “Antioxidant activities and oxidative stabilities of some unconventional oilseeds,” JAOCS, J. Am. Oil Chem. Soc., vol. 89, no. 4, pp. 551–559, 2012, doi: 10.1007/s11746-011-1955-0. DOI: https://doi.org/10.1007/s11746-011-1955-0
S. Bail, G. Stuebiger, S. Krist, H. Unterweger, and G. Buchbauer, “Characterisation of various grape seed oils by volatile compounds, triacylglycerol composition, total phenols and antioxidant capacity,” Food Chem., vol. 108, no. 3, pp. 1122–1132, 2008, doi: 10.1016/j.foodchem.2007.11.063. DOI: https://doi.org/10.1016/j.foodchem.2007.11.063
V. Singleton, R. Orthofer, and R. Lamuela-Raventós, “Analysis of total phenols and other oxidation substrates and antioxidants by means of folin-ciocalteu reagent,” Methods Enzymol., vol. 299, pp. 152–178, 1999, doi: 10.1016/S0076-6879(99)99017-1. DOI: https://doi.org/10.1016/S0076-6879(99)99017-1
F. Agostini, R. A. Bertussi, G. Agostini, A. C. Atti Dos Santos, M. Rossato, and R. Vanderlinde, “Supercritical extraction from vinification residues: Fatty acids, α-tocopherol, and phenolic compounds in the oil seeds from different varieties of grape,” Sci. World J., pp. 1–9, 2012, doi: 10.1100/2012/790486. DOI: https://doi.org/10.1100/2012/790486
L. Cunico and C. Turner, “Supercritical Fluids and Gas-Expanded Liquids,” in The Application of Green Solvents in Separation Processes, 1 st., F. Pena-Pereira and M. Tobiszewski, Eds. United States: Elsevier, 2017, pp. 155–214. DOI: https://doi.org/10.1016/B978-0-12-805297-6.00007-3
M. E. Martin, E. Grao-Cruces, M. C. Millan-Linares, and S. Montserrat-De la Paz, “Grape (Vitis vinifera L.) seed oil: A functional food from the winemaking industry,” Foods, vol. 9, no. 10, pp. 1–20, 2020, doi: 10.3390/foods9101360. DOI: https://doi.org/10.3390/foods9101360
M. Bravi et al., “Improving the extraction of α-tocopherol-enriched oil from grape seeds by supercritical CO2. Optimisation of the extraction conditions,” J. Food Eng., vol. 78, no. 2, pp. 488–493, 2007, doi: 10.1016/j.jfoodeng.2005.10.017. DOI: https://doi.org/10.1016/j.jfoodeng.2005.10.017
B. Omri et al., “Effect of dietary incorporation of linseed alone or together with tomato-red pepper mix on laying hens’ egg yolk fatty acids profile and health lipid indexes,” Nutrients, vol. 11, no. 4, pp. 1–13, 2019, doi: 10.3390/nu11040813. DOI: https://doi.org/10.3390/nu11040813
FAO/OMS, Norma para aceites vegetales especificados CXS 210-1999 (enmendado en 2019). Roma, Italia, 2019.
J. Whelan and K. Fritsche, “Linoleic Acid,” Adv. Nutr., vol. 4, no. 3, pp. 311–312, 2013, doi: 10.3945/an.113.003772. DOI: https://doi.org/10.3945/an.113.003772
I. Dimić et al., “Innovative and conventional valorizations of grape seeds from winery by-products as sustainable source of lipophilic antioxidants,” Antioxidants, vol. 9, no. 7, pp. 1–19, 2020, doi: 10.3390/antiox9070568. DOI: https://doi.org/10.3390/antiox9070568
K. C. Alvites Misajel, “Comparación del perfil de ácidos grasos del aceite de chía (Salvia hispánica L.) orgánica y convencional (variedades blanca y negra) cultivadas en el Perú, como una alternativa para aceites vegetales comestibles,” Universidad Peruana de Ciencias Aplicadas (UPC), 2021.
S. Roshanpour, J. Tavakoli, F. Beigmohammadi, and S. Alaei, “Improving antioxidant effect of phenolic extract of Mentha piperita using nanoencapsulation process,” J. Food Meas. Charact., vol. 15, pp. 1–10, 2020, doi: 10.1007/s11694-020-00606-x. DOI: https://doi.org/10.1007/s11694-020-00606-x
M. Yousefi, L. Nateghi, M. Gholamian, and L. Nateghi, “Physicochemical properties of two type of shahrodi grape seed oil ( Lal and Khalili ),” Eur. J. Exp. Biol., vol. 3, no. 5, pp. 115–118, 2013, [Online]. Available: https://www.imedpub.com/articles/physicochemical-properties-of-two-type-of-shahrodi-grape-seed-oillal-and-khalili.pdf.
I. Martínez Hernández, J. and Astiasarán Anchía, “Alimentos : Composición y propiedades,” España: McGraw-Hill, 2011.
H. Ben Mohamed et al., “Bioactive compounds and antioxidant activities of different grape (Vitis vinifera L.) seed oils extracted by supercritical CO2 and organic solvent,” LWT - Food Sci. Technol., vol. 74, no. 2016, pp. 557–562, 2016, doi: 10.1016/j.lwt.2016.08.023. DOI: https://doi.org/10.1016/j.lwt.2016.08.023
Fundación Española del Corazón, “Nutrientes Vitamina E – Tocoferol.” 2021, [Online]. Available: https://fundaciondelcorazon.com/nutricion/nutrientes/849-vitamina-e-tocoferol.html.
H. Li, X. Fu, G. Deng, A. David, and L. Huang, “Extraction of oil from grape seeds (Vitis vinifera L.) using recyclable CO2-expanded ethanol,” Chem. Eng. Process. - Process Intensif., vol. 157, no. September, p. 108147, 2020, doi: 10.1016/j.cep.2020.108147. DOI: https://doi.org/10.1016/j.cep.2020.108147
M. Herrero, M. Castro-Puyana, J. A. Mendiola, and E. Ibañez, “Compressed Fluids (SFE, PLE and SWE) for yhe extraction of bioactive compounds,” TrAC - Trends Anal. Chem., vol. 43, pp. 67–83, 2013, doi: 10.1016/j.trac.2012.12.008. DOI: https://doi.org/10.1016/j.trac.2012.12.008
F. Surco-laos, H. A. Paucar, and W. Q. Gamboa, “Determinación de polifenoles totales y actividad antioxidante de extracto de semillas de uvas residuos de la producción de Piscos,” Rev. la Soc. Química del Perú, vol. 86, no. 2, pp. 123–131, 2020, doi: 10.37761/rsqp.v86i2.282. DOI: https://doi.org/10.37761/rsqp.v86i2.282
J. C. Bada, M. León-Camacho, P. Copovi, and L. Alonso, “Characterization of grape seed oil from wines with protected denomination of origin (PDO) from Spain,” Grasas y Aceites, vol. 66, no. 3, pp. 1–6, 2015, doi: 10.3989/gya.1063142. DOI: https://doi.org/10.3989/gya.1063142
Cómo citar
IEEE
ACM
ACS
APA
ABNT
Chicago
Harvard
MLA
Turabian
Vancouver
Descargar cita
CrossRef Cited-by
1. Stoja Milovanovic, Agnieszka Grzegorczyk, Łukasz Świątek, Anita Grzęda, Agnieszka Dębczak, Katarzyna Tyskiewicz, Marcin Konkol. (2023). A Novel Strategy for the Separation of Functional Oils from Chamomile Seeds. Food and Bioprocess Technology, 16(8), p.1806. https://doi.org/10.1007/s11947-023-03038-9.
2. Maritza Barriga Sanchez, Patricia Cristobal Alania. (2025). Effect of turmeric flour on the sensory properties, antioxidants and antidiabetic activity of a spicy fruit sauce. Revista Facultad Nacional de Agronomía Medellín, 78(2), p.11127. https://doi.org/10.15446/rfnam.v78n2.113684.
3. Maritza Barriga-Sánchez, Miguel Angel Varas Condori, Gloria Sanchez-Gonzales, Roxana Céspedes Chombo. (2025). Functional characteristics and antimicrobial activity of supercritical CO2 extracts from passion fruit (Passiflora edulis) seeds. Revista Facultad Nacional de Agronomía Medellín, 78(1), p.11005. https://doi.org/10.15446/rfnam.v78n1.113537.
4. Maritza BARRIGA-SÁNCHEZ, Martin CAMPOS MARTINEZ, Hanna CÁCERES YPARRAGUIRRE, María ROSALES-HARTSHORN. (2022). Characterization of Black Borgoña (Vitis labrusca) and Quebranta (Vitis vinifera) grapes pomace, seeds and oil extract. Food Science and Technology, 42 https://doi.org/10.1590/fst.71822.
5. Bessem M. Akonjuen, Alberta N.A. Aryee. (2023). Novel extraction and encapsulation strategies for food bioactive lipids to improve stability and control delivery. Food Chemistry Advances, 2, p.100278. https://doi.org/10.1016/j.focha.2023.100278.
Dimensions
PlumX
Visitas a la página del resumen del artículo
Descargas
Licencia
Derechos de autor 2022 Maritza Elizabeth Barriga Sanchez, Carlos Francisco Castro Rumiche , Gloria Cesia Sanchez Gonzales, Maria Rosales-Hartshorn3

Esta obra está bajo una licencia internacional Creative Commons Atribución 4.0.
Los autores/as conservarán sus derechos de autor y garantizarán a la revista el derecho de primera publicación de su obra, el cuál estará simultáneamente sujeto a la Licencia de reconocimiento de Creative Commons (CC. Atribución 4.0) que permite a terceros compartir la obra siempre que se indique su autor y su primera publicación en esta revista.
Los autores/as podrán adoptar otros acuerdos de licencia no exclusiva de distribución de la versión de la obra publicada (p. ej.: depositarla en un archivo telemático institucional o publicarla en un volumen monográfico) siempre que se indique la publicación inicial en esta revista.
Se permite y recomienda a los autores/as difundir su obra a través de Internet (p. ej.: en archivos telemáticos institucionales o en su página web) antes y durante el proceso de envío, lo cual puede producir intercambios interesantes y aumentar las citas de la obra publicada. (Véase El efecto del acceso abierto).



